Определение производительности центробежной противоточной мельницы
Производительность центробежной противоточной мельницы является одним из важнейших параметров, который связан с пропускной способностью вертикальных загрузочных патрубков и влияет на плотность частиц в потоках в тангенциальном патрубке.
Плотность потоков должна быть такова, чтобы столкновение частиц, движущихся в противоположных потоках, произошло в зоне измельчения. Если плотность потоков будет меньше, то частицы, прилетевшие в зону измельчения без столкновения, потеряют скорость и соударятся с лопастями противоположного ротора, что приведет к повышенному износу лопастей и попаданию продуктов износа в измельченный продукт. Увеличение плотности потока выше оптимальной приведет к тому, что в зоне измельчения будет наблюдаться вторичное нагружение частиц. В этих случаях эффективность помола снизится, что приведет к снижению тонкости готового продукта.
5
Рисунок. 2.16. Схема к определению производительности центробежной противоточной
мельницы: 1- ротор; 2- криволинейная лопасть; 3- прямолинейная лопасть; Р —расстояние от оси вращения ротора до центра загрузочного патрубка; R- радиус ротора; β∖- угол отклонения криволинейной лопасти от радиального направления
Массовый расход сыпучего материала через цилиндрический загрузочный патрубок определяется соотношением:
где
- насыпная плотность сыпучего материала внутри цилиндрического патрубка, кг/м3;
V - объем сыпучего материала, заключенного в цилиндре высотой «z»и диаметром «D»,м3.
Величина этого объема равна (рис. 2.16):
Здесь z- текущая вертикальная координата загрузочного патрубка.
Подстановка (2.128) в (2.127) приводит к следующему соотношению:
здесь Р - величина скорости движения частиц сыпучего материала внутри цилиндрического патрубка, м/с.
где д - ускорение свободного падения, м/с2;
H- значение высоты, с которой начинают свое движение частицы сыпучего материала вдоль цилиндрического вертикального патрубка, м.
Естественно предположить, что частицы материала будут захватываться лопастями одного ротора за время «t»,равное времени падения частиц на расстояние, равное половине их диаметра «d»:
При попадании частиц материала на поверхность криволинейной лопасти ротора материал начинает двигаться вдоль поверхности со скоростью ,равной [44]:
где р1 - расстояние от оси вращения до центра загрузочного патрубка, м;
f- коэффициент трения частицы материала о поверхность лопасти ротора;
β1- угол отклонения направления поверхности криволинейной лопасти от радиального направления, град.
В свою очередь, при попадании частиц материала на поверхность радиально ориентированной лопасти материал начинает двигаться вдоль её поверхности со скоростью
значение которой на основании (2.132) будет определяться
соотношением:
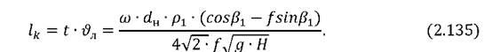
На каждую радиальную лопасть ротора за время «t» попадает порция материала длиной
а каждую криволинейную лопасть ротора за время «t»попадает порция материала «lk»равная:
Если учесть, что время полного оборота ротора с циклической частотой его вращения «ш» связано соотношением:
а масса M1материала, проходящая через один ротор за его полный оборот равна:
где γ1- насыпная плотность материала на лопастях роторов, кг/м3;
Skи Sp- соответственно площади поверхности криволинейной и радиальной прямолинейной лопастей, занятые материалом, м2;
пк и пр - соответственно число криволинейных и радиальных прямолинейных лопастей, расположенных на одном роторе.
Очевидно что:
а
здесь hkи hp- соответственно высота криволинейной и радиальной
прямолинейной лопастей, м.
При определении производительности мельницы учитываем, что за время от момента загрузки лопасти порцией материала до момента схода материала с лопасти работают не все лопасти по окружности ротора, а приблизительно их половина.
На основании полученных соотношений (2.134) - (2.139) производительность
рассматриваемой центробежной противоточной
мельницы будет определяться следующим выражением:
где
- производительность одного ротора центробежной противоточной мельницы, кг/с.
Таким образом, полученное соотношение (2.140) определяет производительность (максимальную пропускную способность вращающихся роторов) центробежной противоточной мельницы.
Для обеспечения производительности (2.140) необходимо, чтобы диаметр цилиндрического патрубка удовлетворял следующему условию [28]: Qp=Q.
На основании (2.140) и (2.129) с учетом (2.130) имеем:
При диаметре цилиндрического патрубка D = Dl∙11∣обеспечивается максимальная производительность центробежной противоточной мельницы. В свою очередь, значение величины γ0можно найти на основании равенства пропускной способности цилиндрического патрубка и конического бункера [ 75], [147].
На основании сказанного получаем следующее равенство:
где Re- радиус верхней части конического бункера, м.
Исходя из (2.142) находим, что: 
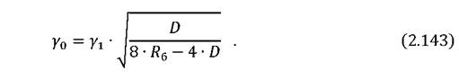
Согласно полученному соотношению (2.143
если:
Полученное соотношение (2.144) определяет взаимосвязь между радиусом R6верхнего основания конического бункера и диаметром Dцилиндрического загрузочного патрубка.
На основании выражения (2.140) построены графические зависимости
, учитывая, что
Линия 1 соответствует значению
линия
фиксированных значениях
Анализ графических зависимостей, представленных на рис. 2.17 позволяет сделать следующий вывод: производительность центробежной противоточной мельницы увеличивается с увеличением частоты вращения роторов и радиальным расстоянием цилиндрического загрузочного патрубка от оси вращения ротора, причём это увеличение имеет возрастающий, близкий к линейному, характер.
Рисунок. 2.17. Зависимость производительности Qцентробежной противоточной мельницы от
частоты nвращения роторов:
В это же время производительность центробежной противоточной мельницы уменьшается с увеличением угла, определяющим отклонение направления поверхности криволинейной лопасти от радиального направления, причем это уменьшение в рассматриваемом диапазоне изменения угла носит приблизительно линейный характер. Например, при частоте вращения ротора 120с-1 и угле
производительность мельницы равна 0,053 кг/с, а при частоте
ротора 200с-1 производительность равна 0,15 кг/с. Если угол β1уменьшается до
при тех же значениях частоты ротора, то производительность мельницы увеличивается соответственно до 0,07 кг/с и 0,19 кг/с.
Еще по теме Определение производительности центробежной противоточной мельницы:
- Определение вероятности столкновения частиц, движущихся во встречных потоках в центробежной противоточной мельнице
- 5.5. Инженерная методика расчета центробежной противоточной мельницы
- 5.6 Технико-экономическая эффективность использования центробежной противоточной мельницы с селективным самоизмельчением материалов
- Исследования по повышению износостойкости роторов центробежной противоточной мельницы с селективным измельчениемматериалов
- Разработка экспериментальных установок центробежной противоточной мельницы, моделирование технологических процессов
- Современные способы интенсификации процессов измельчения в центробежных противоточных мельницах и направления решения проблемных задач
- Исследование параметров работы центробежной противоточной мельницы
- Технологические схемы измельчения с центробежной противоточной мельницей
- Приложение 1 Расчет экономической эффективности предлагаемой конструкции центробежной противоточной мельницы (ЦПМ)
- 2.5 Теоретические исследования условий разрушения частиц материала встречным лобовым ударом в центробежной противоточной мельнице
- Глава 64 Прилагательное-атрибутивное определение в умеренно центробежных языках
- Методики определения мощности, потребляемой приводом шаровой барабанной мельницы
- 17. 7 Определение показателей производительности труда и заработной платы
- Определение рациональных параметров ротационной обработки рабочей цилиндрической поверхности цапф мельниц
- Метод противоточной экстракции
- Зависимость производительности от варьируемых параметров
- § 4.1. Идеальный противоточный каскадный теплообменник.
- Реальны ли центробежные силы?
- 1.2.1 Режимы работы мельницы