Расчет полной мощности смесителя в зависимости от его конструктивнотехнологических параметров
Вычисляем величину мощности Ni,mp,которую необходимо затратить на преодоление силы трения при движении бетонной смеси по геликоидной поверхности iлопасти:
Здесь Ai,mpвеличина работы затрачиваемая на преодоление силы трения при движении по геликоидной поверхности /-ой лопасти.
Величина этой работы определяется следующим соотношением:
где dl- элемент длины, равный:
Величина силы трения определяется соотношением:
где f- коэффициент трения бетонной смеси по поверхности лопасти;
Pi- величина силы нормального давления на поверхность /-ой лопасти, равная:
здесь ftfιi- величина центробежной силы, возникающей в результате вращения бетонной смеси по поверхности винтовой лопасти, Н.
Величина этой силы определяется согласно следующему соотношению:
Найдем величину массы материала т, участвующую во вращательном движении. Величину данной массы можно найти исходя из следующего выражения: 
Вычисление интеграла в (2.43) позволяет получить соотношение вида:
- представляет собой проекцию веса на нормаль к поверхности лопасти.
д - ускорение свободного падения, м/с2.
С учетом (2.42) и (2.45) формула (2.41) принимает вид:
Подстановка (2.46) в (2.40) позволяет получить следующее выражение для силы трения:
На основании (2.45) с учетом (2.39) выражение (2.38) принимает следующий вид:
Вычисление интеграла в (2.48) приводит к следующему результату:
Подстановка (2.47) в (2.37) позволяет получить следующий результат:
На основании соотношения (2.50) находим, что величина мощности, затрачиваемая на преодоление силы трения смеси о геликоидную поверхность всех лопастей смесителя, будет определяться соотношением вида:
где z- число лопастей смесителя.
Подстановка (2.50) в формулу (2.51) с учетом (2.28), (2.26), (2.23) позволяет получить следующие результаты:
Таким образом, полученное соотношение (2.52) показывает величину мощности, затрачиваемую на преодоление силы трения бетонной смеси о поверхности всех лопастей смесителя (рис. 2.6) с учетом их длины и частоты вращения ротора.
Рисунок 2.6. График зависимости мощности Nτp,которую необходимо затратить на преодоление силы трения при движении бетонной смеси по поверхности лопасти от длины лопасти lи частоты вращения ротора n
Анализ полученной зависимости показал, что при увеличении частоты вращения ротора в 1,7 раза мощность, затрачиваемая на преодоление силы трения при использовании лопастей минимальной длины (0,14 м) возрастает в 2,6 раза.
А при использовании лопастей максимальной длины (0,18 м) возрастает в 2,4 раза,что в 1,27 раза меньше чем при использовании лопастей минимальной длины при максимальной частоте вращения ротора, а для минимальной частоты в 1,4 раза. Что можно объяснить тем, что винтовое движение материала при максимальной частоте вращения ротора организуется не по всей поверхности лопасти. При использовании лопастей минимальной длины образование винтового движения происходит при контакте материала со всей поверхностью лопасти, а с использованием лопастей максимальной длины винтовое движение организуется при меньшей площади контакта материала с поверхностью лопастей.
Для вычисления величины мощности затрачиваемой на приведение во вращательное движение бетонной смеси по поверхности /-ой лопасти воспользуемся следующим соотношением:
где Ti- кинетическая энергия вращательного движения, величина которой
равна:
здесь Ui- модуль скорости, величина которой определяется формулой (2.36).
Подстановка формул (2.44) и (2.43) в (2.54) и учитывая (2.36) приведет к следующему результату:
На основании формулы (2.55) с учетом (2.18) и (2.28) формула (2.53) принимает вид:
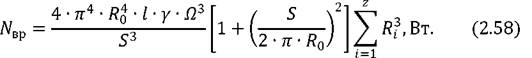
Суммарная мощность, затрачиваемая на приведение во вращательное движение бетонной смеси по геликоидным поверхностям всех лопастей будет определяться соотношением: 
Подстановка (2.56) в (2.57) приводит к следующему результату:
Полученное соотношение (2.58) определяет мощность, затрачиваемую на приведение во вращательное движение бетонную смесь по поверхностям всех лопастей в зависимости от конструктивных и технологических параметров. Анализ полученной зависимости (рис.
2.7) показал, что при увеличении частоты вращения ротора с 0,32 с-1 до 0,55 с-1 мощность, затрачиваемая на приведение смеси во вращательное движение увеличится в 1,2 раза при использовании лопастей длиной 0,14 м по сравнению с лопастями длиной 0,18 м.
Рисунок 2.7. График зависимости мощности, затрачиваемой на приведение смеси во вращательное движение Nβpот длины лопасти lи частоты вращения ротора n
Величина силы сопротивления сдвигу материала по боковым граням /-ой
лопасти в плоскости вращения определяется величиной:
где τ- величина напряжения сдвига материала, характеризующая его вязкие свойства, Па.
Величину
определяем на основании расчетной схемы на рис. 2.8:
Соотношение (2.60) можно привести к следующему виду:
Подставив (2.61) в (2.59) получим результат:
Рисунок 2.8. Расчетная схема для определения величины R2,iи R2,i
На основании соотношения (2.62) можно определить величину работы затрачиваемой /-ой лопастью смесителя на преодоление сопротивления сдвигу за полный оборот ротора смесителя:
С учетом соотношения (2.62) формула (2.63) примет вид:
Согласно выражению (2.64) величина мощности, затрачиваемая на преодоление сопротивления сдвигу /-ой лопастью смесителя будет равна:
С учетом (2.64) формула (2.65) приводится к виду: 
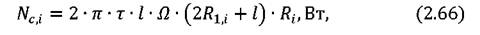
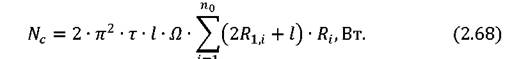
На основании (2.66) суммарная величина мощности, затрачиваемая на преодоление сопротивления сдвигу всеми лопастями определяется:
Подстановка (2.66) в (2.67) позволяет окончательно получить следующее выражение:
t — ±
Анализируя зависимость мощности, затрачиваемой смесителем (рис.
2.9) напреодоление силы сопротивления сдвигу материала по боковым граням лопасти от длины лопасти и частоты вращения ротора можно придти к выводу, что при увеличении частоты оборотов ротора с 0,32 с-1 до 0,55 с-1 при использовании лопастей длиной 0,14 м мощность возрастает в 1,7 раза, достигнув 1,85 кВт, и в 1,7 раза достигнув 1,4 кВт при использовании лопастей длиной 0,18 м, что в 1,3 раза меньше, чем при лопастях длиной 0,14 м.
Рисунок 2.9. График зависимости мощности Nc,затрачиваемой на преодоление силы сопротивления сдвигу материала по боковым граням лопасти от длины лопасти lи частоты вращения ротора n
На основании полученных соотношений (2.52), (2.58), (2.68) получаем соотношение, определяющее суммарную N0мощность:
Анализ формулы (2.70) позволяет сделать вывод о том, что первые два слагаемые пропорциональны частоте вращения смесителя nв третьей степени, а последнее прямо пропорционально n.
Рисунок 2.10. График зависимости полной мощности N0от лопасти от длины лопасти lи частоты вращения ротора n
Таким образом, полученная зависимость (2.70) позволяет определить полную мощность, затрачиваемую смесителем в зависимости от его технологических и конструктивных параметров [93]. Анализ зависимости полной мощности, затрачиваемой роторным смесителем (рис. 2.10) при изменении значений частоты вращения ротора и длины используемых лопастей показал, что:
- минимальное значение мощности, равное 850 Вт достигается при использовании лопастей длиной 0,18 м и частоте вращения ротора 0,32 с-1;
- максимальное значение мощности, равное 1,86 кВт достигается при использовании лопастей длиной 0,14 м и частоте вращения ротора 0,55 с-1;
- при увеличении длины лопастей в 1,2 раза снижается потребляемая смесителем мощность в 1,3 раза, а при увеличении частоты вращения ротора в 1,7 раза потребляемая смесителем мощность возрастает в 1,8 раза.
2.4.
Еще по теме Расчет полной мощности смесителя в зависимости от его конструктивнотехнологических параметров:
- Существующие методики расчета основных конструктивнотехнологических параметров роторных смесителей принудительного действия
- Зависимость предела прочности бетона на сжатие от конструктивнотехнологических параметров роторного смесителя σ=f(n, t, l)
- 4.3.1. Исследование зависимости удельного расхода электроэнергии смесителя от его конструктивных и технологических параметров
- 1.5. Методики расчета конструктивно-технологических параметров смесителей
- Исследование зависимости коэффициента неоднородности смеси от конструктивных и технологических параметров лопастного смесителя
- Определение величины полной мощности высокоскоростного смесителя
- Исследование зависимости предела прочности на отрыв клеевых растворов для кладки плитки от основных конструктивных и технологических параметров лопастного смесителя
- Расчет мощности смесителя с высокоскоростным режимом смешивания
- Определение взаимосвязи между конструктивными параметрами барабана смесителя и технологическими параметрами
- Анализ зависимости удельного расхода электроэнергии смесителя от основных параметров установки
- Определение рациональных конструктивно-технологических параметров смесителя роторного типа на основе экспериментальных исследований
- Расчет потребляемой мощности, необходимой для преодоления сопротивления сухой смеси в результате движения цилиндрических стержней в корпусе планетарного смесителя