<<
>>

К

КАЛОРИЯ — единица количест­ва тепла. Различают большую и ма­лую К- Большая К. (ккал) — коли­чество тепла:, потребное для нагре­вания I кг воды от 19,5 до 20,5°С при нормальном атмосферном давле­нии; малая К.

(кал) — количество тепла, потребное для нагревания 1 г воды при тех же условиях.

КАЛОРИМЕТРИЧЕСКИЙ ШУ- ГОБАТОМЕТР — см. Шугобатометр.

КАМЕРАЛЬНЫЕ РАБОТЫ — работы, заключающиеся в обработке материала, нолученцого в результате полевых исследований или изысканий.

КАНАВА — искусственное русло, часто временное, предназначенное для отвода по нему вод.

КАНАЛИЗИРОВАННАЯ РЕКА— р,ека или ее участок, руслу которой искусственно придан вид канала; ка­нал, устроенный в русле реки.

KA НАЛЫ — искусственно созда­ваемые водные артерии, характери­зующиеся руслом правильной, обычно трапецеидальной формы. По назна­чению К. делятся на: энергетические, или гидросиловые, оросительные, осушительные, или дренажные, водо­подводные (обводнительные), лесо­сплавные, судоходные, рыбовод­ные.

Часто особенно крупные К. одно­временно выполняют несколько задач.

КАНЬОН — см. Долина реки.

КАПИЛЛЯРИМЕТР — прибор для определения объема по.р различ­ного диаметра по величине капил­лярных сил, действующих в порах почвогрунтов. При этом капиллярные силы оцениваются на основании из­мерения величин разряжения, под влиянием которых происходит отсос влаги из исследуемых образцов.

КАПИЛЛЯРНАЯ ВЛАГОЕМ­КО CTb — см. Влагоемкость почво- грунта.

КАПИЛЛЯРНАЯ ЗОНА —см.

Капиллярное поднятие и Капилляр­но-подвешенная влага.

КАПИЛЛЯРНАЯ СКВАЖ­НОСТЬ — наличие в горных породах капиллярных ,(по размеру) пор, про­межутков, трещин и других пустот.

КАПИЛЛЯРНОЕ ПОДНЯТИЕ— поднятие воды выше уровня грунто­вых вод по капиллярным промежут­кам под действием енл поверхностно­го натяжения. Зона выше уровня грунтовых вод, занятая водой, под­нятой капиллярными силами, назы­вается капиллярной зоной.

Высота К. п. обратно пропорциональна диа­метру капиллярных каналов и зави­сит от ряда других условий; при диа­метре зерен грунта больше 2—2,5 мм капиллярное поднятие воды практи­чески не происходит. Высота К. п. некоторых горных пород характери­зуется следующими значениями (см): Песок крупнозернистый 2,0—3,5

Песок среднезернистый 12,0—3,5

Песок мелкозернистый 35—120

Супесь.................................. 120—350

Суглинок ............................. 350—650

Глина мелкая .... 650—1200

КАПИЛЛЯРНО - ПОДВЕШЕН­НАЯ ВЛАГА — сплошное скопление свободной влаги в тонкопористых слоях почвы, подстилаемых слоями крупнопористыми. Удерживается ка­пиллярными силами. Передает гидро­статическое давление в пределах за- нимаемого ею пространства. Зона распространения К.-п. в. образует капиллярную зону. Наименование этой зоны капиллярной каймой в со­ответствии с ГОСТ 19179-73 (Гидро­логия суши, термины и определения) не допускается.

КАПИЛЛЯРНО-ПОД ВЕШЕН­НЫЕ ВОДЫ — воды, заключенные в тонких капиллярах горных пород, удерживаемые капиллярными силами и не имеющие связи с ниже распо­ложенными подземными водами.

КАПИЛЛЯРНЫЕ ВОДЫ —во­ды в капиллярных порах, трещинах и других пустотах горных пород.

КАПИЛЛЯРНЫЕ ВОЛНЫ—см. Ветровые волны и волновое движе­ние жидкости.

КАПИЛЛЯРНЫЕ ПОРЫ —не­большие трещины, канальцы и дру­гие пустоты с поперечным размером, условно принимаемым, заключаю­щимся в пределах 0,0002—1,0 мм для пор круглой формы и 0,0001—0,25 мм для трещин. Вода в К. п. перемеща­ется под действием капиллярных сил.

КАПИЛЛЯРНЫЕ СИЛЫ —си­лы поверхностного натяжения, про­являющиеся при наличии воды в тон­ких капиллярах. К. с. обусловлива­ют явление капиллярного поднятия воды в почве и растекание ее во все стороны при впитывании в почву.

КАПИЛЛЯРНЫЙ ГИСТЕРЕ­ЗИС — явление, выражающееся

в том, что в капиллярах переменного сечения (четочные капилляры) при подаче воды сверху образуется бо­лее мощный слой капиллярно-подве­шенной воды, чем при капиллярном подъеме снизу.

КАПТАЖ — устройства, позво­ляющие собирать и выводить под­земные воды на поверхность для их измерения или использования.

КАР — циркообразное углубле­ние, располагающееся в привершин-· ной части склонов гор, образовавше­еся под воздействием небольших лед­ников. Склоны К- с боков и сзади крутые, часто отвесные, с передней стороны К. открыт или имеет невы­сокий порог. Дно полого-вогнутое, часто занятое небольшим ледником, если К. деятельный, или иногда озе­ром, если к. реликтовый, выработан ный в ледниковое время.

КАРБОНАТНЫЕ МИНЕРАЛЬ­НЫЕ ОЗЕРА — озера, рапа, которых имеет устойчивое равновесие катио­нов Na+н Ca2+ и неустойчивое рав­новесие анионов, среди которых пре­обладает гидрокарбонатный ион. При низких температурах в таких озерак отлагается десятиводная сода (NaiCO3 · IOH3O), а в летние меся­цы—трона: минерал состава Na2CO3X X NaHCO3-2112O.

КАРРЫ — система борозд, раз­деленных узкими, заюстронными квер­ху полосами раздела, возникающая на склонах, образованных известня­ками или залежами соли в результа­те растворения их струями стекаю­щей воды. Борозды обычно неглубо­кие, чаще наблюдаются в местностях, лишенных растительности, в горах— ближе к снеговой ЛИНИН.

КАРСТ — комплекс своеобраз­ных форм рельефа поверхностной и подземной гидрографической сети, образованный в результате воздейст­вия движущейся воды на раствори­мые горные породы (известняки, до­ломиты, гипсы, соли). В районах, сложенных этими породами, под дей­ствием воды возникают характерные формы рельефа (воронки, котловины, провалы), появляются исчезающие реки и озера и образуется сложная система подземных полостей, пещер, каналов и т. п. К. оказывает боль­шое влияние на режим рек, обуслов­ливая более устойчивое питание рек в периоды маловодья и снижение половодий и паводков.

В качестве показателя активно­сти карстового процесса принимают отношение объема породы, выноси­мой в виде раствора подземными во­дами из рассматриваемой карстовой области, к общему объему карстую- щихся пород.

Зго отношение обычно выражается в процентах за некото­рый определенный, достаточно боль­шой (например, за тысячелетие) от­резок времени.

Количественной характеристикой развития карстового процесса явля­ется коэффициент закарстованности, представляющий собой отношение объема карстовых пустот к объему горной породы, содержащей эти пу­стоты.

См. также термокарст. карстовые воды — подзем­

ные воды трещин, каналов и каверн, возникающих в результате воздейст­вия -воды на растворимые породы.

КАРТА ДРЕНИРОВАНИЯ ПОД­ЗЕМНЫХ ВОД — карта, на которой условными обозначениями, примяты­ми в геологии, показ аяо, воды каких отложений (водоносных горизонтов или комплексов) с выделением их стратиграфической принадлежности принимают участие в подземном пи­танні и рек.

КАРТИРОВАНИЕ ЛЕДОВОЙ ОБСТАНОВКИ —составление при по­левых' обследованиях ледовой обста­новки на каком-либо водном объек­те схематического чертежа, характе­ризующего плановое распределение по акватории водной поверхности ле­дяных образований с указанием их форм (ледяные поля, торосы, нава­лы льда и пр.) К. л. о. в периоды замерзания и вскрытия производится один раз в 3—5 дней, а в случае значительного изменения обстанов­ки— ежедневно. Зарисовка распреде­ления льдов выполняется на специ­альных картах — бланкам. Осущест­вляется или с берега в пределах ви­димой части водоема в районе пункта наблюдения, или с самолета по за>- данным маршрутам.

КАРТЫ ГИДРОЛОГИЧЕСКИЕ— карты, характеризующие особенности режима, распределение по террито­рии, состав и количество поверхност­ных вод суши. На. К. г. могут быть показаны как непосредственно эле­менты водного, ледового, термическо­го режима, химического состава вод и твердого стока, так и некоторые параметры расчетных зависимостей, позволяющих оценивать изменение характеристик режима в рассматри­ваемый расчетный период. Наиболее известны карты слоя (модуля) сто­ка за .различные периоды времени, карты мутности воды рек, дат вскры­тия и замерзания, продолжительно­сти ледостава, химического состава природных вод и пр.

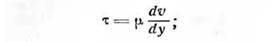
КАСАТЕЛЬНЫЕ НАПРЯЖЕ­НИЯ В ЖИДКОСТИ — внутренние силы, возникающие в жидкости, об­ладающей вязкостью, деформирую­щейся под действием внешних сил. Эти силы, рассчитанные на единицу площади, называют напряжениями.

В вязкой жидкости различают два рода внутренних напряжений: нормальное, представляющее собой проекцию общего напряжения на нормаль к поверхности, проведенной в рассматриваемой точке жидкости, и касательное напряжение, являю­щееся составляющей общего напря­жения, спроектированной на каса­тельную к указанной поверхности.

Касательное напряжение в движущемся турбулентном по­

токе жидкости складывается из двух составляющих:

1) напряжения, возникающе­го вследствие действия сил вяз­кости и выражаемого через гради­ент осредненной скорости

2) дополнительного напряже­ния, возникающего вследствие обмена количеством движения смежных слоев жидкости в про­цессе ее турбулентного перемеши­вания.

Эти дополнительные напряже­ния вызываются тем обстоятельст­вом, что массы жидкости, переноси­мые из одной области в другую, будут либо получать, либо терять некоторую величину количества движения. Если они получают ко­личество движения, переносясь в область повышенной скорости, они будут проявлять соответственную тормозящую силу, действующую на поток в этой области, и наоборот,

Таким образом, общее каса­тельное напряжение цри турбулент­ном режиме для случая равномер­ного, установившегося движения паївно

пропорционально градиенту скорос­ти, а значит и скорости потока,

так как при постоянстве эпюры скоростей градиенты скорости пря­мо пропорциональны средней ско рости потокаї.

При турбулентном движении C резко выраженным перемешиванием масс жидкости сильно возрастает второе слагаемое в выражении (*) по сравнению с первым, которым в этом случае можно пренебречь (за исключением зоны в непосредствен­ной близости к стенке, ограничиваю­щей поток, где градиенты скорости велики).

Это значит, что в турбу­лентном потоке касательные напря­жения пропорциональны квадрату средней скорости.

Наконец, в тех случаях, когда напряжения, обусловленные силами вязкости, соизмеримы с дополни­тельными напряжениями, общее ка­сательное напряжение будет пропор­ционально средней скорости в сте­пени, заключенной в пределах 1—2.

В равномерном потоке К. н. в. ж. на дне (τ0 обычно в кг/м2) рав­но

где g — ускорение свободного паде­ния; h—средняя глубина потока; і — гидравлический уклон.

См. также вязкость жидкости.

КАТАРАКТЫ — в физической географии крупные водопады, на которых большая масса воды низ­вергается фронтом с относительно небольшой высоты.

КАТАСТРОФИЧЕСКИЙ ПА­ВОДОК — в водохозяйственных и гидрологических расчетах выдаю­щийся по величине паводок (поло­водье) ,редкой повторяемости, на пропуск которого рассчитываются водосбросные отверстия гидротехни­ческих сооружений.

КАТИОНИТ — ионит, способный к обмену катионов, которыми за­ряжен при регенерации, на катио­ны, находящиеся в воде.

КАТИОНЫ — положительно заряженные ионы.

КВАДРИЛЬЯНА ■— в настоя­щее время малоупотребительный в гидрологии термин для обозначе­ния величин, имеющих обеспечен­ность 25% (верхняя К.) и 75% (нижняя К.) в ряду характе­ристик гидрологического режима.

КВАНТИЛЬ — одна из число­вых характеристик случайной вели­чины, применяемая в математичес­кой статистике. Квантиль Ко,5 есть медиана случайной величины. Кван­тили Ко,ад и Ко,75 называют кварти­лями, а квантили Κο,ι Ко,2, - ■ -, Ко.э — децилями. Квартили нормаль­ного распределения равны: Ко,25= = — 0,67; Kc75 = 0,67.

КИНЕМАТИЧЕСКИЙ КОЭФ­ФИЦИЕНТ ВЯЗКОСТИ (ν) —част­ное от деления (динамического) коэффициента вязкости (μ) на плотность жидкости (р), размер­ность м2/с.

См. также вязкость жидкости.

КИНЕМАТИЧЕСКИЙ ЭФФЕКТ БЕЗНАПОРНОГО ПОТОКА —

уменьшение скоростей течения во­ды в русле при выходе потока на пойму, несмотря на возрастание глубин. Рассматривается как след­ствие торможения потока со сторо­ны зоны раздела,, характеризующей­ся повышенной турбулизацией,

КИСЛОЕ БРОЖЕНИЕ ИЛА— стадия загнивания, сопровождающе­гося образованием органических кислот, выделением аммиака, серо­водорода и двуокиси углерода.

КИСЛОТНОСТЬ воды — свойство, которое приобретает вода при появлении, в ней ионов водо­рода, (H+) в количестве, превы­шающем IXlO-7 грамм-ионов на 1л. Чем больше в воде концентрация водородных ионов, тем она кислее и менее благоприятна для водных организмов. К. в. вызывается со­держанием веществ, диссоциирую­щихся в растворе с образованием ноиа водорода, например,

К- в, в природных вода« опре­деляется обычно наличием свобод­ной угольной, гуминной и сер­ной кислот.

Воды, обладающие свойством кислотности, называются кислыми.

См. также концентрация водо­родных ионов (pH) в воде.

КЛАССИФИКАЦИЯ БОЛОТ —

см. Типы болот.

КЛАССИФИКАЦИЯ ЛЕДНИ­КОВ — деление ледников на типы осуществляется обычно по призна­ку условий их залегания по отно­шению к рельефу местности H в зависимости от условий питания. От собственно горных и долинных ледников отличают материковые ледники (ледниковые щиты и купо­ла), представляющие собой сплош­ной ледяной покров большой МОЩ­НОСТИ', залегающий независимо от рельефа покрываемой территории. Такие материковые ледники, пред­ставляющие собой сложные ледни­ковые комплексы, распространены в арктических и антарктических об­ластях; концы их, спускаясь в мо­ре, дают ,начало ледяным плавучим горам — айсбергам. Среди горных и долинных ледников выделяют: 1) ледники горных склонов; 2) до­линные ледники; 3) ледники гор­ных вершин; 4) сложные леднико­вые комплексы.

1. Ледники, возникающие на склонах горных хребтов, бывают типа висячих, не приуроченных к каким-либо резко выраженным по­нижениям рельефа,, и типа каро­вых, или мульдовых, занимающих на склонах нишеобразные углубле­ния с крутыми стенками и плоским дном.

2. Долинные ледники, состоя­щие из одной не разветвленной массы, называются простыми, нлн ледниками альпийского типа. Среди простых ледников выделяют осо­бый тип, названный туркестанским; формирование ледяного материала у ледников этого типа происходит главным образом за счет смежных лавин. Среди сложных долинных ледников выделяют древовидный тип, образующийся в условиях обильного питания и характеризую­щийся наличием нескольких ответ­влений в форме боковых ледников, спускающихся в главную долину. К разновидностям долинных ледни­ков принадлежат ледники висячих долин и асимметричные ледники. Первые частично или полностью за­полняют висячие долины. Асиммет­ричные ледники представляют со­бой остатки сложных ледников, у которых исчезли все ветви, кроме одной.

3. Среди ледников горных вер­шин особую категорию составляют переметные ледники, расположен­ные на Двух противоположных склонах горного хребта и соединя­ющиеся своими верхними частями на седловине этого хребта. В тех случаях, когда гребни гор имеют обширные, относительно горизон­тальные площадки, ледники, при соответствующих условиях разви­вающиеся на них, иазыпают ледни­ками горных вершин.

Особый морфологический TH п оледенения составляют ледники вулканического конуса. Для слабо- расчлененных нагорий, имеющих характер массивов с волнистой по­верхностью, характерны ледники скандинавского нли норвежского типа. Горные ледники, обладающие самостоятельными бассейнами пита­ния и текущие в горах в виде от­дельных массивов, при выходе на равнину могут сливаться концами своих языков в довольно обшир­ный ледяной щит, который называ­ется ледником горных подножий, нли предгорным ледником.

КЛАССИФИКАЦИЯ ОЗЕРНЫХ КОТЛОВИН — разделение озер­ных котловин на группы в зависи­мости от их строения, причин об­разования или по каким-либо дру­гим признакам. В зависимости от действия той или иной группы фак­торов озерные котловины (по М. А. Первухину) можно разделить на возникающие под действием внутрен­них (эндогенных) и внешних (эк­зогенных) процессов. Среди озер­ных котловин, возникающих под действием внутриземных процессов, различают тектонические и вулкани­ческие, возникающие под дейст­вием внешних процессов, протекаю­щих на земной поверхности, делят на гидрогенные, гляциогенные (си­ноним: ледниковые), эоловые, орга­ногенные и антропогенные.

К группе гидрогенных относят­ся озерные котловины, образован­ные в условиях преобладающего воздействия вод речных, подземных или морских. Сюда относятся пой­менные, карстовые, термокарстовые, суффозионные озера и лагуны.

Гляциогенные котловины обра­зованы действием ледника; сюда относятся, в частности, моренные и карровые озера.

Эоловые понижения возникают под действием ветра.

К органогенным относятся вто­ричные озера, возникающие на бо­лотах.

К категории антропогенных озер относятся водоемы, создан- иые деятельностью человека. Целе­сообразно в этом случае применять термин водохранилище.

Существует ряд и иных класси­фикаций. К- о. к. одновременно яв ляется и классификацией озер по характеру их котловин.

Б. Б. Богословский несколько видоизменил классификацию Перву­хина и выделил следующие типы озерных котловин: 1) тектоничес­кие; 2) ледниковые, среди которых различают эрозионные и аккумуля­тивные; 3) водноэрозионные и вод­ноаккумулятивные, к этому типу относятся: старицы, плёсовые озе­ра, дельтовые озера, лагунные и ли­манные озера, фиордовые озера; 4) провальные, сюда относятся: карсто­вые, проса дочные (суффозионные), тер мока ротовые; 5) вулканические; 6) завальные; 7) эоловые; 8) вторич­ные, возникающие на месте заросших озер и на болотах.

КЛАССИФИКАЦИЯ ПОД­ЗЕМНЫХ ВОД ОБЛАСТИ МНОГО­ЛЕТНЕЙ МЕРЗЛОТЫ — выделение природных вод, режим которых формируется под воздействием мно­голетнемерзлых пород. Различают:

1. H ад мерзлотные воды, содер­жащиеся в талых породах над зо­ной многолетней мерзлоты. Среди них выделяют воды: а) деятельного слоя, б) многолетних несквозных таликов (подрусловых, подозерных и так называемой иесливающейся мерзлоты).

2. Воды таликов, содержащиеся в сквозных таликах, ограниченных мерзлыми породами с боков.

3. Подмерзлотные воды, распо­лагающиеся в толще водоносного горизонта, залегающего под зоной мноюлетней мерзлоты.

4. Межмерзлотные воды, со­держащиеся в талых породах, за­ключенных между горизонтами многолетнемерзлых пород.

5. Внутримерзлотные воды, со­держащиеся в талых породах, со всех сторон, ограниченных миого- летнемерзлыми породами.

КЛАССИФИКАЦИЯ ПРИ­РОДНЫХ ВОД ПО ИХ ГИДРО­ХИМИЧЕСКИМ СВОЙСТВАМ — см. Гидрохимическая классифика­ция природных вод.

КЛАССИФИКАЦИЯ РЕК — распределение рек на классы или группы по наиболее существенным их признакам. Существует К. р. но их водности, внутригодовому рас­пределению, источникам питания, длине ірек, по устойчивости русла, температуре воды, ледовому режи­му, химическому составу вод и т. д.

Наиболее раїнней классификаци­ей, получившей широкое распрост­ранение и еще сохранившей неко­торое значение до настоящего вре­мени, является классификация Л. И. Воейкова. В основе К. р. Воейкова лежит положение о тесной зависи­мости режима рек от климатичес­ких условий. Поэтому К. р. Воей­кова называют климатической, В зависимости от климатических осо­бенностей различных районов Воей­ков выделил девять типов рек.

К. р. Б. Д. Зайкова основана на анализе внутригодового режима расходов и создана применительно к природным условиям СССР. Все реки СССР, исключая искусственно или природно сильно зарегулиро­ванные, Зайков делит на следую­щие три основные группы: 1) реки с весенним половодьем; 2) реки с половодьем в теплую часть года;

3) реки с паводочным режимом. В зависимости от характера поло­водья и ,режима расходов в осталь­ную часть года реки первой группы разделены на пять типов (казах­станский, восточноевропейский, за­падносибирский, восточносибирский и алтайский). Вторая группа делится на дальневосточный и тянь-шаньский, а третья группа делится на причер­номорский, крымский и 'северокавкав- ский типы водного режимаї.

Имеются и другие К. р. ПО вод­ному режиму. Например, П. С. Ку­зин выделяет следующие типы рек: ]) с половодьем; 2) с половодьем и паводками; 3) с паводками. Пер­вый тип в зависимости от времени поступления определяющей его фазы режима (половодья) делят на три подтипа, второй на семь под­типов и третий на четыре подтипа. Дальнейшее деление рек в класси­фикации Кузина осушествляется в направлении установления зон рас­пространения выделенных им типов.

К. P- по степени устойчивости русла и характеру развития русло­вого процесса предложены М. А. Великановым, H. Е. Кондратьевым,

К. И. Pocciiiickhm, И. А. Кузьминым, С. Т. Алтуниным и др.

Гидрохимическая К- р. дана О. А. Алехиным

КЛАССИФИКАЦИЯ РЕК ВЕ­ЛИКАНОВА — деление рек по ус­тойчивости русла.

1. Устойчивые реки, протекаю­щие в относительно неразмывае- мых грунтах или обладающие энер­гией, недостаточной для существен­ного размыва русла (например, р. Енисей).

2. Сравнительно устойчивые ре­ки, русла которых подвергаются периодическим изменениям на от­дельных участках, причем величи­на весеннего наращивания перека­тов приблизительно равна величине их меженного углубления; очерта­ния русла колеблются около неко­торого среднего значения (напри­мер, р. Волга).

3. Малоустойчивые реки, в которых размыв и отложения вы­зывают изменения глубин русла без заметного изменения очертаний русла рек в плане. Углубления и отложения наносов происходят неупорядоченно, то в одних, то в других местах; расположение и очертание перекатов ежегодно ме­няются (например, р. Висла).

4. Реки наименьшей устойчи­вости с большими скоростями тече­ния, протекающие в легко размы­ваемых грунтах. Паводок изменяет не только глубины, но часто и очертание русла, образуя протоки по новым направлениям (напри­мер, р. Амударья).

5. Реки, у которых русла в период паводков полностью утра­чивают первоначальные очертания и образуется единый поток воды и наносов, относительно которого по­нятие морфологических элементов русла утрачивают свой смысл. Сю­да относятся селевые потоки.

КЛАССИФИКАЦИЯ РЕК ВО­ЕЙКОВА — разделение рек зем­ного шара по характеру колебания водности внутри года, в зависимости от климатических условий. А. И. Воейков выделил следующие типы рек в зависимости ст условий об­водненности территории.

1, Реки, получающие воду от таяния снега на равнинах и на не­высоких горах (до IOOO м).

2. Реки, получающие воду от таяпия снега в горах.

3. Реки, получающие воду от дождей и имеющие половодье в летнее время.

4. Половодье является следст­вием таяния снега весной или в на­чале лета, причем, однако, значи­тельная часть воды рек доставляет­ся дождями.

5. .Вода поступает в реки в результате дождей; подъемы воды в холодные месяцы года, но пра­вильное периодическое изменение невелико.

6. Вода поступает в реки в результате дождей; подъемы воды выше в холодное время года, чем летом, и разница значительна.

7. Отсутствие рек и вообще по­стоянных .водотоков вследствие су­хости климата·.

8. Вода поступает в результате дождей, но дождевое время очень коротко.

9. Страны без рек вследствие того, что они покрыты снегом и ледниками.

КЛАССИФИКАЦИЯ РЕК ЗАЙ­КОВА — распределение рек на груп­пы в зависимости от особенностей внутригодового распределения стока.

A. Реки с весенним половодьем.

Б. Реки с половодьем в теплую

часть года.

B. Реки с паводочным .режимом.

Группа А в свою очередь вклю­чает пять типов.

1. Казахстанский, характери­зуется исключительно резкой и вы­сокой волной половодья и низким, до полного пересыхания рек, сто­ком в остальное время года.

2. Восточноевропейский, име­ет высокое половодье, низкую лет­нюю и зимнюю межени и повышен­ный сток осенью.

3. Западносибирский, имеет не­высокое, растянутое и сглаженное половодье, повышенный летне-осен­ний сток и низкую зимнюю межень.

4. Восточносибирский, отлича­ется высоким весенним половодьем, систем этическими летне-осенними паводками и очень низким стоком зимой.

5. Алтайский, характеризует­ся невысоким, растянутым, гребен­чатого вида весенним половодьем, повышенным летним стоком и низ­ким стоком зимой

Группа Б делится па два типа.

1. Дальневосточный, имеет не­высокое, сильно растянутое, гребен­чатого вида половодье в летне- осенний период и низкий, вплоть до полного истощения запасов грунтовых вод и промерзания рек, сток в холодную часть года.

2. Тянь-шаньский, отличается от дальневосточного типа меньшей амплитудой основной волны поло­водья и налагающихся на нее вто­ростепенных волн и обеспеченным стоком в холодную часть года.

Группа В включает три типа.

1. Причерноморский, имеет па- водочный режим в течение всего года.

2. Крымский, характеризуется также паводочным режимом, ио, в отличие от причерноморского, име­ет ясно выраженный летний и лет­не-осенний периоды, в течение кото­рых паводки встречаются редко и устанавливается межень, а некото­рые реки в это время года даже пе­ресыхают.

3. Северокавказский, характери­зуется паводочным режимом в теп­лую и устойчивой меженью в холод­ную части года.

КЛАССИФИКАЦИЯ РЕК

ЛЬВОВИЧА — классификация, осно­ванная на анализе источников пита­ния и внутригодового распределе­ния стока.

По классификации по источни­кам питания (снеговое, дождевое, ледниковое « грунтовое) реки (иск­лючая ледниковое питание) отно­сятся к типу смешанного питания, если каждый источник питания со­ставляет менее 50%; в тех случаях, когда один из источников питаїния превышает 50%, он принимается как определяющий основной классифи­кационный признак. Реки, у которых снеговое или дождевое питание пре­вышает 80%, относятся к группе исключительно снегового или дожде­вого питания. Река относится к кате­гории исключительно ледникового пи­тания, если оно составляет более 50%, и к категории преимуществен­но ледникового питаяия, если ледни­ковое питание превышает 25%.

К- р. Л. по внутригодовому распределению стока, основана на

Схема распределения отдельных групп и типов внутригодового режима рек СССР.

1 — группа I: реки с весенним половодьем; 2 — группа II: реки с половодьем в теплую часть года; 3 — группа II

реки с паводочным режимом; 4 — районы типов рек.

Схема классификации рек СССР по источникам питания (по М. И. Львовичу).

/ — C — реки снегового питания (снеговое >80%, остальные источники 50%); 5 — Д— реки дождевого питания (дождевое >80%, остальные источники 50%); 5—са — реки смешанного питания с преобладанием снегового; 6 — да— реки смешанного питання с преобладанием дождевого; 7 — ла — реки смешанного питания с преоблада­

нием ледникового; 8 — гс — реки смешанного питания с преобладанием грунтового.

одинаковом для всех рек делении года па сезоны: весна (март — май); лето (нюнь — август); осень (сен­тябрь — ноябрь); зима (декабрь —· февраль).

КЛАССИФИКАЦИЯ РЕК ОГИ- ЕВСКОГО — классификация, осно­ванная на учете основных гидрогра­фических характеристик и особен­ностей режима рек.

I. Геометрические характеристики бассейна:

4) средние реки 100—1000,

5) большие реки 1000—10000,

6) очень большие реки,

расходы больше 10000.

2. По преимущественному распределению стока в году:

1) зарегулированные,

2) незарегулированные,

3) средние по зарегулированное™,

4) пересыхающие.

3. По характеристикам колебаний стока в году:

1) беспаводочные,

2) паводочные.

4. По климатическим условиям питания:

1) ледниковые,

2) снеговые,

3) дождевые,

4) снего-ледниковые,

5) снего-дождевые,

6) снего-ледниково-дождевые,

7) дождевое, перемежающееся.

IV. Характеристики течения реки

1. Уклоны:

1) малые, менее 0,00005,

2) средние, в пределах

0,00005—0,0005,

3) большие, в пределах

0,0005—0,005,

4) очень большие, более 0,005.

2. Устойчивость русла:

1) наименьшая,

2) малая,

3) местная периодическая неустой­чивость,

4) большая (ус.'ойч· вые русла).

КЛАССИФИКАЦИЯ ФОРМ ПОЧВЕННОЙ ВЛАГИ —см. Формы и виды почвенной влаги.

КЛЕТЧАТКА ВЕРОЯТНО­

СТЕЙ —Специальные клетчатки с прямоугольной системой координат, построенные таким образом, что на них спрямляются (полностью или частично) различные кривые обеспе­ченности, что облегчает их экстрапо­ляцию в область, не освещенную данными наблюдений. Различают: а) К. в. для кривых с умеренной асимметричностью; б) К. в. для кри­вых со значительной асимметрич­ностью.

На клетчатке первого вида в прямую трансформируется только нормальная кривая обеспеченности, поэтому наименование се К. в. с уме­ренной асимметричностью нс яв­ляется ТОЧНОЙ'. Оно возникло вслед­ствие того, что эта клетчатка иногда применяется для выравнивания (не полного) не только нормального за­кона распределения, ио других (не сильно асимметричных) кривых обеспеченности. Среди второго типа можно выделить клетчатки: 1) ло- гарифмически-иормального распреде­ления; 2) асимметричной частоты (с использованием уравнения Гудри­ча); 3) трехпараметрического гаммаї- распределения при различных соот­ношениях коэффициентов вариации (Cr) и асимметрии (Cs). В частности, при условии Cs=ZCv получим клет­чатку Бровковнча.

КЛИМАТ — многолетний режим погоды, характерный для данной местности в силу ее географического положения. К. относительно не из­менен за различные многолетние пе­риоды времени, но подвергается ко­ренным изменениям на протяжении геологических эпох. Относительная устойчивость К. за· многолетние пе­риоды не исключает возможности более или менее существенных его колебаний в историческое время.

КЛИМАТИЧЕСКАЯ СНЕГОВАЯ ЛИНИЯ — см. Снеговая линия.

КЛИМАТИЧЕСКИЙ СТОК— условный' термин, иногда используе­мый для -обозначения величины среднего многолетнего стока (у), определяемого как разность средних многолетних величин осадков (х) и испарения (г). Установленная таким образом величина определяется кли­матическими условиями, а отклоне­ния фактического стока от климати­ческого характеризуют влияние про­чих (кроме климатических) физико- географических факторов на сток. Очевидно, что указанное определение величины стока возможно для водо­сборов, у которых выполняется урав­нение водного баланса в виде у=х—г; точность такого определения невели­ка и зависит прежде всего от точ­ности примеров, используемых для вычисления среднего многолетнего значения испарения с поверхности речных водосборов.

КЛИФФ — береговой уступ, ключ — то же, что родник. КОАГУЛИРОВАНИЕ ВОДЫ—

обработка воды реагентами, приво- 128 дящая к коагуляции содержащихся в ней примесей (коллоидных взве­сей) с целью ускорения их осажде­ния или улучшения процесса задер­жания фильтрами.

КОДЫ ДЛЯ ПЕРЕДАЧИ ГИД­РОЛОГИЧЕСКИХ ТЕЛЕГРАММ — специальные шифры, используемые для передачи гидрологической ин­формации. Применяются при пере­даче телеграмм с данными наблюде­ний на реках и озерах, измерений снежного покрова и при передаче прогнозов.

Синоним; коды гидрологические.

КОЛОРИМЕТРИЧЕСКИМ МЕ­ТОД — определение количества ве­щества, содержащегося в растворе, по интенсивности окраски продуктов химических реакций, образуемых дан­ным веществом при добавлении ре­актива, способного вызвать окраску. К- м. в гидрохимии применяется очень широко, например, для опреде­ления концентрации ионов водорода, нитратов, нитритов, фосфатов, желе­за- и др.; в гидрометрии (хотя и сравнительно редко) для определения расхода воды способом смешения.

КОЛЬМАТАЦИЯ — заполнение п-ор грунтов (в частности, песков) мелкими частицами, например гли­нами, вносимыми водой в процессе ее фильтрации через грунт. Явление К. используется как способ борьбы с фильтрацией воды из каналов и через плотины искусственного запол­нения пор частицами глины, иногда с добавлением некоторых химиче­ских -веществ.

КОМПЕНСАЦИОННОЕ ТЕЧЕ­НИЕ — течение, замыкающее другое течение, вызванное воздействием ка­кого-либо фактора на часть водных масс потока или водоема и привед­шее к нарушению гравитационного равновесия. К. т. направлено на вос­становление этого равновесия. При­мерами компенсационных течений являются следующие: К. т., возни­кающее при сгонно-нагонных явлени­ях; оно восполняет убыль воды на участке сгона и направлено в сторо­ну образовавшегося уклона водной поверхности и противоположную дрейфовому течению. К. Т. донное на закруглении речного потока на­правлено в сторону поперечного ук­лона и замыка-ет поперечное течение у поверхности, вызванное цен-

тробежной силой. К. т. возникает при течениях, связанных с плотност­ной неоднородностью водных масс. К. т. называют и течение в водое­мах, восполняющее убыль воды в зо­нах интенсивного испарения.

КОМПЛЕКСНОЕ ИСПОЛЬЗО­ВАНИЕ ВОДНЫХ РЕСУРСОВ — использование водных ресурсов для удовлетворения потребностей ряда отраслей народного хозяйства, явля­ющихся как водопользователями, так и водопотребителями, с учетом перспективы развития этих отраслей.

КОМПОНЕНТНАЯ ГИДРОМЕТ­РИЧЕСКАЯ ВЕРТУШКА—см. Ком­понентный винт гидрометрической вертушки.

КОМПОНЕНТНЫЙ ВИНТ ГИ­ДРОМЕТРИЧЕСКОЙ ВЕРТУШКИ—

винт, геометрические размеры кото­рого устанавливаются таким обра- разом, чтобы гидрометрическая вер­тушка·, снабженная им и жестко за­крепленная в потоке перпендикуляр­но к площади живого сечения, изме­ряла проекцию (компоненту) скоро­сти на ось прибора. В этом случае прибор фиксирует истинную перенос­ную скорость в точке измерения, что позволяет не вводить дополнитель­ную поправку на косину струй. Ги­дрометрические вертушки, снабжен­ные К. в., называют компонентными.

КОМПРЕССИОННЫЕ КРИ­ВЫЕ — графическое изображение изменения пористости (или влажно­сти) горных пород под действием нагрузок, вызывающих сжатие гор­ной породы. Различают ветвь К. K-,

Компрессионные кривые.

1 — кривая уплотнения, 2 — кривая

набухания.

соответствующую возрастанию на·- грузок на груп г (кривая уплотне­ния— осадки), и ветвь, соответст­вующую разгрузке (кривая набуха­ния). Эти ветви К- К. не совпадают, так как п,ри сжатии грунта возника­ют остаточные деформации.

КОНВЕКЦИОННОЕ УСКОРЕ­НИЕ — см. Ускорение частиц жид­кости.

КОНВЕКЦИЯ — процесс перено­са тепла· вместе с движущимися частицами среды (воды или возду­ха). Различают свободную, или тер­мическую К·, ДЛЯ которой основной силой, вызывающей движение возду­ха (воды), является подъемная ар­химедова сила, обусловленная раз­ностью (градиентом) температур, и вынужденную К., обусловленную большими скоростями движения сре­ды при относительно небольших раз­ностях температуры.

КОНДЕНСАЦИОННАЯ ТЕОРИЯ ПРОИСХОЖДЕНИЯ ПОДЗЕМНЫХ ВОД — теория, согласно которой подземные воды возникли и возоб­новляются за счет конденсации во­дяных паров, проникающих в зону коры выветривания из атмосферы. Представления об исключительной ро­ли конденсации водяных паров в пов­семестном образовании подземных нод современными исследованиями' не подтверждаются. Подземные воды формируются в результате совмест­ного действия проникновения в зону коры выветривания жидкой и паро­образной воды. При этом относитель­но высокая роль конденсационной влаги в образовании подземных вод отмечается в засушливых, полупу­стынных и пустынных областях.

КОНДЕНСАЦИЯ — переход во­дяного пара в жидкое состояние. К. происходит в атмосфере, на поверх­ности земли и воды, внутри горных пород, на поверхности растительно­сти и различных предметов. Процесс, обратный испарению.

КОНСЕКВЕНТНЫЕ РЕКИ— см. Геоморфологическая классифика­ция рек.

КОНСТИТУЦИОННАЯ ВОДА—

см. Химически связанная вода.

КОНТРОЛЬНОЕ РУСЛО —рус­ло, в котором путем его облицовки или устройства низконапорных не­больших плотин создаются более благоприятные условия для измере­ния расходов воды; сооружениями, обеспечивающими повышение точно­сти измерений, являются «порог· контроль», «донный контроль» и др.

S Заказ № 630

129·

См. также донный контроль.

КОНТРОЛЬНЫЕ СНЕГОСЪЕМ- KH — см. Снегомерная съемка.

КОНУС ВЫНОСА —форма ре­льефа, образованная скоплением про­дуктов разрушения почв и горных пород в устье оврагов, рек, времен­ных потоков. К. в. возникают на предгорной равнине, котловине, или в главной речной- долине, в местах выхода из гор потоков, выносящих в период паводков в большом коли­честве продукты разрушения горных пород. К. в. имеет характерную фор­му слабовыпуклого полуконуса,, рас­ширяющегося по мере выхода в ту долину, в которую впадает образую­щий его поток.

КОНЦЕНТРАЦИЯ ВОДОРОД­НЫХ ИОНОВ (pH) В ВОДЕ —

содержание водородных -ионов в ра­створе, выраженное в грамм-ионах на литр раствора. Если в воде при 22°С содержится IO-7 г/л ионов во­дорода (H+), то она будет обладать нейтральной реакцией; при меньшем содержании H+ реакция будет ще­лочной, при большем — кислотной. К. в. и. принято выражать условно символом pH, обозначающим отри­цательный логарифм числа, ее харак­теризующего.

Таким образом, при рН=7 ре­акция воды нейтральна, pH 7—щелочная.

КОНЦЕНТРАЦИЯ ЗАГРЯЗНЕ­НИЙ В СТОЧНЫХ ВОДАХ — коли­чество вещества загрязнений, содер­жащихся в 1 л сточных вод.

КОРА ВЫВЕТРИВАНИЯ—слой рыхлых горных пород в верхней час­ти земной коры (литосферы), обра­зовавшийся за счет разрушения и преобразования первичных торных пород под воздействием физических, химических и биологических процес­сов.

а КОРЕННОЙ БЕРЕГ РЕКИ —

склон долины, непосредственно ог­раничивающий русло реки «а участ­ках, где она не имеет поймы.

КОРРАЗИЯ — механическое воз­действие переносимого ветром, водой или льдом обломочного материала на гарные породы, приводящее к обра­зованию на нх поверхностях ячеис­той структуры, борозд, ложбин и других углублений.

КОРРЕКТИВ КИНЕТИЧЕСКОЙ ЭНЕРГИИ —безразмерная величина, равная отношению кинетической энер­гии массы жидкости, протекающей за некоторый отрезок времени через данное плоское живое сечение, к ус­ловной кинетической энергии той же массы жидкости, рассчитанной в предположении, что во всех точ­ках рассматриваемого живого сече­ния величины скорости одинаковы и равны средней скорости и, т. е. ве­личине где и — действительная скорость в разных точках живого сечения; ω — площадь живого сечения. При равномерном движении жидкости а» 1,104-1,15.

Коэффициент а часто называют коэффициентом Кориолиса. Этот ко­эффициент входит в уравнение Бер­нулли.

КОРРЕКТИВ КОЛИЧЕСТВА ДВИЖЕНИЯ — безразмерная вели­чина, равнаїя отношению количества движения массы жидкости, протека­ющей за некоторый отрезок времени через данное плоское живое сече­ние, к условному количеству движе­ния той же массы жидкости, под­считанной в предположении, что во всех точках рассматриваемого жи­вого сечения величины скорости одинаковы и равны средней скоро­сти V, т. е.

где и — действительная скорость в различных точках живого сечения; ω — площадь живого сечения.

При равномерном движении жидкости ао«1,03-5-1,05. Коэффици­ент Go часто называют коэффициен­том Буссинеска.

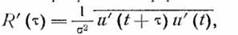
КОРРЕЛЯЦИОННАЯ (АВТО­КОРРЕЛЯЦИОННАЯ) ФУНК­ЦИЯ — статистический параметр

случайного процесса, характеризую­щий пространственную или времен­ную внутреннюю * связь совокупности случайных событий, образующих этот процесс. Конкретным выраже­нием к. ф. является зависимость, характеризующая изменение коэф­фициента корреляции (нормирован­ной К. ф.) между значениями слу­чайных величин, образующих веро­ятностный процесс, при различных сдвигах во времени τ (или расстоя­ние /) между ними.

Временная К. ф- какого-либо параметра гидрологического режима (ы), совокупность значений которого рассматривается как случайный про­цесс, представляет собой математи­ческое ожидание (среднее значение) П DOm4ir р примет

или в нормированной форме

где

— отклонения рассматриваемой ве­личины и от среднего значения и соответственно в моменты времени /+τ и t; о-—среднее квадратическое отклонение ряда величии, образую­щих случайный процесс. Аналогично определяется и пространствен­ная К. ф.

Примером К- ф. является гра­фик изменения величины коэффици­ента корреляции между значениями продольных (или иных) составляю­щих скорости течения воды в потоке в одной точке, но для различных моментов времени или в один и тот же момент времени, но при различ­ном расстоянии между рассматри­ваемыми точками.

реализаций процесса на его значення в будущем.

КОРРЕЛЯЦИОННОЕ ОТНО­ШЕНИЕ (р) — мера тесноты связи двух переменных в случае нелиней­ной зависимости между ними; 1\. о. определяется отношением где о'у — условное среднее квадрати­ческое отклонение эмпирических то­чек от кривой регрессии, или в слу­чае использования этого выражения для оценки прогнозов — средняя квадратическая ошибка поверочных прогнозов; оу— среднее квадратиче­ское отклонение членов ряда от его нормы.

По смыслу К. о. аналогично коэффициенту корреляции (г), отли­чаясь от него в двух отношениях: 1) для данной совокупности значе­ний хну имеется только одно зна­чение г, в то время как значений К. о. может быть несколько в зави­симости от того, какая кривая при­нята в качестве отвечающей рас­сматриваемой зависимости. Поэтому К. о. имеет смысл лишь примени­тельно к этой кривой, которая по­добрана в соответствии с эмпири­ческими данными; 2) коэффициент корреляции г для совокупности зна­чений х и у не зависит от того, ка­кая из этих переменных принята за независимую, в то время как вели­чина р в зависимости от этого будет различной. Поэтому обычно р отли­чают индексом, например р^, чтобы показать, какая из переменных при­нята за функцию.

Синоним: индекс корреляции.

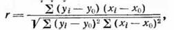
КОРРЕЛЯЦИЯ — способ выяв­ления статистических связей между несколькими (обычно двумя) пере­менными величинами. Под стати­стическими связями при этом пони­мают такие, в которых каждому зна­чению одной величины соответствует несколько значений· другой, но число этих значений и их величины остают­ся не вполне определенными.

Мерой тесноты связи между рассматриваемыми величинами слу­жит коэффициент корреляции, выра­жаемый Формулой где Xo и Уо — среднеарифметические значения членов каждого ряда (на­пример, среднеарифметические зна­чения осадков х и стока у за ряд лег); Xi и ус—соответственные зна­чения членов рассматриваемых ря­дов.

Значения г колеблются от —1 до 1 Чем ближе к единице, тем связь величин теснее В пределе при связь получаетси функцио­нальной. Корреляционная зависи­мость двух величин выражается уравнением регрессии, имеющим вид;

где г, Xn и уо имеют прежнее значе­ние; X и у — искомые значения вели­чин (при заданном соответственно значении у или х); σχ и Oii— средне­квадратическое отклонение (см. дисперсия).

Приведенные формулы примени­мы при условии, когда связь между изучаемыми явленнями прямолиней­ная (прямолинейная корреляция). Иногда корреляционные связи выра­жаются уравнением не прямой ли­нии, а кривой (криволинейная К). Способ криволинейной К. громоздок и потому нередко аналитические рас­четы заменяют графическими связя­ми между рассматриваемыми вели­чинами.

КОРРОЗИЯ — раерушение по­верхности пород под влиянием раст­воряющего действия воды; при этом вода, обогащенная двуокисью угле­рода (СОг), особенно сильно дейст­вует на известняки, образуя в местах их распространения карровую по­верхность.

См. Карры.

КОРЫТООБРАЗНАЯ ДОЛИ­НА — см. Долина реки.

КОСЫЕ ГАЛСЫ — 1. Способ распределения профилей при произ­водстве съемки речного русла. Ка­тер, с которого ведется промер, не­прерывно перемещается от берега к. берегу под «екоторым острым углом к фарватеру. Способ К. г. приме­няется на съемках широких рек, ког­да в интересах быстроты работы можно поступиться точностью изоб­ражения рельефа русла. 2. Способ измерения расхода воды реки, осно- вамный на том предположении, что тело (например, лодка), движущееся

Схема косых галсов.

с заданной равномерной скоростью в направлении, перпендикулярном противоположному берегу, будет при достижении его снесено течением на некоторое расстояние, которое из­вестным образом зависит от соотно­шения осредненной по ширине реки скорости течения поверхностных струй н скорости движения тела. Опреде­лив из этого соотношения названную скорость течения и задаваясь неко­торым коэффициентом, можно вы­числить среднюю скорость потока и, зная площадь сечения по промеру, можно вычислить расход воды. Спо­соб К. г. не получил практического признания вследствие трудности вы­держать условия измерения и малой точности.

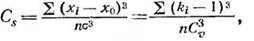
КОЭФФИЦИЕНТ АСИММЕТ­РИИ (Cs)— безразмерный статисти­ческий параметр, характеризующий степень несимметричности ряда рас­сматриваемой случайной величины относительно ее среднего значения. Представляет собой среднюю вели­чину кубов отклонений каждого зна­чения ряда (%і) от его арифмети­ческой середины (χο),ι деленную на куб среднего квадратического откло­нения (о)

где п — число членов ряда; k — мо­дульный коэффициент; Cv — коэф­фициент вариации.

Распределение гидрологических величин большей частью характери­зуется положительной асимметрией.

Это значит, что в одиомодальном распределении среднее арифметичес­кое значение ряда располагается правее моды и, следовательно, спра­ва от центра расположена «длинная» часть графика распределении. При отрицательной асимметрии среднее арифметическое значение ряда рас­полагается левее моды и «длинная» часть графика· распределения распо­лагается влево от его центра.

КОЭФФИЦИЕНТ АСИММЕТ­РИЧНОСТИ ГИДРОГРАФА — см. Гидрограф половодья (паводка).

КОЭФФИЦИЕНТ БУССИНЕС- KA — см. Корректив количества дви­жения.

КОЭФФИЦИЕНТ ВАРИАЦИИ

(Cv)— безразмерный статистический параметр, характеризующий изменчи­вость случайной величины во време­ни или пространстве; представляет собой отношение среднего квадра­тического отклонения (см. дисперсия) ряда рассматриваемой величины к ее среднему значению

где σ — среднее квадратическое от­клонение; Xn — среднее значение рас­сматриваемой варьирующей величи­ны; п — число членов ряда; Xi—зна­чение отдельных членов ряда; k— модульный коэффициент.

КОЭФФИЦИЕНТ ВИРТУАЛЬ­НОЙ ВЯЗКОСТИ — то же, что ко­эффициент турбулентного обмена.

КОЭФФИЦИЕНТ ВЛАГООБО- POTA —отношение общего количест­ва атмосферных осадков, выпадаю­щих в пределах какой-либо террито­рии суши (х,), к тому их количеству (х2), которое обусловлено конденса­цией водяного пара, принесенного воздушными течениями извне (пре­имущественно с океана).

ших территориях сумма осадков бу­дет включать «внешнюю» и «внутрен­нюю» составляющие.

Для условий Европейской терри­тории СССР К. в. равен примерно 1.13. Это означает, что испарение с по­верхности этой территории увеличи­вает сумму осадков на ней на 13%.

КОЭФФИЦИЕНТ ВНУТРИГО­ДОВОЙ НЕРАВНОМЕРНОСТИ СТОКА (rf)—отношение величины площади гидрографа или площади кривой продолжительности суточных расходов выше среднего расхода к общей его площади; между К- в. н. с. и коэффициентом естественной заре- гулированности стока (φ), очевидно, существует соотношение d=-l—φ.

КОЭФФИЦИЕНТ ВОДООБРА- ЗОВАНИЯ (фв) — отношение слоя воды, стекающей с единицы поверх­ности водосбора в результате выпа­дения осадков или снеготаяния в еди­ницу времени, к слою осадков или к слою воды, образующейся от сне­готаяния в тот же интервал времени.

Синоним: мгновенный коэффици­ент стока.

КОЭФФИЦИЕНТ водопот- РЕБЛЕНИЯ — количество воды

(в ма), потребное для создания цент­нера продукции урожая. Использу­ется в мелиорации для расчета пот­ребностей растений в воде, исходя из величины расчетного урожая (в ц/г) К- в. равен 0,1 от величины коэффициента транспирации.

КОЭФФИЦИЕНТ ВОДООТДА­ЧИ (μ)- один из параметров, ха­рактеризующих водно- физические

свойства грунтов, в частности, их способность отдавать часть воды при понижении уровня подземных вод

где—слой воды (мм), отдавае­мой грунтом при понижении уровня подземных вод на величину Aft мм.

Величины К. в. некоторых грун­тов;

Тяжелые суглинки . . 0,011 Средние суглинки . . 0,025 Легкие суглинки . . - 0,035

Супеси средние . . 0,06—0,08

Пески тонкозернистые . 0,08—0,12

Пески среднезернистые . 0,12—0,20

Пески крупнозернистые 0,20—0,30

См. также водоотдача почво- грунта.

КОЭФФИЦИЕНТ ВОДОПРО- водимости водоносного ПЛЛСТЛ (q)— расход подземного потока на. единицу ширины водонос­ного пласта; равен произведению ко­эффициента фильтрации на мощность водоносного пласта; выражается в м2/сутыи.

КОЭФФИЦИЕНТ ДИНАМИ­ЧЕСКОЙ СПЛОШНОСТИ (т)— от­ношение числа (или суммарного объема) движущихся песчинок к об­щему их числу (или объему) в слое, равном диаметру наносов. По экспе­риментальным данным В. Н. Гонча­рова, величина, т может быть при­нята пропорциональной отношению наблюдающейся в потоке средней скорости течения (V) к скорости, от­вечающей началу переноса наносов (непередвигающаяся скорость иНп),

См. также сплошность укладки частиц грунта.

КОЭФФИЦИЕНТ ДИНАМИЧ­НОСТИ ПОДЗЕМНОГО СТОКА —

отношение наибольших величин под­земного стока за какой-либо интер­вал времени (сутки, месяц, сезон) к их наименьшим значениям; харак­теризует изменчивость величины под­земного стока в рассматриваемом интервале времени. В большинстве случаев при нисходящем типе режи­ма подземного стока определяется по соотношению суммарных дебитов источников и дебита типовых источ­ников, характеризующих режим под­земных вод водоносных пластов, для которых устанавливается величина К. д. п. с.

КОЭФФИЦИЕНТ ДРУЖНОСТИ ПРИТОКА ВОДЫ В РУСЛОВУЮ СЕТЬ (упр) — отношение максималь­ной (пиковой) интенсивности поступ­ления воды на водосбор (р) к слою стока за паводок или половодье (Zi).

КОЭФФИЦИЕНТ ЕМКОСТИ ВОДОХРАНИЛИЩА (β) — отноше­ние полезной (рабочей) емкости во­дохранилища (Wz) к среднему мно­голетнему объему годового стока ре­ки, зарегулированной водохранили­щем (Vo).

КОЭФФИЦИЕНТ ЕСТЕСТВЕН­НОЙ ЗАРЕГУЛИРОВАННОСТИ СТОКА (φ)—отношение площади гидрографа, расположенной ниже среднего расхода, к общей его пло­щади, или площадь кривой продол­жительности суточных расходов воды

где р — продолжительность расходов, выраженных в модульных коэффи­циентах (К). К. е. з. с. изменяется от 0,6—0,85 для озерных рек лесной зоны до 0,1—0,2 для рек полупус­тыни.

Обеспеченность в долях от единицы P

Коэффициент естественной заре­гулированное™ стока.

КОЭФФИЦИЕНТ ЗАБОЛОЧЕН­НОСТИ — см. Заболоченность водо­сбора.

КОЭФФИЦИЕНТ ЗАКАРСТО- ВАННОСТИ —см. Карст.

КОЭФФИЦИЕНТ ИЗВИЛИС­ТОСТИ РЕК (δ) —отношение длины реки, измеренной по карте, к сумме отрезков прямых, соединяющих на­чало и конец однообразно ариенти- ’ ров а иных участков реки. Более пол­ной характеристикой извилистости русла является интегральная кривая извилистости русла, покавывающая, какой процент от общей длины реки или рассматриваемого , ее участка составляют участки с различной кри­визной.

КОЭФФИЦИЕНТ ИСПОЛЬЗО­ВАНИЯ СТОКА (φ) —отношение объ­ема воды, доставляемого из водохра­нилища в среднем за год потреби­телям ( IVhob), к среднему многолет­нему годовому объему стока реки (Vo).

См. также кривая использования стока.

КОЭФФИЦИЕНТ КОНФИГУРА­ЦИИ БАССЕЙНА — см. Коэффици­ент развития водораздельной линии.

КОЭФФИЦИЕНТ КОРИОЛИ­СА — см. Корректив кинетической

энергии.

КОЭФФИЦИЕНТ КОРРЕЛЯ­ЦИИ— см. Корреляция.

КОЭФФИЦИЕНТ ЛЕСИСТО­СТИ— см. Лесистость водосбора.

КОЭФФИЦИЕНТ МОДУЛЬ­НЫЙ (k)—отношение какой-либо варьирующей (изменяющейся) во времени величины к ее среднему зна­чению. Например, отношение величин годового, сезонного и т. д. стока, осадков, испарения, температуры (воздуха, воды, почвы) и т. д. к сво­ей средней многолетней величине (норме) или для условий внутриго­дового распределения стока отноше­ние среднесуточного расхода к сред­негодовому.

КОЭФФИЦИЕНТ НЕОДНОРОД­НОСТИ НАНОСОВ (ДОННЫХ ОТЛОЖЕНИЙ)—см. Коэффициент однородности грунта.

КОЭФФИЦИЕНТ ОБМЕНА — см. Коэффициент турбулентного об­

мена.

КОЭФФИЦИЕНТ ОДНОРОД­НОСТИ ГРУНТА — отношение раз­мера диаметра частиц, меньше кото­рого в грунте содержится 60% мас­сы грунтаї, к действующему диаметру.

Для речных наносов (донных от­ложений) используется понятие коэф­фициент неоднородности, представля­ющий собой отношение среднего ди­аметра наносов к диаметру частиц, имеющих обеспеченность 90% на кривой гранулометрического состава (эффективный диаметр донных отло­жений) .

КОЭФФИЦИЕНТ ОДНОРОД­НОСТИ НАНОСОВ ПО КРУПНО­СТИ — отношение диаметра частиц, мельче которых в смеси содержится 95%, по весу, к диаметру частиц, мельче которых содержится 5%,

Однородными, по крупности, счи­тают наносы, характеризуемые отно- IIli-IllieM

КОЭФФИЦИЕНТ ОЗЕРНО-

( I Il ем. Озерность водосбора.

КОЭФФИЦИЕНТ ОТРАЖЕ­

НИЯ IepMlIlI, используемый «иог- да в качестве синонима интегрально­го альбедо.

КОЭФФИЦИЕНТ ПОДВИЖ­НОСТИ ДОННЫХ ЧАСТИЦ — отно­шение сил, стремящихся сдвинуть донную частицу, к силам, удержива­ющим ее на м.есте. Используются сле­дующие выражения К. п. д. ч.

Здесь ps H р — плотности твер­дых частиц и воды; g — ускорение свободного падения; T0 — касательное напряжение на дне (влекущая сила потока); v — средняя скорость тече­ния; d — диаметр донных частиц; w — гидравлическая крупность дон­ных ча-стиц. Факторы, определяющие равновесие донных частиц, наиболее полно учтены в третьем вырад^нии. Здесь T0 представляет действующие на частицу гидродинамические силы, гидравлическая крупность w учиты­вает влияние на К. п. д. ч. силы тя­жести, архимедовой силы и силы вязкости. Введя динамическую ско­рость, можно К. п. д.ч.

представить в виде отношения

Величины, обратные коэффициен­там подвижности, называются коэф­фициентами устойчивости донных частиц.

КОЭФФИЦИЕНТ ПОДЗЕМНО­ГО ПИТАНИЯ — отношение величи­ны подземного стока в реку к вели­чине общего речного стока. Величи­на подземного стока в реку устанав­ливается путем расчленения іидро- графа речного стока.

КОЭФФИЦИЕНТ ПОЛЕЗНОГО ДЕЙСТВИЯ ОРОСИТЕЛЬНОЙ СИСТЕМЫ — отношение количества поды, поданной на поля, к количест­ву воды, взятой водозаборными уст­ройствами оросительной системы. Изменяется от 0,55—0,60 для круп­ных оросительных систем при обыч­ных земляных каналах до 0,8—0,90 при сравнительно небольших ороси­тельных системах с каналами, имею­щими противофильтрационную за­щиту.

КОЭФФИЦИЕНТ полноты ГИДРОГРАФА — см. Гидрограф по­ловодья.

КОЭФФИЦИЕНТ ПОПЛАВОЧ­НЫЙ — отношение осредисипых по сечению средней (о) и поверхност­ной (νπ) скоростей течения воды

Используется для вычисления расхода воды (Q) по измеренным по­верхностным скоростям

Здесь (Qi)—фиктивный расход, Qit = Vi1(I), где ω — площадь живого сечения потока. Среднее значение /

<< | >>
Источник: А. И. ЧЕБОТАРЕВ. ГИДРОЛОГИЧЕСКИЙ СЛОВАРЬ. Издание третье переработанное и дополненное. .ЛЕНИНГРАД ГИДРОМЕТЕОИЗДАТ 1978. 1978

Еще по теме К:

  1. Педагогіка. Інтегрований курс теорії та історії: Навчально- методичний посібник: У 2 ч. / За ред. А.М. Бойко. — Ч. 2. — К.: ВІПОЛ; Полтава: АСМІ,2004. — 504 с., 2004
  2. Кармазин Ю.А., Стрельцов Е.Л. и др.. УГОЛОВНЫЙ КОДЕКС УКРАИНЫ. КОММЕНТАРИЙ. Харьков-Одиссей, 2001
  3. ПРЕДИСЛОВИЕ
  4. РЕДАКТОРСКАЯ СТАТЬЯ
  5. ОБЩАЯ ЧАСТЬ
  6. Раздел I
  7. ОБЩИЕ ПОЛОЖЕНИЯ
  8. Статья 1. Задачи Уголовного кодекса Украины
  9. Статья 2. Основание уголовной ответственности
  10. Раздел II ЗАКОН ОБ УГОЛОВНОЙ ОТВЕТСТВЕННОСТИ