Методика КРИЗИС-анализа в информационном обеспечении решений экономического субъекта
В условиях кризисных процессов в экономике подходы к управлению предпринимательскими структурами существенно меняются, что требует разработки специальных инструментов для проведения мониторинга внешней и внутренней среды в рамках антикризисной модели управленческого учета.
Предлагаемая методика состоит из нескольких аналитических блоков, ориентированных на выявление степени и характера воздействия кризисных процессов на функционирование экономического субъекта. При этом объектом аналитического наблюдения является внешняя и внутренняя среда экономического субъекта, для чего используется совокупность разнообразных показателей (финансовых, нефинансовых, количественных и качественных), которые отражают явные и скрытые взаимосвязи между элементами бизнес-системы.Для раскрытия сущности и содержания предлагаемой методики скоринговой системы статико-динамического KRISIS-анализа будем придерживаться структуры ее описания, которая может быть заложена в основу для разработки соответствующего регламента управленческого учета: 1. цель скоринговой системы статико-динамического KRISIS-анализа; 2. задачи методики; 3. объекты мониторинга; 4. субъекты мониторинга; 5. этапы проведения аналитических действий; 6. информационное обеспечение системы скоринговой системы статико
динамического KRISIS-анализа; 7. порядок оценки показателей; 8. порядок расчета показателей; 9. порядок представления результатов скорингового статикодинамического KRISIS-анализа; 10. аналитическое заключение по оценке деятельности экономического субъекта в условиях кризисных процессов в экономике.
1. ) Целью проведения скорингового статико-динамического KRISIS-анализа является оценка состояния внешней среды и ее влияния на бизнес-процессы экономического субъекта в кризисных условиях для принятия эффективных решений оперативного и стратегического характера.
2.
) Основными задачами реализации предлагаемого методического подхода в рамках антикризисной модели управленческого учета являются:2.1) выработка релевантной информации для принятия решений в рамках антикризисной модели управленческого учета;
2.2) оценка состояния и динамики развития экономических субъектов однородного вида экономической деятельности по территориальному образованию (региону) на основе данных годовой бухгалтерской отчетности;
2.3) динамическая и статическая оценка влияния макроэкономических параметров на функционирование экономического субъекта;
2.4) скоринговая оценка влияния кризисных явлений на функционирование экономического субъекта в разрезе шести аналитических блоков по качественным параметрам;
2.5) количественная внутренняя оценка влияния экономического кризиса на реализацию бизнес-процессов в разрезе шести аналитических блоков;
2.6) формирование заключительного управленческого отчета по оценке эффективности функционирования экономического субъекта в условиях кризисных процессов в экономике;
2.7) заключительная оценка степени влияния кризисных процессов на функционирование экономического субъекта и выработка направлений совершенствования стратегии функционирования на основе данных управленческой отчетности.
3. ) Объектами предлагаемой скоринговой системы статико-динамического KRISIS-анализа выступают шесть аналитических областей, характеристика которых представлена в табл. 4.9.
Отметим, что кризисные процессы в экономике могут по-разному повлиять на деятельность экономического субъекта и не всегда приводят к потере финансовой устойчивости. Таким образом, в результате аналитических действий должна быть выработана информация о том, как кризисные процессы в экономике влияют на отдельные параметры функционирования бизнеса.
В дальнейшем это позволит выработать релевантную, комплиментарно - точечную информацию для принятия стратегических и оперативных решений.
4. ) В качестве субъектов методики с выступают: высший управленческий персонал и менеджеры высшего звена, в том числе акционеры, собственники, дирекция, главный бухгалтер, бухгалтер-аналитик с антикризисными функциями, главный инженер, главный агроном и др.
Кроме того, субъектами также являются непосредственные исполнители аналитических действий: бухгалтеры, экономисты, бухгалтеры-аналитики и т. д.5. ) Этапы проведения аналитических действий. Методика скоринговой системы статико-динамического KRISIS-анализа включает в себя четыре блока (рис. 4.4).
Рис. 4.4. Этапы реализации скоринговой системы
статико-динамического KRISIS-анализа
297
Характеристика объектов соответствующих аналитических областей скоринговой системы статико-динамического KRISIS-анализа
Таблица 4.9
| Аналитическая область | Характеристика при оценке на макроуровне | Характеристика при оценке на мезоуровне | Характеристика при оценке на уровне экономического субъекта | |
| К | Конъюнктура | Анализируются показатели, свидетельствующие об изменении важных макроэкономических параметров (курсы валют, уровень инфляции, изменение ставки ЦБ и др.) Анализируемые процессы на макроуровне могут стать предвестником трансформаций на уровне экономического субъекта | Производится оценка показателей на уровне совокупности предприятий сектора экономики по региону, свидетельствующих об изменении конъюнктуры, например величина субсидий, полученных экономическими субъектами из всех источников | На уровне экономического субъекта оцениваются те параметры, на которые повлияло изменение конъюнктуры на макроуровне (повышение ставок по кредитам, потери от финансовых вложений или валютных операций и др.) |
| R | Рынок | Оцениваются параметры, влияющие или способные повлиять на состояние потребительских рынков (например, покупательная способность населения). Также оценивается деловая активность в секторах экономики | Оценивается деловая активность экономических субъектов в отрасли. Если объемы реализации растут, то это свидетельствует об устойчивом состоянии рынков | Анализируется состояние сбытовой и закупочной деятельности, то есть как конкретные бизнес-процессы реагируют на сужение либо расширение рынков на макро-, мезоуровне |
| I | Инфраструктура | Данная аналитическая область используется в широкой трактовке. На макроуровне объектом анализа становится востребованность и достаточность всех видов инфраструктуры (транспортная, сбытовая, сервисная, производственная), кроме социальной | Показателем, характеризующим состояние данного блока, будет являться динамика основных средств в регионе, муниципальном районе, совокупность которых определяет состояние инфраструктуры в территориальном образовании | На микроуровне инфраструктура трактуется как имущественный комплекс экономического субъекта, оценке подлежат различные объекты этого имущественного комплекса, то есть в основном внеоборотные активы |
| S | Социальная сфера | К социальной сфере относится, прежде всего, безработица, уровень которой в кризисных условиях, как правило, возрастает, а также доступность объектов социальной инфраструктуры. Анализируется спрос на труд и динамика средней заработной платы | В данном блоке оцениваются показатели отдельных экономических субъектов, характеризующие, прежде всего, состояние и особенности трудовых ресурсов (численность работников, оплата труда в натуральной форме и др.). | Оценивается уровень социальной ответственности экономического субъекта в условиях кризиса, уровень и динамика заработной платы работников, наличие конфликтов в коллективе, численность уволенных работников и др. |
| I | Инвестиции | Оценивается состояние инвестиционных процессов в стране и регионе, либо конкретном секторе экономики | Оценивается инвестиционное состояние на секторном уровне (движение средств финансирования инвестиций из разных источников) | Оценивается, как кризисные процессы влияют на степень инвестиционной активности экономического субъекта |
| S | Системные и структурные показатели | Оцениваются наиболее ключевые показатели состояния экономики на уровне страны либо региона (ВВП, ВРП) | Анализируются ключевые экономические показатели бизнес-единиц (прибыль, рентабельность, отработанное время и др.) | Оцениваются отдельные показатели финансового состояния бизнес-единицы, либо ее ключевых контрагентов |
Очередность и периодичность использования данных блоков может быть различной, но при этом они взаимосвязаны, а итоговая оценка формируется только при наличии результатов по каждому из блоков.
6) В состав информационной базы для проведения статико-динамического KRISIS-анализа включаются все возможные виды бухгалтерской финансовой, управленческой и статистической отчетности. При этом состав источников информации для каждого этапа проведения аналитических действий будет отличаться, поскольку диагностике подлежат принципиально разные объекты. В качестве источников информации могут быть использованы как фактические данные, так и прогнозные значения, в особенности, в части характеристики макроэкономических параметров состояния экономики.
Состав информационной базы для проведения различных этапов аналитических действий в рамках предлагаемой методики представлен в табл. 4.10.
Таблица 4.10
Источники информации для проведения статико-динамического KRISIS-анализа
| Этапы KRISIS- анализа | Информация | Источник |
| Статикодинамическая оценка макроэкономических параметров состояния экономики | Среднедушевые денежные доходы населения; потребительские расходы в среднем на душу населения; ВРП; ввод в действие основных фондов; число предприятий и организаций; продукция сельского хозяйства в хозяйствах всех категорий; инвестиции в основной капитал; индекс потребительских цен; индекс потребительской уверенности и др. | Данные Росстата, данные Минфина, Минэ кономразвития, материалы статистического наблюдения осуществления макроэкономических процессов |
| Статикодинамическая секторная оценка кризисных явлений | Прибыль до налогообложения; дебиторская задолженность; Кредиторская задолженность; отработано тыс. чел-час.; расходы по обычным видам деятельности; среднесписочная численность работников; удельный вес оплаты труда в натуральной форме в общей сумме начисленной заработной платы; движение средств финансирования инвестиций; реализовано продукции; субсидии, полученные из всех источников и др. | Данные годовой бухгалтерской отчетности по всей совокупности экономических субъектов сектора экономики, в т.ч. ф. № 1; ф. № 2; ф. № 5; ф. № 5-АПК; ф. № 6-АПК; ф. № 9-АПК; ф. № 13-АПК; ф. № 10-АПК-село |
| Скоринговая тестоводиагностическая система внутренней оценки по качественным параметрам | Финансовые потери вследствие снижения стоимости акций; влияние на издержки изменений экономической, финансовой, бюджетной и др. политики; факты срыва поставок сырья и материалов; нарушения платежной дисциплины; наличие инфраструктурных дефицитов; спрос на труд; наличие негативных общественных факторов, прямо или косвенно | Результаты внутренней экспертной оценки в разрезе аналитических областей (экспертные анкеты); управленческая отчет ность; данные маркетинговых исследований и опросов; прайс-листы; |
Продолжение табл. 4.10
| Этапы KRISIS- анализа | Информация | Источник |
| угрожающих инвестиционной привлекательности компании; факторы, влияющие на политику ценообразования, и др. | каталоги цен; внутренние нормативные акты (регламенты) и др. | |
| Количественная внутренняя оценка влияния кризисных явлений | Обороты и остатки по счетам бухгалтерского финансового и управленческого учета; натуральные показатели, характеризующие деятельность отдельных бизнес-процессов; аналитические данные бухгалтерского учета, в частности величина затрат на производство соответствующего вида продукции; выручка по видам продукции; себестоимость продаж; ассортиментный ряд производимой продукции; количество отгрузок и поставок за период; капитальные инвестиции и др. | Управленческая отчет ность, учетные регистры, данные маркетинговых исследований и опросов, плановые и нормативные показатели, внутренние нормативные акты (регламенты), данные управленческого и статистического учета, регистры бухгалтерского учета |
| Заключительная оценка | Результаты интегральных оценок влияния кризисных процессов на функционирование экономического субъекта | Аналитические отчеты по результатам всех этапов проведения KRISIS- анализа |
7) Порядок оценки показателей. Для оценки показателей в рамках проведения статико-динамического KRISIS-анализа нами разработана специальная шкала, которая позволяет идентифицировать степень близости фактического значения показателя к оптимальному или нормативному, а также свидетельствует о характере воздействия кризисных процессов (табл. 4.11).
Таблица 4.11
Шкала для оценки показателей в рамках проведения статико-динамического KRISIS-анализа
| Группа | Характеристика с точки зрения соответствия нормативному значению | Характеристика в контексте воздействия кризисных процессов |
| A | Наиболее эффективное значение | Абсолютная безопасность |
| B | Удовлетворительное значение | Устойчивое состояние |
| C | Пограничное значение | Потенциальный кризис |
| D | Неудовлетворительное значение | Латентный кризис |
| E | Крайне неудовлетворительное значение | Острый кризис |
Если в отношении показателя не существует рекомендованных нормативных значений, экономический субъект устанавливает его сам. Шкала оценок носит индивидуальный характер и зависит от специфических условий функционирования каждого экономического субъекта, а также от глубины кризиса. Оценка
показателей в динамике за ряд лет позволит сформировать нормативные значения показателей, то есть средний уровень показателя, при котором состояние экономики характеризуется нормальными темпами роста. По некоторым показателям интервалы значений будут оставаться неизменными, по другим они будут постоянно меняться. В зависимости от величины отклонения от среднего, нормативного значения показатель попадает в определенную группу, например, если отрицательное отклонение от «эталонного» значения меньше 5%, то значение показателя попадает в группу «А»; от 5 - 10 % - в группу «B»; 10 - 15 % - в группу «С» и т. д. Оценочная шкала по разным показателям может строиться по-разному.
8) Порядок расчета показателей.
8.1. ) Статико-динамическая оценка макроэкономических параметров состояния экономики. На данном этапе KRISIS-анализа производится оценка показателей в разрезе шести аналитических областей (конъюнктура, рынок, инфраструктура, социальная сфера, инвестиции, системные и структурные показатели экономики). Типовой состав показателей представлен в табл. 4.12.
Таблица 4.12
Типовой состав показателей для проведения статико-динамической оценки на макроуровне в рамках KRISIS-анализа
| Аналитические | Наименование показателя (Xi) | |
| области (J) | ||
| K | Конъюнктура | Индекс потребительских цен (декабрь к декабрю предыдущего года), %; индексы, характеризующие мнение населения о личном материальном положении и конъюнктуре рынка товаров и сбережений, в т.ч.: произошедшие изменения личного материального положения за год; ожидаемые изменения личного материального положения через год; благоприятность условий для крупных покупок; благоприятность условий для сбережений; индекс потребительской уверенности и др. |
| R | Рынок | Продукция сельского хозяйства в хозяйствах всех категорий (в фактически действовавших ценах), млн. руб. ; объем работ, выполненных по виду деятельности «строительство» (в фактически действовавших ценах), млн. руб. |
| I | Инфраструк тура | Число предприятий и организаций (на конец года; по данным государственной регистрации); шт.; ввод в действие основных фондов, млн. руб. |
| S | Социальная сфера | Среднедушевые денежные доходы (в месяц), руб. ; потребительские расходы в среднем на душу населения, руб. ; уровень безработицы населения, в среднем за год (по данным выборочных обследований рабочей силы), %; реальные располагаемые денежные доходы по РФ, в % к предыдущему периоду, % |
Продолжение таблицы 4.12
| Аналитические | Наименование показателя (Xi) | |
| области (J) | ||
| I | Инвестиции | Инвестиции в основной капитал, млн. руб. |
| S | Системные и структурные показатели экономики | Валовой региональный продукт, в текущих основных ценах, млн. руб.; численность занятых в экономике, тыс. чел |
Отметим, что состав показателей может видоизменяться в зависимости от характера и глубины кризиса, секторной специфики экономики, в котором функционирует экономический субъект, наличия источников информации, степени автоматизации аналитических процедур и других параметров. Количество показателей в каждой из аналитических областей также может варьироваться.
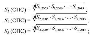
Каждый из показателей приводится в динамике за 10 лет, но при этом, учитывая тот факт, что все они являются разнородными, для выполнения требования сопоставимости было проведено нормирование данных с помощью расчета относительного показателя сравнения (ОПС). За базу сравнения принималось среднее арифметическое значение показателей за период 2005 - 2016 гг.
где Zij - нормированное значение;
Xij - фактическое значения i-го показателя по j-му признаку;
- среднее значение по признаку J.
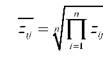
Далее были рассчитаны средние ОПС на основе средней геометрической для каждого из показателей
- среднее геометрическое из относительных показателей структуры по аналитическим областям за 2005 - 2016 гг.
Например, для группы показателей «Социальная сфера» (S) 
302
где n- количество критериев в группе S'.
На следующем этапе в соответствии с предлагаемой методикой производится расчет средних ОПС по каждой из аналитической области («К», «R», «I», «S», «I», «S»J:
Например, для группы показателей «Социальная сфера» в рамках статическойоценки средний ОПС составил 0,96:
Например, для расчета показателей социальной сферы (S), которых в данной аналитической области четыре, в отчетном году расчет будет иметь вид:
Рис. 4.5. Пример построения графика значений показателей блока Sза отчетный год со средними показателями за весь период исследования
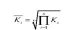
Аналогичным образом производится расчет средних уровней для всех показателей шести аналитических областей (К, R, I, S, I, S)за десятилетний период исследования.
Для динамической оценки показателей в разрезе шести аналитических областей на первом этапе были рассчитаны цепные относительные показатели динамики
(ОПД) (цепные темпы роста). За базу сравнения в таких показателях принимались значения показателей в предшествующий момент времени:
где i- показатель, j- номер момента времени, j∈ (2005, 2006, ..., 2016).
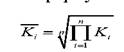
Далее рассчитываются средние темпы роста за 2005 - 2016 гг. на основе средней геометрической для каждого из показателей
Расчет средних ОПД (темпов роста) по каждой аналитической области («К», «R», «I», «S», «I», «S» производится по формуле
Например, для группы показателей «Социальная сфера» расчет будет выглядеть следующим образом:
Результаты расчета относительных показателей статики и динамики показателей (ОПС и ОПД) в разрезе отдельных индикаторов и в целом по шести аналитическим областям за период исследования представлены в табл. 4.13.
Таблица 4.13
Средние значения нормированных показателей для проведения статикодинамической оценки на макроуровне в рамках KRISIS-анализа
| Аналитическая область (J) | Показатель | Статическая оценка | Динамическая оценка | |||
| ОП С Zij | Средние ОПС по блокам (Zij) | ОП С | Средние ОПС по блокам | |||
| K | K1 | Индекс потребительских цен | 1,00 | 1,00 (B) | 1,00 | 1,00 (B) |
| R | Ri | Продукция сельского хозяйства в хозяйствах всех категорий | 0,93 | 0,93 (C) | 1,14 | 1,14 (B) |
| R2 | Объем работ, выполненных по виду деятельности «Строительство» | 0,93 | 1,13 | |||
| I | I1 | Число предприятий и организаций | 1,00 | 0,95 (C) | 1,01 | 1,07 (B) |
| І2 | Ввод в действие основных фондов | 0,91 | 1,14 | |||
| S | Si | Среднедушевые денежные доходы | 0,93 | 0,96 (C) | 1,14 | 1,07 (B) |
| Анали тиче- ские области (J) | Показатели | Статическая оценка | Динамическая оценка | |||
| ОП С Zij | средние ОПС по блокам (Zij) | ОП С | средние ОПС по блокам | |||
| S2 | Потребительские расходы в среднем на душу населения | 0,92 | 1,15 | |||
| S3 | Уровень занятости населения, в среднем за год | 1,00 | 1,00 | |||
| S4 | Реальные располагаемые денежные доходы по РФ, в % к предыдущему периоду | 1,00 | 0,99 | |||
| I | І3 | Инвестиции в основной капитал | 0,96 | 0,96 (C) | 1,14 | 1,14 (B) |
| S | S5 | Валовой региональный продукт, в текущих основных ценах | 0,93 | 0,96 (C) | 1,14 | 1,07 (B) |
| S6 | Численность занятых в экономике региона | 1,00 | 1,00 | |||
По каждому показателю в разрезе бшести аналитических областей может быть произведено сравнение текущего года с базисным годом, а также со средним (эталонным либо критическим) уровнем. Отклонение от среднего уровня будет свидетельствовать о положительных либо отрицательных тенденциях на макроуровне, все показатели подобраны таким образом, что их рост интерпретируется как положительная тенденция (рис. 4.6, рис. 4.7).
Рис. 4.6. Результаты статической оцен- Рис. 4.7. Результаты динамической
ки в разрезе показателей оценки в разрезе показателей
Средние значения ОПС и ОПД по каждой аналитической области позволяют идентифицировать характер кризисных процессов, сосредоточив дальнейшее
внимание аналитика на конкретных блоках, испытывающих максимальное давление на макроуровне. При этом значение текущего года может сравниваться со значением любого другого года, например одного из кризисных лет, либо со средним значением за весь период исследования с целью выявления сигналов ухудшения ситуации (рис. 4.8, рис. 4.9).
На основании проведенных расчетов можно сделать вывод о характере выявленных тенденций, так, например, из рис. 4.8 видно, что в отчетном году рыночные факторы, а также инвестиционные процессы существенно улучшились в сравнении со средним уровнем за период исследования, в то время как конъюнктура и состояние инфраструктуры ухудшились. Наихудшая динамика изменения
показателей также отмечается в блоке показателей инфраструктуры (I) (рис. 4.9).
Рис. 4.8. Результаты статической оценки в целом по аналитическим блокам в сравнении со средним
Рис. 4.9. Результаты динамической оценки в целом по аналитическим блокам в сравнении со средним уровнем
Реализуемая бизнес-модель должна учитывать прогнозную информацию, в этой связи в рамках KRISIS-анализа используется метод адаптивного прогнозирования для всех показателей в разрезе шести аналитических областей. Объем выборки данных при этом должен быть достаточен, но не избыточен, поскольку экономические и финансовые системы ввиду высокой волатильности могли претерпеть коренные изменения (в нашем случае выборка составила 10 лет, что примерно соответствует величине одного среднесрочного экономического цикла (цикл деловой активности Жюглара)). Это позволит скорректировать стратегию экономического субъекта с учетом прогнозируемых изменений во внешней среде (рис. 4.10, 4.11)
Рис. 4.10. Результаты прогнозирования статической оценки в целом по аналитическим блокам в сравнении на период 2017-2019 гг.
Рис. 4.11. Результаты прогнозирования динамической оценки в целом по аналитическим блокам в сравнении на период 2017-2019 гг.
На заключительном этапе оценки макроэкономических тенденций рассчитывается интегральный показатель статического и динамического KRISIS- анализа. Модель для оценки статического (динамического) состояния макроэкономических параметров экономики в рамках KRISIS-анализа с учетом весовых индексов для аналитических областей:
На основании профессионального суждения аналитика каждой аналитической области может быть присвоено весовое значение. Конечная оценка параметров статического и динамического развития производится согласно шкале (табл. 4.14).
Таблица 4.14 Шкала для оценки интегрального значения показателя
статического и динамического развития на макроуровне в рамках KRISIS-анализа