<<
>>

ГЕНЕТИЧЕСКОЕ РАЗНООБРАЗИЕ

Естественное богатство нашей планеты связано с разнообразием генетических вариаций. Генетическое разнообразие, т. е. поддержание генотипических гетерозиготности, полиморфизма и другой генотипической изменчивости, которая вызвана адаптационной необходимо­стью в природных популяциях, представлено наследуемым разнообразием внутри и между популяциями организмов.

Как известно, генетическое разнообразие определяется варьированием последовательностей четырех комплиментар­ных нуклеотидов в нуклеиновых кислотах, составляющих генетический код. Каждый вид несет в себе огромное количе­ство генетической информации: ДНК бактерии содержит око­ло 1 000 генов, грибы — до 10 ООО, высшие растения — до 400 ООО. Огромно количество генов у многих цветковых рас­тений и высших таксонов животных. Например, ДНК домо­вой мыши содержит около 100 000 генов.

Новые генетические вариации возникают у особей через генные и хромосомные мутации, а также у организмов, кото­рым свойственно половое размножение, через рекомбинацию генов. Генетические вариации могут быть оценены у любых

28

УРОВНИ БИОРАЗНООБРАЗИЯ

организмов, от растений до человека, как число возможных комбинаций различных форм от каждой генной последова­тельности. Другие разновидности генетического разнообра­зия, например, количество ДНК на клетку, структура и число хромосом, могут быть определены на всех уровнях организа­ции живого.

Огромное множество генетических вариаций представле­но у скрещивающихся популяций и может быть осуществле­но посредством селекции. Различная жизнеспособность отра­жается в изменениях частот генов в генофонде и является реальным отражением эволюции. Значение генетических ва­риаций очевидно: они дают возможность осуществления и эво­люционных изменений и, если это необходимо, искусствен­ного отбора.

Только небольшая часть (около 1%) генетического ма­териала высших организмов изучена в достаточной мере, когда мы можем знать, какие гены отвечают за определен­ные проявления фенотипа организмов.

Для большей части ДНК ее значение для вариации жизненных форм остается неизвестным.

Каждый из 109 различных генов, распределенных в миро­вой биоте, не дает идентичного вклада в формирование разно­образия. В частности, гены, контролирующие фундаменталь­ные биохимические процессы, являются строго консерватив­ными у различных таксонов и в основном демонстрируют слабую вариабельность, которая сильно связана с жизнеспо­собностью организмов.

Если судить об утере генофонда с точки зрения генной ин­женерии, принимая во внимание то, что каждая форма жиз­ни уникальна, вымирание всего лишь одного дикого вида оз­начает безвозвратную потерю от тысячи до сотен тысяч генов с неизвестными потенциальными свойствами. Генная инже­нерия могла бы использовать это разнообразие для развития медицины и создания новых пищевых ресурсов. Однако раз­рушение местообитаний и ограничение размножения многих видов приводят к опасному уменьшению генетической измен­чивости, сокращая их способности адаптироваться к загряз­нению, изменениям климата, болезням и другим неблаго­приятным факторам. Основной резервуар генетических ре­сурсов — природные экосистемы — оказался значительно измененным или разрушенным. Уменьшение генотипическо-

29

ГЛАВА I

го разнообразия, происходящее под воздействием человека, ставит на грань риска возможность будущих адаптаций в эко­системах.

Изучение закономерностей распределения генотипов в по­пуляциях начато Пирсоном (1904). Он показал, что при нали­чии разных аллелей одного гена и действия свободного скре­щивания в популяциях возникает определенное распределе­ние генотипов, которое можно представить в виде:

р2 АА+2pqAa + р2аа ,

где р— концентрация гена A, q — концентрация гена а.

Г.Х. Харди (1908) и В. Вайнберг (1908), специально иссле­довав это распределение, высказали мнение, что оно является равновесным, так как при отсутствии факторов, нарушающих его, оно может сохраняться в популяциях неограниченное время. Так стала развиваться популяционная генетика.

Глав­ная заслуга в разработке популяционной генетики, а особен­но ее теоретического и математического аспектов, в этот ран­ний период (1920-1940 гг.) принадлежит С.С. Четверикову, С. Райту, Р. Фишеру, Дж. Холдейну, А.С. Серебровскому и Н. П. Дубинину. *

Биологическая эволюция — это процесс накопления из­менений в организмах и увеличение их разнообразия во вре­мени. Эволюционные изменения затрагивают все стороны су­ществования живых организмов: их морфологию, физиоло­гию, поведение и экологию. В их основе лежат генетические изменения, т. е. изменения наследственного вещества, кото­рое, взаимодействуя со средой, определяет все признаки орга­низмов. На генетическом уровне эволюция представляет со­бой накопление изменений в генетической структуре попу­ляций.

Эволюцию на генетическом уровне можно рассматривать как двухступенчатый процесс. С одной стороны, возникают мутации и рекомбинации — процессы, обусловливающие ге­нетическую изменчивость; с другой — наблюдается дрейф ге­нов и естественный отбор — процессы, посредством которых генетическая изменчивость передается из поколения в поко­ление.

Эволюция возможна только в том случае, если существу­ет наследственная изменчивость. Единственным поставщиком новых генетических вариантов служит мутационный процесс,

30

УРОВНИ БИОРАЗНООБРАЗИЯ

однако эти варианты могут по-новому рекомбинироваться в процессе полового размножения, т. е. при независимом рас­хождении хромосом и вследствие кроссинговера. Генетичес­кие варианты, возникшие в результате мутационного и реком­бинационного процессов, передаются из поколения в поколе­ние отнюдь не с равным успехом: частота некоторых из них может увеличиваться за счет других. Помимо мутаций к про­цессам, изменяющим частоты аллелей в популяции, относят­ся естественный отбор, поток генов (т, е. их миграции) между популяциями и случайный дрейф генов.

На первый взгляд может показаться, что особи с доминан­тным фенотипом должны встречаться чаще, чем с рецессив­ным. Однако соотношение 3:1 соблюдается лишь в потомстве двух особей, гетерозиготных по одним и тем же двум аллелям.

При других типах скрещивания в потомстве происходит иное расщепление признаков, и такие скрещивания также влияют на частоты генотипов в популяции. Законы Менделя ничего не говорят нам о частотах фенотипов в популяциях. Именно об этих частотах идет речь в законе Харди—Вайнберга. Основ­ное утверждение закона Харди—Вайнберга состоит в том, что в отсутствие элементарных эволюционных процессов, а имен­но мутаций, отбора, миграции и дрейфа генов, частоты генов остаются неизменными из поколения в поколение. Этот закон утверждает также, если скрещивание случайно, то частоты генотипов связаны с частотами генов простыми (квадратич­ными) соотношениями. Из закона Харди-Вайнберга вытекает следующий вывод: если частоты аллелей у самцов и самок ис­ходно одинаковы, то при случайном скрещивании равновес­ные частоты генотипов в любом локусе достигаются за одно поколение. Если частоты аллелей у двух полов исходно раз­личны, то для аутосомных локусов они становятся одинако­выми в следующем поколении, поскольку и самцы, и самки получают половину своих генов от отца и половину — от мате­ри. Таким образом, равновесные частоты генотипов достига­ются в этом случае за два поколения. Однако в случае сцеп­ленных с полом локусов равновесные частоты достигаются лишь постепенно.

Закон Харди—Вайнберга сформулировали в 1908 г. неза­висимо друг от друга математик Г. X. Харди в Англии и врач В. Вайнберг в Германии. Чтобы понять смысл этого закона приведем простой пример. Предположим, что данный локус

31

ГЛАВА I

содержит один из двух аллелей, А и а, представленных с оди­наковыми для самцов и самок частотами: р для А и q для а. Представим себе, что самцы и самки скрещиваются случай­ным образом, или, что то же самое, гаметы самцов и самок образуют зиготы, встречаясь случайно. Тогда частота любого генотипа будет равна произведению частот соответствующих аллелей. Вероятность того, что некоторая определенная особь обладает генотипом АА, равна вероятности (р) получить ал­лель А от матери, умноженной на вероятность (р) получить аллель А от отца, т.

е. рхр = р2 .

Закон Харди—Вайнберга гласит, что процесс наследова­ния преемственности сам по себе не ведет к изменению частот аллелей и (при случайном скрещивании) частот генотипов по определенному локусу. Более того, при случайном скрещива­нии равновесные частоты генотипов по данному локусу дос­тигаются за одно поколение, если исходные частоты аллелей одинаковы у обоих полов.

Равновесные частоты генотипов задаются произведения­ми частот соответствующих аллелей. Если имеются только два аллеля, А и а, с частотами р и q, то частоты всех трех возмож­ных генотипов выражаются уравнением:

(p+q)22 +2pq + q2 А а АА Аа аа,

где буквам во второй строке, обозначающим аллели и геноти­пы, соответствуют расположенные над ними частоты в первой строке.

Если имеются три аллеля, скажем, А,, А2иА3, с частотами р, q и г, то частоты генотипов определяются следующим об­разом:

(p + q + r)22 + q2 + г2 + 2pq+2рг + 2qr А, АгА3 A,At A3A2A3A3AtA3, А2А3А2А3

Аналогичный прием возведения в квадрат многочлена может быть использован для определения равновесных час­тот генотипов при любом числе аллелей. Заметим, что сумма всех частот аллелей так же, как и сумма всех частот геноти­пов, должна быть равна единице. Если имеются только два аллеля с частотами р и q, то р + q — 1, и, следовательно, р2 + 2pq + q2 =(p + q)2 =1; если же имеются три аллеля с час-

32

УРОВНИ БИОРАЗНООБРАЗИЯ

тотами р, q и г, то р + q + г = 1, и, следовательно, также (p+g + rf =1 и т.д.

Организмы, обладающие удачными вариантами призна­ков, имеют большую вероятность по сравнению с другими орга­низмами выжить и оставить потомство. Вследствие этого по­лезные вариации в ряду поколений будут накапливаться, а вредные или менее полезные вытесняться, элиминироваться.

Это и называется процессом естественного отбора, который играет ведущую роль в определении направления и скорости эволюции.

Прямая взаимосвязь между степенью генетической измен­чивости в популяции и скоростью эволюции под действием есте­ственного отбора была доказана математическим путем Р. Фи­шером (1930) в его фундаментальной теореме естественного от­бора. Фишер ввел понятие приспособленности и доказал, что скорость возрастания приспособленности популяции в любой момент времени равна генетической вариансе приспособленно­сти в тот же момент времени. Однако прямые доказательства этого факта были получены лишь в конце 1960-х гг.

Мутационный процесс служит источником появления но­вых мутантных аллелей и перестроек генетического материа­ла. Однако возрастание их частоты в популяции под действи­ем мутационного давления происходит крайне медленно, даже в эволюционном масштабе. К тому же подавляющее большин­ство возникающих мутаций устраняется из популяции в те­чение немногих поколений уже в силу случайных причин. Неизбежность такого течения событий впервые обосновал Р. Фишер в 1930 г.

Для человека и других многоклеточных показано, что мутации обычно возникают с частотой от 1 на 100 000 (1 • 10 s) до 1 на 1 000 000 (1-Ю-®) гамет.

Новые мутанты, хотя и довольно редко, но постоянно по­являются в природе, поскольку существует множество особей каждого вида и множество локусов в генотипе любого организ­ма. Например, число особей того или иного вида насекомых обычно составляет около 100 млн (108). Если предположить, что средняя мутабильность по одному локусу равна 1 мутации на 100 000 (10_s) гамет, то среднее число вновь возникающих в каждом поколении мутантов по этому локусу для данного вида насекомых составит 2-Ю8' 10 5=2000. (Частота возникно­вения мутаций умножается на число особей и еще на два, так

33

ГЛАВА I

как любая особь представляет собой продукт слияния двух гамет.) В генотипе человека имеется около 100 000 (10s) локу­сов. Предположим, что у человека темп мутирования такой же, как у дрозофилы; в этом случае вероятность того, что ге­нотип каждого человека содержит новый аллель, отсутство­вавший в генотипе его родителей, равна 2- 10s* 10"® = 2. Иными словами, каждый человек в среднем несет около двух новых мутаций.

Проделанные расчеты основаны на частотах возникновения мутаций, обладающих внешним проявлением. В целом по ге­ному темп мутирования составляет не менее 7-Ю-9 замен на одну нуклеотидную пару в год. У млекопитающих число нуклео­тидных пар в диплоидном геноме составляет около 4*109. Следо­вательно, нуклеотидные замены у млекопитающих происходят с частотой не менее 4*108*7*10“в = 28 в год на диплоидный геном. Ясно, что мутационный процесс обладает колоссальными возмож­ностями поставлять новый наследственный материал.

Важный шаг в генетике популяций был сделан в 1926 г. С. С. Четвериковым. Исходя из закона Харди—Вайнберга, Четвериков доказал неизбежность генетической разнородно­сти природных популяций при том, что новые мутации непре­рывно появляются, но остаются обычно скрытыми (рецессив­ными), а в популяции идет свободное скрещивание.

Из расчетов Четверикова следовало, а впоследствии было полностью подтверждено практикой, что даже редкие и вред­ные для особи мутантные гены будут надежно укрыты от очи­щающего действия естественного отбора в гетерозиготах (орга­низмах со смешанной наследственностью) с доминирующими безвредными генами нормального дикого типа. Мутация бу­дет как бы поглощена популяцией, из-за чего за внешним од­нообразием особей одной популяции неизбежно скрывается их огромная генетическая разнородность. Четвериков это выра­зил так: «Вид, как губка, впитывает в себя гетерозиготные ге- новариации, сам оставаясь при этом все время внешне (фено­типически) однородным». Для жизни популяций эта осо­бенность может иметь два разных следствия. В огромном большинстве случаев при изменении условий среды вид мо­жет реализовать свой «мобилизационный резерв» генети­ческой изменчивости не только за счет новых наследственных изменений у каждой особи, но и благодаря «генетическому ка­питалу», доставшемуся от предков. Благодаря такому меха-

34

УРОВНИ БИОРАЗНООБРАЗИЯ

Г»

низму наследования популяция приобретает пластичность, без чего невозможно обеспечить устойчивость приспособлений в меняющихся условиях среды. Однако изредка возможен и дру­гой исход: редкие скрытые вредные мутации иногда могут встретиться у потомства совершенно здоровых родителей, при­водя к появлению особей с наследственными заболеваниями. И это — тоже закономерное, неистребимое биологическое яв­ление, своего рода жестокая плата популяции за поддержа­ние своей наследственной неоднородности.

С. С. Четверикову популяционная генетика обязана еще одним открытием, которое было изложено в маленькой, всего четыре страницы, заметке «Волны жизни», опубликованной в 1905 г. на страницах «Дневника Зоологического отделения Императорского общества любителей естествознания и этно­графии» в Петербурге. Он обратил внимание, что поскольку любая природная популяция имеет конечную, ограниченную численность особей, это неизбежно приведет к чисто случай­ным, статистическим процессам в распространении мутаций. При этом популяции всех видов постоянно меняют числен­ность (численность грызунов в лесу может от года к году изме­няться в сотни, а многих видов насекомых — в десятки тысяч раз) из-за чего в разные годы распространение мутаций в попу­ляциях может идти совершенно по-разному. От громадной по­пуляции птиц, насекомых, зайцев и других животных в труд­ный для переживания год может остаться всего несколько осо­бей, причем иногда совершенно нетипичных для бывшей популяции. Но именно они дадут потомство и передадут ему свой генофонд, так что новая популяция по составу генетического материала будет совершенно иной, чем прежняя. В этом прояв­ляется генетический «эффект основателя» популяции. Постоян­но изменяется и геном в популяциях человека. К. Альстрем на материале из Южной Швеции показал, что в популяции челове­ка следующему поколению передается далеко не весь имеющий­ся генофонд, а лишь избранная, а то и случайно «выхваченная» часть. Так, 20% поколения здесь вовсе не оставили потомков, зато 25% родителей, которые имели трех и более детей, дали 55% численности следующего поколения.

Постоянное давление мутаций и миграции генов, а также выщепление биологически менее приспособленных генотипов по сбалансированным полиморфным локусам создает пробле­му так называемого генетического груза. Понятие генетичес-

35

ГЛАВА I

кого груза ввел Г. Мёллер в 1950 г. в работе «Наш груз мута­ций». По его расчетам, от 10 до 50% гамет у человека содер­жат хотя бы одну вновь возникшую мутацию. Слабо вредящие мутации, если только они проявляются в гетерозиготе, спо­собны нанести популяции больший урон, чем полностью ре­цессивные летальные мутации. Каждый из нас является но­сителем по крайней мере восьми вредных мутаций, скрытых в гетерозиготном состоянии. Г. Мёллер в соавторстве с Н. Мор­тоном и Дж. Кроу (1956) произвели оценку генетического гру­за мутаций путем сравнения детской смертности в случайных выборках из популяций и в семьях, где имели место браки между родственниками. Они выделили собственно мутацион­ный груз, возникающий в результате мутационного давления, и сегрегационный груз как следствие расщепления. Ими пред­ложены расчеты летального эквивалента, соответствующего числу мутаций, дающих вместе летальный исход. Так, один летальный эквивалент может соответствовать одной леталь­ной мутации, двум полулегальным и т.д. Было показано, что средняя величина генетического груза у человека равна '3-5 летальным эквивалентам.

Ю. П. Алтухов с коллективом сотрудников (1989) в резуль­тате длительного изучения локальных стад рыб — больших изолированных друг от друга популяций с исторически сло­жившейся субпопуляционной структурой — пришел к выво­ду о высокой их устойчивости во времени и пространстве. Из­менчивость на уровне отдельных субпопуляций не играет са­мостоятельной роли и отражает локальные различия действия отбора в силу гетерогенности условий обитания, а также вли­яние случайных факторов. К аналогичному заключению еще раньше пришел Ю. Г. Рычков с сотрудниками при исследова­нии изолированных групп популяций человека — коренного населения циркумполярной зоны Евразии. Американский генетик и селекционер И. М. Лернер еще в 1954 г. выдвинул представление о генетическом гомеостазе, определив его как способность популяции приводить в равновесие свою генети­ческую структуру и противостоять внезапным изменениям. Один из важных механизмов генетического гомеостаза — от­бор в пользу гетерозигот, ведущий к сбалансированному рав­новесию. Вместе с тем этот же механизм служит причиной образования генетического груза, т. е. выщепляющихся гомо­зиготных классов особей. Такой груз был назван сбалансиро-

36

УРОВНИ БИОРАЗНООБРАЗИЯ

ванным и рассматривается как плата за поддержание гетеро­зигот, причисленных к генетической элите популяции.

Частоты генов в популяциях. Для описания ситуаций в популяционной генетике создано несколько математических моделей. Еще в 1928 г. Валунд установил, что если большая популяция разделена на К панмиктических групп, то в такой совокупности наблюдается эффект, подобный последствиям имбридинга в неподразделенной популяции: доля гомозигот возрастает на величину межпопуляционной вариансы частот генов за счет уменьшения доли гетерозигот.

Принципиальный вклад в описание локальной дифферен­циации частот генов в подразделенной популяции в терминах F-статистики был внесен С. Райтом, который обосновал не­сколько P-коэффициентов как показателей меры генетичес­кой дифференциации:

1) FlT — коэффициент имбридинга особи относительно целой(Г) популяции;

2) FIS — коэффициент имбридинга особи относительно субпопуляции (S);

3) FST — коэффициент имбридинга субпопуляции относи­тельно всей подразделенной популяции.

Соотношение между этими величинами задается равен­ством:

Коэффициент FST был предложен С. Райтом в 1943 г. и с тех пор неоднократно использовался при анализе распреде­лений частот генов в природных разделенных популяциях. Ко­эффициент Райта представляет большой интерес, так как по­зволяет вычленить некоторые важные влияния популяцион­ной подразделенности ца генетическую структуру. Для этой цели Райт предложил две оригинальные модели популяций: «островная модель» и «изоляция расстоянием».

Островная модель. Известны два варианта этой модели:

1) подразделенность вида на множество свободно скрещива­ющихся внутри себя субпопуляций генетически эффективного объема N, каждая из которых с равной вероятностью и с одинако­вой интенсивностью т обменивается генами с любой другой;

2) большая панмиктическая популяция («материк»), ок­руженная множеством изолированных, генетически диффе­ренцированных малых колоний («острова»), каждая из кото-

37

ГЛАВА I

рых получает гены с «материка» с интенсивностью т на поко­ление. Эффектами обратной миграции можно пренебречь.

Мерой случайной дифференциации субпопуляций в такой системе служит межгрупповая варианса генных частот:

и, следовательно, условие равновесия между дрейфом и миг­рацией генов в терминах Рет-статистики может быть записа­но как

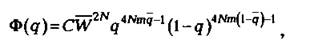
Более строгое решение относительно Vq задается формулой:

Как следствие взаимодействия дрейфа и миграции мы имеем вероятностное распределение частот генов. В лю­бой момент времени Т оно представляет функцию от как меры систематического давления миграции — выборочной вариансы частоты гена в одном поколении за счет изоляции, т. е. случайного дрейфа:

Если мы обозначим через qt частоту гена в і-й группе (р, = = qt = 1), а через q — частоту этого же гена в подразделенной популяции как в целом, то характерные для нее средняя час­тота гена и ее варианса будут

Л Л

Соответственно частоты зигот (генотипов) равны

38

УРОВНИ БИОРАЗНООБРАЗИЯ

Сопоставляя частоты генотипов с их частотами в популя­ции, характеризующейся коэффициентом инбридинга F, по­лучим соотношение

Поскольку величина F характеризует подразделенную популяцию в целом, то соответствующие частоты генотипов в ней равны частотам, которые были бы свойственны отдель­ной инбредной популяции. Иными словами, подразделен- ность популяции на отдельные скрещивающиеся группы формально эквивалентна наличию инбридинга во всей по­пуляции.

Общая формула стационарного распределения частот ге­нов в островной модели представляет p-функцию плотности вероятности следующего вида:

і

где р и q— частоты аллелей в субпопуляциях; pnq — сред­ние частоты аллелей для подразделенной популяции как це­лого; N — эффективный размер популяции; т — коэффици­ент миграции;

б) при объединенном эффекте воздействия изоляции, миг­рации и отбора

где все обозначения те же, что и в предыдущем выражении, &W — средняя внутрилокусная приспособленность популя-

39

ГЛАВА I

ции, определяемая через суммирование приспособленностей генотипов с учетом их частот.

Стационарные распределения могут описывать:

1) распределения частот аллелей многих локусов в одной и той же популяции в случае нейтральности или при пример­но одинаковом давлении отбора на каждый локус;

2) распределение генных частот какого-либо локуса в пос­ледовательных поколениях одной и той же стационарной по­пуляции;

3) распределение частот аллелей одного или нескольких ло­кусов в совокупности полностью или частично изолированных популяций.

Все эти три типа математически эквивалентны.

В островной модели величина коэффициента миграции ге­нов не зависит от степени удаленности популяций С. Райт (1943) и Г. Малеко (1955, 1957) математически исследовали ту же популяцию, в которой интенсивность обмена между суб­популяциями зависит от расстояния. Эта модель носит назва­ние «изоляциярасстоянием» и предполагает популяцию, не­прерывно распределенную на большой территории, существен­но превышающей радиус индивидуальной активности особи в репродуктивный период. Особенности локальной дифферен­циации в такой системе зависят от репродуктивной величины или «соседства», откуда случайно происходят родители, а так­же от размерности ареала.

Согласно С. Райту, размер соседства приблизительно со­ответствует числу генетически эффективных особей внутри круга, радиус которого равен удвоенному стандартному откло­нению ст протяженности миграции в одном направлении в дан­ном поколении, т. е. дистанции между местами рождения ро­дителей и потомков. ‘

Дифференциация очень велика, когда Nn ~ 20, намного меньше, но все же достаточно выражена при Nn ~ 200 и почти соответствует панмиксии, когда Nn = 2000.

М. Кимура (1953) предложил другую модель популяцион­ной структуры. Она носит название «лестничная модель» а представляет ситуацию, промежуточную между райтовской островной моделью и моделями непрерывно распределенных популяций С.Райта и Г. Малеко.

Лестничная структура миграции генов. В этой модели, как и в островной, рассматривается совокупность колоний, од.та-

40

УРОВНИ БИОРАЗНООБРАЗИЯ

ко обмен особями происходит только между соседними коло­ниями, и, таким образом, непосредственно зависит от удален­ности колоний друг от друга.

При равновесии межпопуляционная варианса генных частот

p(l-p)

интенсивность миграций между смежными колониями, а тт — давление миграции генов извне на всю совокупность колоний (соответствует коэффициенту т в островной модели С. Райта). Когда 0, то а = 1 - , Р = 0, и выражение сводит­

ся к формуле Райта. Островная модель Райта, таким образом представляет собой частный случай лестничной модели в отсут­ствие обмена генами между соседними колониями.

Важнейшая особенность подразделейности, также иссле­дованная теоретически, — способность таких популяций под­держивать значительно большее генетическое разнообразие в сравнении с панмиктическими популяциями сопоставимо­го размера. Считается, что именно такое разнообразие и по­зволяет популяции более эффективно реагировать на измене­ния среды и вслед за ними изменять свою генотипическую структуру — тезис, играющий решающую роль в эволюцион­ной концепции Райта, известной под названием «теория сме­щающегося равновесия», в которой «поверхность» Wизобра­жается топографической картой с вершинами и долинами на едином ландшафте генных комбинаций. В этой модели важ­нейшее заключение состоит в том, что эволюционный процесс зависит от постоянно смещающегося баланса между фактора­ми стабильности и изменений и что наиболее благоприятное условие для этого — наличие тонко подразделенной структу­ры, в которой изоляция и перекрестная коммуникация под­держиваются в соответствующем равновесии».

<< | >>
Источник: Лебедева Н.В., И др.. Биологическое разнообразие: Учеб, пособие для студ. высш. учеб, заведений. — М.: Гу манит, изд. центр ВЛАДОС,2004. — 432 с.. 2004

Еще по теме ГЕНЕТИЧЕСКОЕ РАЗНООБРАЗИЕ:

  1. Генетическая детерминация в психофизиологии. Воздействие генетических и средовых (эндокринных, сигнальных, психоло­гических) факторов на развитие нервной системы.
  2. V Отклонение и разнообразие
  3. 13.2. Характерологическое разнообразие
  4. Генетическое определение
  5. Разнообразие и мулътикультурализм
  6. Генетические доказательства
  7. 1.2.7. Генетический алгоритм обучения
  8. Разнообразие исходного растительного материала...
  9. 1.3. Разнообразие идей в предпринимательстве
  10. Диагностика генетических заболеваний.
  11. Тема. Новые данные о разнообразии выражения тем
  12. 25.3. Промышленно-генетическая классификация торфов
  13. Разнообразие новаций и их относительный характер
  14. Генетическая психология Жана Пиаже