<<
>>

Б

БАЗАЛЬНЫЙ (гр. базис — основание) — относящийся к основанию, лежащий в осно­вании или под ним, располо­женный у основания, обращен­ный к нему (напр., базальный конец органа, базальная пере­понка у кишечнополостных, базальные ганглии — нервные узлы в подкорковом слое го­ловного мозга, базальные тельца, расположенные у ос­нования ресничек «нфузорий и жгутиков у жгутиковых, и Т.

д.).

БАЗАР ПТИЧИЙ — колони­альное (нередко на скалах) поселение птиц, связанных с водной средой (кайр, чаек и т. д.). Б. п. широко рас­пространены у берегов сев,- зап. м. Сев. Ледовитого оке­ана и Дальнего Востока.

БАКТЕРИОЛИЗ (гр. бакте­рией — палочка + гр. ли­зис — растворение, расторже­ние) — разрушение оболочки бактерии и выход ее прото­плазмы в окружающую среду. М. б. вызван физич., химич. и биологич. агентами (бактерио­фагами, бактериолизинами и т. д.).

БАКТЕРИОЛИЗИН (от

бактериолиз) антитело, вы­зывающее разрушение и раст­ворение бактерий.

БАКТЕРИОЛОГИЯ (гр. бак- терион — пал(оч)ка + гр. логос — слово, понятие, уче­ние) — раздел микробиологии, исследующий бактерии.

БАКТЕРИОНОСИТЕЛЬСТ­ВО (вирусоносительство) — пребывание и размножение возбудителей инфекционных или инвазийных болезней в организме человека и живот­ных при отсутствии признаков заболевания. Б. (в.) с выделе­нием возбудителя часто наб­людается у людей, переболев­ших холерой, дифтерией, брюшным тифом, малярией и др. болезнями. Особи — агенты Б. назыв. бактерио­носителями.

БАКТЕРИОПЛАНКТОН (гр. бактерион — пал(оч)ка + + гр. плаиктос — блуждаю­щий) — микроскопии, флора планктона.

БАКТЕРИОСТАЗ (гр. бак­терион — пал(оч)ка + гр. ста- зис — остановка) — временное прекращение роста и размно­жения бактерий под воздейст­вием разл. факторов (в т. ч. лекарственных средств, бак­териофагов и др.).

БАКТЕРИОТРОПИН (гр. бактерион — пал(оч)ка + гр. тропе ■— поворот, перемена) — антитела, образующиеся в сы­воротке крови животных, включая человека, при инфек­ционном заболевании и уси­ливающие фагоцитоз.

БАКТЕРИОФАГ (гр. бакте­рион — нал(оч)ка + гр. фа- гос — пожиратель) — вирус бактерий, способный поражать бактериальную клетку, раз­множаться в ней и вызывать ее растворение. Сокращенный синоним: фаг.

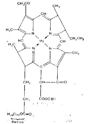
БАКТЕРИОХЛОРОФИЛЛ (гр. бактерион — пал(оч)ка + + гр. хлорос — зеленоватый+ + гр. филлон — лист) — пиг­мент, содержащийся в способ­ных к фотосинтезу (см. Фо­тосинтез бактериальный) зеле­ных я пурпурных бактериях. По химич. составу сходен с

34

хлорофиллом высших расте­ний. Различают бактерио- пурпурин — красный пиг­мент и бактериохлорин — зеленый пигмент.

БАКТЕРИОЦИД (гр бак­терион — пал(оч)ка + гр. цидо — убиваю) — антибакте­риальное вещество (белки), вырабатываемое бактериями определенного вида и подав­ляющее жизнедеятельность бактерий др. видов. Б. назыв. по продуцирующей форме бак­терий, напр. стафилококки производят стафилоцины. Неорганич. вещества, убиваю­щие бактерий, назыв. анти­септиками (сулема, спирт, формалин и др.).

БАКТЕРИ ЦИДНОСТЬ (от гр. бактерион — пал(оч)ка/ + + гр. цидо — убиваю) — свой­ство убивать бактерии. Свой­ством Д., ,о,б лад г} ют. дровяная сыворотка, соки й газообраз­ные выделения мн. растений.

БАЛАНС ЭКОЛОГИЧЕ­СКИЙ — см. равновесие эко­логическое. .... , .

БАЛЛИСТЫ —см. Л'Іехаио- хор.

БАНК ГЕИ^ТЙДЕСКИЙ—

хранилище семян, глубоко за­мороженных тканей, половціх и соматич. клеток растений и животных, пригодных для по­следующего , воспроизведения представителей. видов1 (подви­дов, сортов, пород). Особенно практически важны. Б. ф се­мян культурных растении’й их предков, необходимых для се­лекционной работы. Нацио­нальное хранилище мировых растительных ресурсов в СССР расположено на Кубанской станции Всеёоюзно'гЬ науч'но- исследовательсйбго ин-та рйС-

t ’ '>!-. > » • ■■ і, Ц і

3*

Структурная. формула однргу рз оак- тер'иохлоро'фйИлов

те н и е во д с т ва, ,и м.., , И., § ад и -

лова в Краснодарском'крае.

В нем хранится 400 тыс. образ­цов семян. Всего в мире более 40 семенных банков. Б, г. за­мороженных клеток исчезаю­щих' видов животных имеются в Научном центре, биологи^, исследований АН СССР в г. Пущино-на-Оке, в Техасском мед. центре ц, зоопарке к. .Сан- Диего (в США’)’. ’ ' ,

БАРбРЕЦЕПТОРЫ (гр. ба- рос — тяжесть + лат1., реци- пере — получать), — чувстви­тельные нервные бкЬйча*ИиЯ в стенках кровеносных сосудов, воспринимающие изменения кровяного давления и рефлек­торне» рерул^ируюірие его . уро- вень.ч‘.Очейидно, бнй же’ удав­ливают ’и" изменения внеіи. давления среды, на чём дсно- 3.5

'ь *

вана баротерапия — лече­ние с помощью повышенного или пониженного давления воздуха. К местному примене­нию баротерапии можно отнес­ти мед. банки.

БАРОХОР (гр. барос — тя­жесть + гр. хорео — продви­гаюсь, распространяюсь) — растения, семена которых рас­пространяются падением под влиянием силы тяжести. Яв­ление распространения семян под влиянием силы тяжести назыв. барохорией. Это одна из форм автохории. К Б. относятся все растения, имею­щие тяжелые бескрылые семе­на (напр., фасоль и др.).

БАТИАЛЬ (гр. батис — глу­бокий) — пространство мор. дна (часть бентали), охваты­вающее глубины континен­тального склона (200—3000, часто указывается 2000 м). Б. расположена между сублито­ралью и абиссалью. Б. отлича­ется разреженностью жизни. См. схему в ст. Зона (область) экологическая Мирового океа­на.

БАТИБИОНТ (гр батис — глубокий -і гр. бион (бион- тос) — живущий) — глубоко­водный организм.

БАТИПЕЛАГИАЛЬ (гр. ба­тис — глубокий 4- лат. пела- гос — открытое море) — то же, что н дисфотическая зона.

БАЦИЛЛА (лат. бацил- лум — палочка): 1) любая бактерия, имеющая форму па­лочки; 2) любая болезнетвор­ная бактерия (разг.).

БЕЛОК — высокомолеку­лярное органич. соединение, построенное из остатков 20 аминокислот и играющее пер­востепенную роль в процес­сах жизнедеятельности всех организмов. Б. выполняют разл. функции: структурную — построение тканей и клеток, их составных частей, регулятор­ную (нек-рые гормоны), ката­литич.

(ферменты), защитную (антитела), транспортную (ге­моглобин), энергетич. и др. Б. чрезвычайно разнообразны, напр. в организме человека их св. 10 млн. Постоянное обнов­ление Б. лежит в основе обме­на веществ. Основную роль в биосинтезе Б. играют нуклеи­новые к-ты (см. Трансляция, Транскрипция). Поскольку мн. аминокислоты, из к-рых сос­тоит Б., организмом человека не синтезируются, он нуждает­ся в поступлении Б. с расти­тельной, а иногда и с живот­ной пищей. Синоним: про­теин.

БЕНТАЛЬ (гр. бентос — глубина) — область водоемов, заселенная донными организ­мами — бентосом. Практиче­ски — все дно водоемов. Ор­ганизмы, населяющие Б., на­зыв. Д О II н ы м и, или бен­тосными. Б. — одна из главнейших экологич. зон Ми­рового океана. Ср. Пелагиаль.

БЕНТОС (гр. бентос — глу­бина) — совокупность орга­низмов, всю жизнь или боль­шую ее часть обитающих на дне океанич. и континенталь­ных водоемов, в его грунте и на грунте. Различают фито- бентос и зообентос. Ор­ганизмы Б. служат объекта­ми питания мн. рыбам и др. водным животным, имеющим хоз. значение. Самостоятель­ное промысловое значение име­ют устрицы, мор. гребешки, омары, речные раки, крабы и т. д.

36

БЕНТОФАГ (от бентос + + гр. фагос — пожираю­щий) — животное, питающее­ся организмами, живущими на дне водоема, нередко само опускающееся на дно только в поисках пищи.

БЕРЕМЕННОСТЬ — про­цесс развития в теле самки оп­лодотворенной яйцеклетки (зи­готы) в зародыш, а затем и плод. Свойственна всем живо­родящим организмам (млеко­питающим, нек-рым пресмы­кающимся и рыбам). У млеко­питающих Б. начинается с мо­мента прикрепления (имплан­тации) оплодотворенного яйца к стенке матки (через несколь­ко дней после оплодотворе­ния — короткого латентного периода, но иногда, напр. у куниц, соболей, через длитель­ное время —до 7,5 мес.). Про­должительность Б. у млекопи­тающих различна: у сумчатых бандикут — 12,5 сут., у мышей и полевок — 12—40, кроли­ков — 30, зайцев — 51, кошек, собак, волков, рысей — 56— 72, бобров — 105, оленей, ло­сей — 230, косуль — 276— 291, медведей — 270, человека в среднем 280 сут., китов —• 480—510, слонов — 660 сут.

БИВАЛЕНТ (лат. би — двух + лат. валене (вален­тне) — сильный) — две гомо­логии. хромосомы, образую­щиеся при делении клеточного ядра. Синоним: геми ни (от гр. геми — половина).

БИВОЛЬТИННОСТЬ (лат. би — двух + итал. вольта — по­ворот) — свойство видов живот­ных (обычно термин применя­ется в отношении насекомых) иметь 2 поколения в течение года (ср. Моновольтинность, Поливольтинность).

БИЛАТЕРАЛЬНОСТЬ (лат. би — дву(х) + лат. латера- лис — боковой) -— двусторон­няя (двубокая) симметрия у организмов: одна плоскость симметрии делит организм или орган на одинаковые правую и левую половины.

БИОАКУСТИКА (гр. би­ос — жизнь + гр. акустикус — слушать) — раздел этологии, исследующий звуковую сигна­лизацию животных.

БИОГАЗ — горючий газ, получаемый из твердых и жид­ких отходов, в т. ч. животно­водч. комплексов, городских сточных вод и т. п., а также при сбраживании специально выращиваемых водорослей и др. организмов с быстрорасту­щей биомассой. Б. в основном содержит метан.

. БИОГЕНЕЗ (гр. биос — жизнь + генез (нс) — рожде­ние, происхождение): 1) про­цесс возникновения живого из неживого в эволюции Земли; 2) образование органич. сое­динений живыми организма­ми; 3) учение, принципиаль­но отрицающее возможность появления живого из неживой материи и утверждающее, что живые существа могут проис­ходить только от себе подоб­ных; разновидностью Б.-З слу­жит космическая версия про­исхождения жизни.

БИОГЕНЫ (гр. биос - жизнь + гр. геяос — рождаю­щийся, рожденный): 1) ве­щества (в т. ч. химич. эле­менты), абсолютно необходи­мые для существования живых организмов и обязательно вхсм

37

дящие в их состав; 2) вещест­ва, возникшие в результате разложения остатков организ­мов, но еще не полностью ми­нерализованные; 3) вещества, происходящие от живого ор­ганизма, связанные с его жиз­недеятельностью (фитонциды и др.); 4) вещества, ока­

зывающие стимулирующее влияние на организм, в т. ч. биогенные стимуляторы, обра­зующиеся в организме и ока­зывающие на него значитель­ное воздействие (ускоряют регенерацию и т.

д.) из-за вы­сокой биологич. активности. Б.-4 применяются с лечебными целями и для повышения про­дуктивности животных, уско­рения роста молодняка.

БИОГЕОГРАФИЯ — науч. отрасль, изучающая общие ге­ографии. закономерности орга­нич. мира Земли: распределе­ние растительного покрова и животного населения разл.час­тей земного шара, их сочета­ния, флористич. и фаунистич. подразделения суши и океана, а также распространение био­ценозов И входящих в них ви­дов растений, животных, гри­бов и микроорганизмов.

БИОГЕОСФЕРА (гр. би­ос — жизнь + гр. ге — зем­ля + гр. сфера — шар) — обо­лочка земного шара (часть биосферы), в к-рой сконцент­рирована осн. масса живого вещества планеты; расположе­на на контакте поверхности литосферы, приземного слоя атмосферы н мелководий или верх, слоя гидросферы. Сино­нимы: пленка жизни

(В. И. Вернадский), б йогео- ненотнч п ок р о в (В. Н. Су­качев), фитосфера, фито- ая

геосфера, эпигенема, биофильм и др. Ряд из при­веденных терминов не пол­ностью совпадает с понятием «Б».

БИОГЕОХИМИЯ (гр. би­ос — жизнь + гр. ге — зем­ля + лат. от араб, ал(хемия), (ал)химия) — науч. дисципли­на, исследующая роль живых организмов в разрушении гор­ных пород и минералов, круго­вороте, миграции, распределе­нии и концентрации химич. элементов в биосфере.

БИОГЕОЦЕНОЗ (гр. би­ос — жизнь + гр. ге — зем­ля + гр. койнос — общий) — эволюц. сложившаяся, прост­ранственно ограниченная, дли­тельно самоподдерживающая- ся однородная природная сис­тема, в к-рой функционально взаимосвязаны живые организ­мы и окружающая их абиотич. среда, характеризующаяся от­носит. самостоятельным обме­ном веществ и особым типом использования потока энергии, приходящей от Солнца. Ж и - вы ми компонентами Б. (см. схему на с. 40) служат ав­тотрофные организмы — проду­центы (зеленые растения и хе­мосинтетики) и гетеротрофные организмы (животные, грибы, большинство бактерий, виру­сы), составляющие 2 средооб­разующих (экологии.) компо- нента: консументов (раститель­ноядные животные, хищники, паразитич. растения), в значи­тельной мере регулирующих кол-во продуцентов, и реду­центов, разлагающих органич. вещество продуцентов, консу­ментов и их метаболитов (по­мет, погадки птиц и т. п.) до минеральных составляющих. •

Неживые компоненты Б. — солнечная энергия, ат­мосфера — воздух (в воде — ее газовый состав), вода в свободном и связанном виде и субстраты (на суше — почва, на дне водоемов — грунт). Б. — сложная природная сис­тема, форма единства организ­мов и окружающей их, среды, к-рую они в определенной сте­пени преобразуют для своих нужд. Организмы Б. находят­ся в тесном, хотя и противо­речивом единстве, составляя неразделимый комплекс,; ..-где нет «вредных» и «полезных» видов. Все они взаимосвязаны и взаимозависимы. В Б, су­ществует такая же связь меж­ду живыми и неживыми ком­понентами, как и между по­следними. «Лишняя» энергия, вода, газы атмосферы так же чужды Б., как нежелательные интродуценты типа .колорад­ского жука. Б. земного шара •образует биогеоценотич.., по­кров (фитосферу, биогеосфе­ру, биофильм, «пленку жизни» по В. И. Вернадскому). В сос­таве биэгеоценотич. слоя Б. об­ладают относит, самостоятель­ным биогеоценотич. обменом (круговоротом) веществ (на­зыв. также малым кругом обмена, в отличие от боль­шого биосферного круговоро­та). В соответствии с пред­ставлением о биогеоценотич. обмене веществ, (малом их круговороте) Б. представляет собой территориально . (и иерархия.) миним. ячейку — «клеточку», или. «кирпичик», биосферы. (Существуют про­межуточные. .круговороты ве­ществ между, малыми и. боль­шими кругами, надр, кругово­

роты веществ в океане и на суше относит. автономны.) Б. — миним. по протяженнос­ти и иерархии, уровню экосис­тема, отличающаяся относит, однородностью — не состоя­щая из др. экосистем более низкого иерархии, уровня, а потому не имеющая четко вы­раженных внутр. границ в рас­пространении экологии, компо­нентов. Б. физиономии, и функционально однороден по притоку энергии, водным, ат­мосферным условиям, субстра­там, растительности, животно­му миру и совокупности орга­низмов-редуцентов. Б. состав­ляет «клеточку» биосферы, между отдельными Б. сущест­вует тесная связь, объединяю­щая их в надсистеМы (озерко и окружающий луг — пример такого сочетания). В целом об­разуется непрерывное единство биогеоценотич. покрова .без жестких граней, поэтому не­редко говорят о континууме, отсутствии четких границ меж­ду Б. См. Экосистема, Биоце­ноз, Фитоценоз, Зооценоз, Тер­мин «Б.» введен В. Н. Сукаче­вым (1880—1967) в 1940 г.

БИОГЕОЦЕНОЛОГИЯ (гр. биос — ЖИЗНЬ -8 гр: ге г-НН зем­ля. + гр. койнос — общий + + гр. логос — слово, понятие, учение) — науч. дисциплина, исследующая закономерности формирования, функционирова­ния,' взаимосвязи и развития биогеоценозов, их сложения в биогеоценотич. покров (гл. обр. суши).

БИОИНДИКАТОР (гр, би ос — жизнь 4- лат. индика­тор — указатель): 1) группа особей одного вида или сооб­щество, по наличию, или сос-

<< | >>
Источник: Реймере Н. Ф.. Основные биологические понятия и термины: Кн. для учи­теля.— М.: Просвещение,1988. — 319 с.. 1988

Еще по теме Б:

  1. Педагогіка. Інтегрований курс теорії та історії: Навчально- методичний посібник: У 2 ч. / За ред. А.М. Бойко. — Ч. 2. — К.: ВІПОЛ; Полтава: АСМІ,2004. — 504 с., 2004
  2. Кармазин Ю.А., Стрельцов Е.Л. и др.. УГОЛОВНЫЙ КОДЕКС УКРАИНЫ. КОММЕНТАРИЙ. Харьков-Одиссей, 2001
  3. ПРЕДИСЛОВИЕ
  4. РЕДАКТОРСКАЯ СТАТЬЯ
  5. ОБЩАЯ ЧАСТЬ
  6. Раздел I
  7. ОБЩИЕ ПОЛОЖЕНИЯ
  8. Статья 1. Задачи Уголовного кодекса Украины
  9. Статья 2. Основание уголовной ответственности
  10. Раздел II ЗАКОН ОБ УГОЛОВНОЙ ОТВЕТСТВЕННОСТИ