Приложение 1 Расчет экономической эффективности предлагаемой конструкции центробежной противоточной мельницы (ЦПМ)
Расчет капитальных вложений на проект
Определим дополнительные капитальные вложения
на проект:
где
- стоимость прейскурантная деталей и узлов для реконструкции действующего оборудования, руб.;
- затраты на монтаж = 10% от Кд, руб.;
где
- прирост стоимости основных средств, тыс.
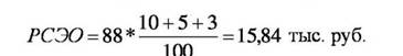
Расходы на содержание и эксплуатацию оборудования (РСЭО) рассчитаем по формуле:
где
- норма амортизации основных средств, %;
- норма отчислений на ремонт, %;
- норма отчислений на эксплуатацию основных средств, %.
в том числе амортизация: 88 *10/100 = 8,8 тыс. руб.
Капитальные затраты будут осуществляться за счет собственных денежных средств.
Далее рассчитаем изменение себестоимости 1т известняковых добавок после модернизации оборудования.
Базовый объем производства асфальтобетона - 76000 т, в проектном периоде он не меняется.
На одну тонну асфальтобетона расходуется 0,12т известнякового порошка. Всего потребность в его производстве составит:Вът= 76000*0,12 = 9120 т.
Таблица 6.1
Производственная программа
| Показатель | база | проект |
| Объем выпуска, т | 9120 | 9120 |
| Цена за 1т, руб. | 15500 | 15500 |
| Объем продаж, тыс. руб. | 141360 | 141360 |
Норма удельного расхода на электроэнергию при производстве известнякового порошка уменьшится с 21 кВт-ч/т до 16,9 кВт-ч/т (на 4,1 кВт-ч/т). Снижение затрат на 1т по статье «электроэнергия на технологические цели» составит:
где
- удельная норма расхода электроэнергии до внедрения, кВт-ч;
удельная норма расхода электроэнергии после внедрения, кВт-ч;
- стоимость одного киловатта электроэнергии, руб.
Таблица 6.2
Калькуляция себестоимости 1 т известнякового порошка
| база | проект | отклонение 1 т, руб. | |||
| Наименование ресурса | 1 т, руб. | за год, тыс. руб | 1 т, руб. | за год, тыс. руб | |
| Сырье и основные материалы | 9581,20 | 87380,54 | 9581,20 | 87380,54 | |
| Топливо на технологические цели | 447,22 | 4078,65 | 447,22 | 4078,65 | |
| Электроэнергия на технологические цели | 384,06 | 3502,63 | 357,25 | 3258,12 | -26,81 |
| Зарплата основных рабочих | 750,12 | 6841,09 | 750,12 | 6841,09 | |
| Отчисления на социальные нужды | 225,04 | 2052,33 | 225,04 | 2052,33 | |
| Общепроизводственные расходы, всего | 1397,67 | 12746,75 | 1399,41 | 12762,59 | 1,74 |
| в т. ч. а) рсэо | 630,35 | 5748,79 | 632,09 | 5764,63 | 1,74 |
| б) цеховые расходы | 767,32 | 6997,96 | 767,32 | 6997,96 | |
| Общехозяйственные расходы | 656,12 | 5983,81 | 656,12 | 5983,81 | |
| Внепроизводственные расходы | 32,15 | 293,21 | 32,15 | 293,21 | |
| Полная себестоимость | 13473,58 | 122879,01 | 13448,94 | 122654,31 | -25,07 |
Составим прогноз финансовых результатов от реализации проекта.
Прогноз финансовых результатов
Таблица 6.3
| Показатель | база | проект | отклонение |
| 1. Объем продаж, т | 9120 | 9120 | 0 |
| 2. Цена, руб. за 1т | 15500 | 15500 | 0 |
| 3. Выручка, тыс. руб. | 141360 | 141360 | 0 |
| 4. Полные издержки на пр-во, тыс. руб. | 122879 | 122650,35 | -228,67 |
| 5. Прибыль от продажи, тыс. руб. | 18481 | 18709,65 | 228,67 |
| 6. Прибыль до н/обложения, тыс. руб. | 18481 | 18709,65 | 228,67 |
| 7. Налог на прибыль (20 %), тыс. руб. | 3696 | 3741,93 | 45,73 |
| 8. Чистая прибыль, тыс. руб. | 14785 | 14967,72 | 182,93 |
Для оценки эффективности инвестиционного проекта и расчета его показателей составим план денежных потоков по трем видам деятельности: инвестиционной, операционной, финансовой.
Ставку дисконтирования примем равной 14 %.
Денежные потоки проекта
Таблица 6.4
| Показатели | 2017 | 2018 | 2019 | 2020 |
| I. Инвестиционная деятельность | ||||
| Капитальные вложения, тыс. руб. | 88 | |||
| Итого инвестиций: | -88 | |||
| П.Операционная деятельность | ||||
| Экономия за счет снижения энергозатрат на пр-во, тыс. руб. | -228,67 | -228,67 | -228,67 | |
| Амортизация, тыс. руб. | 8,8 | 8,8 | 8,8 | |
| Прирост прибыль до н/обложения, тыс. руб. | 228,67 | 228,67 | 228,67 | |
| Налог на прибыль (20 %), тыс. руб. | 45,73 | 45,73 | 45,73 | |
| Прирост чистой прибыли, тыс. руб. | 182,93 | 182,93 | 182,93 | |
| Чистый приток от операций | 191,73 | 191,73 | 191,73 |
| III. Финансовая деятельность | ||||
| Собственный капитал, тыс. руб. | 88 | |||
| Сальдо реальных денег, тыс. руб. | 0 | 191,73 | 191,73 | 191,73 |
| Поток реальных денег, тыс. руб. | -88 | 191,73 | 191,73 | 191,73 |
| Коэффициент дисконтирования (14%) | 1 | 0,88 | 0,77 | 0,67 |
| Чистый дисконтированный доход, тыс. руб. | -88 | 168 | 148 | 129 |
| ЧДЦ (NPV) нарастающим итогом, тыс. руб. | -88 | 80 | 228 | 357 |
Эффективность инвестиций оценим с помощью следующих показателей.
1. Чистая текущая дисконтированная стоимость -NPV:
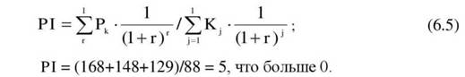
2. Индекс рентабельности
3. Период возврата инвестиций:
4. Период окупаемости проекта: 
Tβθ3- период возврата инвестиций;
Тин - период вклада инвестиций, лет.
Рассчитанные показатели эффективности проекта представим в графическом виде.
Рис. 6.1 Финансовый профиль проекта
5. Внутренняя норма доходности(IRR) - ставка дисконта, при которой NPV=0.
IRR = и + ЧДЦіКЧДДх - ЧДД2у*(х2 - п) =210,61 %, т.е. более 14 %.
Расчет внутренней нормы доходности представлен в табл. 6.5.
Таблица 6.5
Расчет внутренней нормы доходности
| Годы осуществления проекта | 2007 | 2018 | 2019 | 2020 | ||
| Чистый денежный поток | -88 | 191,73 | 191,73 | 191,73 | ||
| Ставка дисконта | Дисконтированный денежный поток | IRR | NPV | |||
| Г| | ||||||
| 0% | -88 | 191,73 | 191,73 | 191,73 | 487,19 | |
| 1% | -88 | 189,83 | 187,95 | 186,09 | 475,87 | |
| 50% | -88 | 127,82 | 85,21 | 56,81 | 181,84 | |
| 100% | -88 | 95,86 | 47,93 | 23,96 | 79,76 | |
| 101% | -88 | 95,38 | 47,45 | 23,61 | 78,45 | |
| 150% | -88 | 76,69 | 30,67 | 12,27 | 31,63 | |
| 200% | -88 | 63,91 | 21,30 | 7,10 | 4,31 | |
| 210% | -88 | 61,84 | 19,95 | 6,43 | 0,23 | |
| 211% | -88 | 61,64 | 19,82 | 6,37 | 210,61% | -0,15 |
Заключение
Как видно из расчетов, проект модернизации центробежной противоточной мельницы является эффективным: чистый дисконтированный доход от проекта составил 357 тыс. руб, индекс доходности равен 5, срок окупаемости проекта - 0,52 года. Эффект произошел за счет снижения себестоимости единицы продукции на 25,07 руб, (за счет снижения удельных затрат электроэнергии), что свидетельствует об использовании внутренних резервов развития.

Стр.: 1

1 87


Приложение 3
189
о внедрении технической документации и рекомендаций кафедры МО БГТУ им. В.Г. Шухова на изготовление центробежной противоточной мельницы ООО Шебекино «АвтоДор» для производства добавок в асфальтобетонную массу
Мы, нижеподписавшиеся, комиссия в составе: от ООО Шебекино «АвтоДор»:
Костоглодов В.Б. - нач. ПТО
Быков Е.В. - гл. механик,
от Белгородского государственного технологического университета им. В.Г. Шухова:
составили настоящий акт о том, что на основании обсуждения и решения технического совета центробежная противоточная мельница с селективным измельчения известняка, разработанная в ходе
диссертационной работы Чунгуровой Т.Л. на тему « Совершенствование конструкции и процесса помола в центробежной противоточной мельнице» с целью получения добавок в асфальтобетонную массу, выполнена в БГТУ им. В.Г. Шухова и принята к внедрению на ООО Шебекино «АвтоДор».
Промышленные испытания проводились на известняке ГОСТ 8267 - 93 размерами частиц 0 - 10мм.
АКТ
Богданов В.С.
Фадин Ю.М.
Семикопенко И.А.
Чунгурова Т.Л.
- д.т.н., проф., зав. кафедрой МО;
- к.т.н., проф. кафедры МО;
- к.т.н., доц. кафедры МО
- аспирант
Техническая характеристика предлагаемой конструкции
центробежной противоточной мельницы ЦПМ - 800
| № п/п | Показатели | ед. измерения | значения величин |
| 1 | Диаметр дисков | м | 0,8 |
| 2 | Высота криволинейных лопастей | м | 20 10'3 |
| 3 | Высота прямолинейных лопастей | м | 5 10'3 |
| 4 | Количество криволинейных лопастей на диске | шт | 4 |
| 5 | Количество прямолинейных лопастей на диске | шт | 8 |
| 6 | Частота вращения дисков | мин'1 | 4500 |
| 7 | Установочная мощность электродвигателей | кВг | 30 |
| 8 | Производительность | т/ч | 3 |
Расчетные показатели работы центробежной противоточной мельницы ЦПМ - 800:
| № п/п | Показатели | ед. измерения | значения величин | |
| Установка №1 | Установка №2 | |||
| 1 | Дисперсность готового продукта | |||
| 1.1 | Остаток на сите 008 | % | 30 | 27 |
| 2 | Производительность ЦПМ | т/ч | 3 | 3 |
| 2.1 | Производительность, приведенная к 10% - ному остатку на сите 008 | т/ч | 2,0 | 2,3 |
Технические рекомендации кафедры МО БГТУ им. В.Г. Шухова заключаются в регламентировании сборочных и пусконаладочных работ, а также подготовке к эксплуатации. Подписи сторон: От ООО Шебекино «АвтоДор»:
Костоглодов В.Б.
Быков Е.В.

составили настоящий акт о том, что в период с 25 сентября по 25 декабря 2016 г. в соответствии с рабочими чертежами и рекомендациями, разработанными кафедрой механического оборудования Белгородского государственного университета им. В.Г. Шухова, в ООО «Новатор» была испытана центробежная противоточная мельница селективного
измельчения с целью получения добавок в сухие строительные смеси, разработанная в ходе выполнения диссертационной работы Чунгуровой Т.Л. на тему: «Совершенствование конструкции и процесса помола в центробежной противоточной мельнице».

Промышленные испытания проводились на мраморе ГОСТ 4416 - 94 размерами частиц 0 - 1 Омм.
Техническая характеристика центробежной противоточной мельницы ЦПМ - 200 с учетом модернизации.
| № п/п | Показатели | ед. измерения | значения величин |
| 1 | Диаметр дисков | м | 0,2 |
| 2 | Высота криволинейных лопастей | м | 7-Ю’3 |
| 3 | Высота прямолинейных лопастей | м | 2-Ю’3 |
| 4 | Количество криволинейных лопастей на диске | шт | 4 |
| 5 | Количество прямолинейных лопастей на диске | шт | 8 |
| 6 | Частота вращения дисков | мин’1 | 10000 |
| 7 | Установочная мощность электродвигателей | кВт | 1,1 |
| 8 | Производительность | т/ч | о,1 |
Основные результаты промышленных испытаний центробежной противоточной мельницы ЦПМ - 200:
| № п/п | Показатели | ед. измерения | значения величин | |
| Установка №1 | Установка №2 | |||
| 1 | Дисперсность готового продукта | |||
| 1.1 | Остаток на сите 008 | % | 30 | 27 |
| 2 | Производительность ЦПМ | т/ч | 0,1 | 0,1 |
| 2.1 | Производительность, приведенная к 10% - ному остатку на сите 008 | т/ч | 0,1 | 0,14 |

АКТ ВНЕДРЕНИЯ
Комиссия в составе заместителя заведующего кафедрой "Механическое оборудование", к.т.н., профессора Ханина С.И., к.т.н., профессора Фадина Ю.М., аспиранта Чунгуровой Т.Л. составила настоящий акт в том, что на кафедре "Механическое оборудование" разработана и внедрена Чунгуровой Т.Л., в рамках ее диссертационной работы на тему «Совершенствование конструкции и процесса помола в центробежной противоточной мельнице», методика расчета конструктивно-технологических параметров центробежной
противоточной мельницы, которая используется на практических занятиях для закрепления материала в учебном процессе подготовки бакалавров по направлению 15.03.02 - "Технологические машины и оборудование" по дисциплинам; "Механическое оборудование (общий курс)" и "Технологические комплексы предприятий для производства вяжущих материалов и изделий на их базе", в курсовом и дипломном проектировании.
Еще по теме Приложение 1 Расчет экономической эффективности предлагаемой конструкции центробежной противоточной мельницы (ЦПМ):
- 5.6 Технико-экономическая эффективность использования центробежной противоточной мельницы с селективным самоизмельчением материалов
- 5.5. Инженерная методика расчета центробежной противоточной мельницы
- Исследования по повышению износостойкости роторов центробежной противоточной мельницы с селективным измельчениемматериалов
- Современные способы интенсификации процессов измельчения в центробежных противоточных мельницах и направления решения проблемных задач
- Разработка экспериментальных установок центробежной противоточной мельницы, моделирование технологических процессов
- Определение производительности центробежной противоточной мельницы
- Исследование параметров работы центробежной противоточной мельницы
- Технологические схемы измельчения с центробежной противоточной мельницей
- Определение вероятности столкновения частиц, движущихся во встречных потоках в центробежной противоточной мельнице
- 2.5 Теоретические исследования условий разрушения частиц материала встречным лобовым ударом в центробежной противоточной мельнице
- Сводные показатели экономической эффективности модульных котельных, предлагаемых к внедрению в г. Воронеже
- 5.5 Технико-экономическое обоснование эффективности совершенствования технологии восстановления цапф шаровой мельницы
- Расчет экономической эффективности от использования дезагрегирующего устройства на ОАО «Шебекинский меловой завод»
- Предлагаемая конструкция роторного смесителя
- Предлагаемая конструкция пневмокамерного насоса с мультисопловым аэрационным устройством
- Предлагаемая конструкция планетарного смесителя