<<
>>

Э

ЭВАПОТРАНСПИРАЦИЯ — см.

Суммарное (валовое) испарение.

ЭКВИВАЛЕНТНОЕ ЖИВОЕ СЕЧЕНИЕ — живое сечение, в отли­чие от произвольного его очертания естественном потоке, схематизиро- анное по форме правильных геомет- ических фигур.

Схематизация осу- есгвляется с целью упрощения рас­четов при построении кривых свобод­ной поверхности. Для приведения естественного профиля живого сече- ия к Э. ж. с. берут ширину русла, авную естественной, а глубину его выбирают таким образом, чтобы при среднем уклоне, соответствующем этому участку при нормальном режи­ме, через Э. ж. с. прошел тот же асход, что и в естественных усло-

иях.

ЭКВИВАЛЕНТНЫЙ ВЕС — част­ное от деления атомного флолеку- пярного) веса рассматриваемого эле-

Ііента (вещества) на его валентность.

ЭКВИДИСТАНТЫ-линии, сое- щняющие на карте речного бассейна точки, находящиеся на одинаковом эасстояиии от замыкающего створа. Если допустить, что скорость добе- 'ания воды в бассейне повсеместно Ьдинакова и постоянна, то Э. при­обретут смысл изохрон, а площади, !аключенные между ними, будут їлощадями одновременного добега- тия воды.

См. также изохроны стока.

ЭКЗОГЕННЫЕ ПРОЦЕССЫ — то же, что внешние процессы.

ЭКЗОТИЧЕСКАЯ РЕКА —в гео­морфологии то же, что транзитная река, применительно к рекам, про­текающим в пустыне.

ЭКОЛОГИЯ — отрасль биологии, изучающая отношения между орга­низмами (животными и растениями) и средой их обитания. Например, Э. растений изучает отношение расте­ний ко всему комплексу влияющих на них факторов: климата, почвы, рельефа и пр. Э. гидробионтов иссле­дует взаимодействие между ними и водной средой во всех ее проявлени­ях; в этом смысле гидробиология яв­ляется экологической наукой.

ЭКСПЕРИМЕНТ В ГИДРОЛО­ГИИ — детальное изучение физиче­ских закономерностей гидрологиче­ских процессов в заданных, искус­ственно созданных или подобранных в природе условиях.

C помощью эк­сперимента исследуются закономер­ности формирования речных русел, образования и таяния ледяного по­крова, поглощение воды почвой и стекание ее со склонов, испарение с водной поверхности и с суши, влия­ние агротехнических мероприятий, проводимых на водосборах, на сток и много других явлений, в комплек- сс составляющих сложные гидроло­гические процессы.

ЭКСПЛУАТАЦИОННАЯ ГИ­ДРОМЕТРИЯ — условный термин, используемый применительно к сово­купности приемов гидрометрических работ, выполняемых на оросительных и осушительных системах. Условность этого понятия заключается в том, что принципиальные основы и техни­ческие приемы общей гидрометрии и Э. г. не различаются, за исключе­нием некоторых деталей, в частности, в организации этих работ.

эксплуатационные ре­сурсы ПОДЗЕМНЫХ ВОД —см. Водные ресурсы.

ЭКСТРАПОЛЯЦИЯ КРИВОЙ РАСХОДОВ — распространение гра­фической зависимости между расхо­дами и уровнями за пределы ампли­туды, освещенной измеренными рас­ходами воды. Э. к. р. может осуще­ствляться вверх до иаивысшего уров­ня и вниз до уровня нулевого рас­хода. Э. К. P- BlBepx при отсутствии надежных наблюдений над уклона­ми может быть выполнена:

а) непосредственным продолже­нием обоснованной части кривой рас­ходов;

б) путем экстраполяции графи­ков зависимости площадей живого сечения и средних скоростей течения от уровня;

в) с использованием некоторых специальных приемов, например, спо­соба Стивенса.

При наличии надежных данных об уклонах Э. к. р. может быть осу­ществлена с помощью формулы Ше- зи. В этом случае формула Шези ис­пользуется для вычисления величины расхода воды при наивысшем наблю­денном уровне, ориентируясь на ко­торый и экстраполируется кривая расходов. Э. к. р. вниз может быть осуществлена непосредственным про­должением обоснованной части кри­вой расходов, ориентируясь на точку нулевого расхода, т. е. точку, лежа­щую на оси ординат и отвечающую уровню, при котором расход в рас­сматриваемом сечении равен нулю. Отметка этого уровня соответствует отметке гребня ниже лежащего пе­реката или отметке дна в рассмат­риваемом створе.

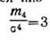
ЭКСЦЕСС (E)— один из парамет­ров кривой распределения статисти­ческой совокупности, характеризую­щий степень отличия данного ряда от нормального распределения по концентрации отдельных значений около центра распределения. Иначе говоря, Э. является характеристикой большей или меньшей «вершииности», т. е. большего или меньшего подъема графика рассматриваемой совокупно­сти по сравнению с нормальной кри­вой распределения

где tn4— (Xi—Х)4— четвертый МОМЄНТ распределения; х — среднее значение признака; Xi — величина каждого от­дельного значения признака в ран­жированном ряду; о — среднее квад-

эксцесс положи­телен (вершина кривой распределе­ния рассматриваемого ряд." *

выше нормальной), если

эксцесс отрицателен (получается «нч-

ковершинная кривая), при

эксцесс равен нулю.

ЭЛЕКТРОЛИТИЧЕСКИЙ МЕ­

ТОД ИЗМЕРЕНИЯ (ОПРЕДЕЛЕ­НИЯ) РАСХОДА ВОДЫ — вариант метода «ионный паводок», отличается от последнего тем, что для измере­ния электропроводности воды вместо одного электрода применяются цепоч­ные электроды —30—40 микроэлек- тродных ячеек, соединенных в одну цепь, лежащую в контрольном сече­нии от одного берега до другого. Предполагается, что при помощи та­кой цепи электродов можно измерить сразу величину электропроводности, осредненную по ширине потока, и поэтому нет необходимости для обес­печения достаточного перемешивания индикатора значительно удалять кон­трольное сечение от места ввода ин­дикатора. Сокращение этого расстоя­ния позволяет уменьшить расход ин­дикатора до 0,2—0,3 кг на 1 м3/с.

Точность метода мало определе­на — обычно погрешность одного из­мерения оценивается ±10%, но бы­вают случаи, когда без «видимых причин» результат измерения откло-

нится от истинного значения значи­тельно больше.

ЭЛЕКТРОМЕТРИЧЕСКИЙ МЕ­ТОД ИЗМЕРЕНИЯ (ОПРЕДЕЛЕ­НИЯ) РАСХОДА ВОДЫ —T0 же,

что н основной метод смешения вод­ных масс, когда концентрация инди­катора в контрольном створе опре­деляется измерением электропровод­ности.

ЭЛЕКТРОТЕРМОМЕТР — при­бор для измерения температуры на основе учета, изменения электрическо­го сопротивления, происходящего в датчике под влиянием изменения температуры той среды, ,в которую он помещен. Применяется для изме­рения температуры воды около OoC с точностью до 0,OloC. В качестве датчика (собственно электротермо­метра) применяется проволочное со­противление из медной эмалирован-

Принципиальная схема электротермометра.

ной проволоки, обладающей сравни­тельно большим температурным ко­эффициентом, что обеспечивает более заметное изменение сопротивления с изменением температуры. Вместе с измерительной частью Э. представ­ляет собой уравновешенную систему моста с четырьмя плечами (сопроти­влениями), одно из которых Rl яв­ляется датчиком, второе R2 — посто­янным сопротивлением и два осталь­ных R3 и R4 — переменными сопро­тивлениями реохорда. Прн изменении сопротивления датчика Rl под влия­нием температуры произойдет нару­шение электрического равновесия моста. Это вызовет появление тока в цепи вульгальвапометра, стрелка которого отклонится от исходного нулевого положения.

Перемещая движок А по сопро­тивлениям реохорда, устанавливают стрелку вульгальвапометра в исход­ное положение и по новому положе­нию движка А на шкале реохорда судят об изменениях температуры в той среде, в которую помещен Э.

Э., в котором изменения сопро­тивления датчика фиксируются с по­мощью гальванометра или пишущего потенциометра, называются электро­термографами.

ЭЛЕМЕНТАРНЫЙ ВОДО­

СБОР — наименьшая площадь водо­сбора, имеющая явно выраженное русло и характеризующаяся доста­точной однородностью строения по­верхности в отношении рельефа, хаг рактера почвогрунтов и раститель­ности.

Иногда этот термин применяет­ся для обозначения части склона с искусственно оконтуренным водо­разделом.

ЭЛЕМЕНТАРНЫЙ ГИДРО­ГРАФ— хронологический график рас­ходов воды за время элементарного паводка; ординаты Э. г. обычно вы­ражаются в относительных величи­нах — в процентах от объема стока за паводок;

ЭЛЕМЕНТАРНЫЙ ПАВОДОК—

паводок, возникающий в том случае, когда осадки выпадают равномерно по всему водосбору в виде одного изолированного дождя в течение еди­ницы времени (например часа, су­ток). Фактически наблюдающиеся па­водки в редких случаях относятся к группе Э. п. Обычно они являются сложными и могут рассматриваться как образованные путем наслоения в определенной последовательности нескольких простых (элементарных) паводков. Так, например, если слож­ный паводок сформирован тремя еди­ничными порциями суточных осадков, то его можно рассматривать как сум­му трех Э. п., каждый из которых сформирован односуточным дождем (в дэном случае единица времени — сутки).

ЭЛЕМЕНТАРНЫЙ РАСХОД

(q) — 1) в гидрометрии — площадь эпюры (годографа) скоростей на вер­тикали; выражается в м2/с; 2) в гид­равлике — произведение элементарной площади (f/ω) на местную скорость (о) ClQ = Vch)).

ЭЛЕМЕНТАРНЫЙ РАСХОД ВЗВЕШЕННЫХ НАНОСОВ — пло­щадь эпюры единичных расходов на­носов.

ЭЛЕМЕНТЫ ВОЛН (на поверх­ности ЖИДКОСТИ) —OOHOBlHbIMH эле­ментами, характеризующими волны, являются: гребень—часть волны, рас­положенная выше статического уровня, вершина — самая высокая точка гребня волны, ложбина (впа­дина)— часть волны между двумя гребнями, расположенная ниже ста­тического уровня, подошва — са­мая низкая точка впадины волны, высота (Ч) — вертикальное расстоя­ние между вершиной и подошвой волны, равное удвоенной амплитуде колебаний (а), т. е. h=2a, высота гребня волны — превышение вершины волны над статическим горизон­том, длина (λ) — горизонтальное рас­стояние между двумя соседними вер­шинами (или подошвами), период волны (т) — промежуток времени между прохождением через одну и ту же точку пространства двух сле­дующих друг за другом вершин (или подошв), скорость распространения волны, или фазовая скорость (с) — скорость продвижения вершины (по­дошвы) одной и той же волны, кру­тизна волны (т) — отношение высо­ты волны к ее длинефронт

волны — линия гребня волны, т.

е. горизонтальная линия, проходящая вдоль вершины гребня, волновой луч— линия, перпендикулярная фронту вол­ны и направленная в сторону распро­странения волн; горизонтальная ли­ния, делящая высоту волны пополам, называется средней волновой линией.

Скорость распространения, дли­на и период волны связаны следую­щим COOTHOUIPHHeM

Часть волновой поверхности от гребня до ложбины называется скло­ном. В случае ветровых волн склон, обращенный навстречу действию вет­ра, называется наветренным, а про­тивоположный — подветренным.

ЭЛЕМЕНТЫ ГИДРОЛОГИЧЕ­СКОГО РЕЖИМА — те явления и процессы (например, колебания уров-

Профиль ветровой волны.

ня, водности, температуры воды и т. п.), совокупность которых характе­ризует гидрологический режим водно­го объекта.

ЭЛЛИПТИЧЕСКОЕ УРАВНЕ­НИЕ РАСПРЕДЕЛЕНИЯ СКОРО­СТЕЙ ПО ВЕРТИКАЛИ —см. Урав­нения распределения скоростей по вертикали.

ЭЛЮВИЙ — продукты выветри­вания горных пород, оставшиеся на месте их образования. Э. постепенно переходит в подстилающие коренные породы, из которых он образовался. Для Э. характерно отсутствие сло­истости и сортировки. Представляет собой образование из наиболее устой­чивых компонентов коренных пород с уцелевшими крупными обломками.

ЭМПИРИЧЕСКИЕ ФОРМУЛЫ— корреляционные уравнения связи от­дельных характеристик элементов ре­жима водных объектов с определяю­щими их факторами, устанавливае­мые на основе обработки данных наблюдений на исследованных вод­ных объектах и используемые затем для определения этих характеристик режима неисследованных рек и во­доемов.

,К группе Э. ф. относится бола.- Iuuhctho используемых в гидрологи- іеских расчетах зависимостей, в част­ности формулы для расчета величии максимальных расходов воды в усло­виях отсутствия данных иепооредст- IieiiIibiX наблюдений, для расчета ве­личин испарения с водной новерхню- .ти и поверхности суши, высоты вет­ровых волн, скорости течения воды в руслах и по склонам и пр.

ЭНЕРГЕТИЧЕСКАЯ СИСТЕ­МА—ігруппа электростанций, объеди­ненных общей электрической сетью, питающей электроэнергией потреби­телей, расположенных, как правило, на большой территории. Подавляю­ще большинство потребителей ра­ботает на переменном токе стандарт­ной частоты, которая в большинстве стран (в том числе в СССР) равна 50 Гц (50 периодов в секунду); та­кой же ток вырабатывается элект­ростанциями.

Г ЭНДОГЕННЫЕ ПРОЦЕССЫ —

то же, что внутренние процессы.

ЭНЕРГИЯ ВОЛН (полная) — механическая энергия колебательных движений жидкости. Источником энергии может быть ветер, приливо- отливные и сейсмические явления II гт. д. Э. в. складывается из кинети­ческой энергии, являющейся следст­вием орбитального движения частиц жидкости, и потенциальной энергии, возникающей ввиду того, что центр тяжести жидкости при ее волновом движении -окавывается лежащим вы­ше, чем в том случае, когда жид­кость находится в состоянии покоя. Э. в., отнесенная к единице ширины [гребия и единицы длины луча вол­ны, равна (для прогрессивных волн)

где у — вес единицы объема воды; \h — высота волны.

Э. в. концентрируется главным 'образом вблизи поверхности воли. эолоЪая деятельность —

|,рельефообразующая деятельность

ветра, проявляющаяся в форме ат­мосферного фактора в процессе фи­зического выветривания и форме !транспортирующей силы, перемещаю­щей продукты разрушения горных 'пород.

Деятельность ветра в качестве Ірельефообразующего фактора может

проявиться в разрушении горных по­род, в процессе физического вывет­ривания, в виде развевания (дефля­ции) и обтачивания (корразии) гор­ных пород и в создании аккумуля­тивных форм рельефа (песчаные гря­ды, дюны, барханы и т. д.)

ЭПИЛHMHHOH -верхний слой воды в водоемах, в пределах которо­го наблюдается гомотермия. В глу­боких водоемах слой Э. располагает­ся над слоем металпмниона, в мел­ких — может занимать всю толщу воды.

См. также пелагиаль.

ЭПЮРА ЕДИНИЧНЫХ РАС­ХОДОВ НАНОСОВ — графическое изображение распределения единич­ных расходов наносов по глубине вертикали.

ЭПЮРА ЭЛЕМЕНТАРНЫХ РАС­ХОДОВ ВОДЫ—графическое изо­бражение изменения по ширине рус­ла величин элементарных расходов воды.

ЭПЮРА СКОРОСТЕЙ —график, характеризующий изменение осред- ненных скоростей по глубине потока (годограф) или по ширине рекн.

Площадь Э. с. по глубине чис­ленно ревна элементарному расходу.

ЭРГОДИЧНОСТЬ ГИДРОЛО­ГИЧЕСКИХ ХАРАКТЕРИСТИК — возможность замены (или дополне­ния) наблюдений во времени (в не­которой точке пространства) за ка­кой-либо гидрологической характери­стикой наблюдениями в пространстве или, наоборот, возможность получить суждения о статистических характе­ристиках совокупности гидрологиче­ских величин, распределенных по тер­ритории по сравнительно длительным наблюдениям в отдельных точках. Принятие гипотезы Э. г. х. означает, что выполняются следующие положе­ния:

1. Ряды одних и тех же гидро­логических характеристик (например, годового и максимального стока), полученные в результате наблюдений в течение некоторого периода време­ни в различных точках пространства, подчиняются одному и тому же за­кону распределения.

2. Статистические параметры (среднее, коэффициент вариации и т. д.) рядов (выборок), получен­ных в одной произвольно ВЗЯТОЙ ΤΟΠ­

Ι 306

ке пространства, равны аналогичным параметрам, полученным в результа­те одноразового замера того же эле­мента в достаточном числе точек пространства (однородного в физико- географическом отношении).

3. В силу пп. 1 и 2 кривая рас­пределения, например максимального стока, полученная по материалам многолетних наблюдений для произ­вольно взятой реки («временная» кривая), должна совпадать с кривой распределения стока за любой, про­извольно взятый год для совокупно­сти всех рек (створов), расположен­ных на данной территории («про­странственная» кривая).

Выполнение гипотезы Э. г. х. оз­начает возможность совокупного рас­смотрения рядов гидрологических ха­рактеристик в пределах какого-либо района, где эта гипотеза реализуется.

Применительно к задачам расче­та речного стока условия эргодично­сти обычно не выдерживаются.

ЭРОЗИЯ — процесс разрушение почвогрунтов текущей водой и вет­ром. Для ветровой Э. существует свой термин — дефляция (развева­ние), и потому обычно понятие Э. целиком относят к деятельности вод­ных потоков. В водной Э. различают склоновую и русловую Э.

Склоновая Э. разделяется на пло­скостной смыв и овражную Э. Тер­мин «плоскостной смыв» понимается в том смысле, что возникающая вре­менная сеть ручейков очень густа, непостоянна и осуществляет вынос со всей площади ее распространения. К овражному типу склоновой Э. от­носят также ложбины и размывы, созданные концентрированными по­токами воды, которые не могут быть сглажены в процессе обычной обра­ботки почвы.

Русловая Э. разделяется на бо­ковую и глубинную; боковая Э. при­водит к плановым перемещениям русла, а глубинная Э. — к изменению его высотного положения.

Низшая плоскость, до уровня ко­торой данным потоком сносятся про­дукты разрушения почвогрунтов, на­зывается базисом Э. Для материков в целом базисом Э. является уровень Мирового океана, для рек — отметка уровня водоема или водотока, в ко­торый они впадают.

ЭСТУАРИЙ — воронкообразно расширенное устье реки в виде мор­ского залива, образующееся в усло­виях, затрудняющих отложение на­носов.

ЭФФЕКТИВНОЕ ИЗЛУЧЕНИЕ

(Shs)—разность между излучением земной поверкности (Sn) и погло­щенным ею встречным излучением атмосферы (Sna).

ЭФФЕКТИВНОСТЬ МЕТОДА ПРОГНОЗА — статистическая харак­теристика качества метода, характе­ризуемая: а) превышением обеспечен­ности допустимой ошибки прогнозов над обеспеченностью равного этой ошибке отклонения предсказываемой переменной от ее нормы; б) отноше­ние средней квадратической ошибки прогнозов (s) к среднему квадра­тическому отклонению предсказывае­мой переменной ~· Чем меньше

это отклонение, тем выше качество метода прогноза.

ЭФФЕКТИВНЫЙ ДИАМЕТР ДОННЫХ ОТЛОЖЕНИЙ — диаметр частиц, вводимый в различные рас­четные формулы, например для вы­числения расхода донных наносов, скорости смещения донных гряд, ве­личины скоростного коэффициента формулы Шези и пр., для случая неоднородного по крупности состава наносов. Единого мнения о величине этого параметра не существует. В некоторых зависимостях в качестве Э. д. д. о. принимают диаметр час­тиц, обеспеченный на 90% по кривой гранулометрического состава. Иначе говоря, в этом случае Э. д. д. о. ра­вен диаметру отверстия сита, про­пускающего 90% рассматриваемой пробы грунта. Применительно к дру­гим формулам в качестве Э. д. д. о. принимают диаметр частиц, имеющих обеспеченность 70, 75 или 60%.

ЭХОЛОТ — прибор для опреде­ления глубин речных потоков и водо­емов. Принцип действия Э. основан на регистрации промежутка времени, необходимого для прохождения уль­тразвукового импульса от прибора до дна проверяемого объекта и об­ратно к приемнику прибора.

<< | >>
Источник: А. И. ЧЕБОТАРЕВ. ГИДРОЛОГИЧЕСКИЙ СЛОВАРЬ. Издание третье переработанное и дополненное. .ЛЕНИНГРАД ГИДРОМЕТЕОИЗДАТ 1978. 1978

Еще по теме Э:

  1. Педагогіка. Інтегрований курс теорії та історії: Навчально- методичний посібник: У 2 ч. / За ред. А.М. Бойко. — Ч. 2. — К.: ВІПОЛ; Полтава: АСМІ,2004. — 504 с., 2004
  2. Кармазин Ю.А., Стрельцов Е.Л. и др.. УГОЛОВНЫЙ КОДЕКС УКРАИНЫ. КОММЕНТАРИЙ. Харьков-Одиссей, 2001
  3. ПРЕДИСЛОВИЕ
  4. РЕДАКТОРСКАЯ СТАТЬЯ
  5. ОБЩАЯ ЧАСТЬ
  6. Раздел I
  7. ОБЩИЕ ПОЛОЖЕНИЯ
  8. Статья 1. Задачи Уголовного кодекса Украины
  9. Статья 2. Основание уголовной ответственности
  10. Раздел II ЗАКОН ОБ УГОЛОВНОЙ ОТВЕТСТВЕННОСТИ
  11. Статья 3. Законодательство Украины об уголовной ответственности