<<
>>

Д

ДАВЛЕНИЕ ЛЬДА — силовое воздействие, оказываемое ледяным покровом на соприкасающиеся с ним берега, гидротехнические сооружения, суда и пр. Различают динамическое давление льда, возникающее за счет энергии движения ледяных масс, и статическое, возникающее за счет теплового расширения или сжатия льда.

Величина статического давле­ния в условиях южных рек состав­ляет 10—30 т/пог. м, в условиях се­верных рек 40—60 т/пог. м. Величи­на динамического давления зависит от массы и скорости движения льдин.

ДАЛЬНЕИЗВЕСТИТЕЛЬ УРОВ­НЯ ВОДЫ — в гидрометрии — редко употребляемое название дистанцион­ной системы измерения или сигнали­зации, передающей по радио или проводам, по вызову или автомати­чески при достижении критических положений, или автоматически в за­данные сроки сведений о высоте стояния воды.

ДВОЙНЫЕ ПОПЛАВКИ — см.

Глубинный поплавок.

ДВУХМЕРНАЯ ВОЛНА — вол­на, все элементы и характеристика которой исчерпывающе проявляются в одной вертикальной плоскости (в двух измерениях) II в любой момент времени остаются неизменными в направлении, перпендикулярном к этой плоскости (в третьем измере­нии).

См. Ветровые волны.

ДВУХФАЗНЫЕ (БИФАЗНЫЕ) ПОТОКИ жидкости — потоки, со­держащие во взвешенном состоянии:

а) твердые частицы, удельный вес которых может быть и больше и меньше удельного веса жидкости;

б) капли другой более легкой или более тяжелой жидкости;

в) пузырьки газа, в частности, заполненные воздухом или парами дайной жидкости. К Д. п. ж. отно­сятся наносонесущие потоки, потоки, транспортирующие кристаллы льда, шуяу, а также аэрированные потоки.

ДЕБИТ (расход)—количество воды, даваемое родником, буровой скважиной «ли колодцем в единицу времени. Выражается обычно в л/с или в м3/с, м3/сутки.

дебитографическая КРИ­ВАЯ— см Тахиграфическая кривая.

ДЕИГИШ — внезапное обруше­ние подмываемых потоком берегов русел в результате их сползания, обусловленного резкими изменениями положения депрессионной кривой в связи с большими и резкими коле­баниями уровня воды в реке.

Д. наблюдается на реках, несущих большое количество мелкозернистых и илистых наносов, благодаря кото­рым на берегах могут формироваться мощные толщи отложений. Особенно известны Д. на р. Амударье.

ДЕЙСТВИТЕЛЬНАЯ (ИСТИН­НАЯ) СКОРОСТЬ ДВИЖЕНИЯ ПОДЗЕМНЫХ вод — вычисленная скорость, полученная путем деления расхода подземного потока на дейст­вительную площадь фильтрующего сечения (площадь пор), или опреде­ленная методом индикаторов по рас­стоянию между двумя пунктами наблюдения и по времени прохожде­ния индикатора между ними.

ДЕЙСТВУЮЩАЯ ПЛОЩАДЬ БАССЕЙНА — 1) относительная (в долях единицы) площадь, с которой осуществляется сток при заданном слое поступившей на поверхность бассейна воды и заданной поверх­ностной емкости бассейна; 2) пло­щадь водосбора, уменьшенная на ве­личину площади бессточных пониже­ний.

ДЕЙСТВУЮЩИЙ ДИАМЕТР ЧАСТИЦ ГОРНЫХ ПОРОД (dl0) -

наибольший диаметр (в мм) наибо­лее мелких частиц, составляющих 10% (по весу) от общей массы грунта. Иначе говоря, di0 равен диа­метру отверстия сита, пропускающе­го 10% массы грунта. Величина dlD устапаилишается ио кривой грануло­метрического состава грунта и ис­пользуется при вычислении коэффи­циента фильтрации песков по их ме­ханическому составу.

См. также эффективный диаметр донных отложений.

ДЕЛЕНИЕ ВОД — перераспре­деление вод между соседними водо­сборами, происходящее обычно в верховьях равнинных рек и не сопро­вождающееся процессом разветвле­ния какой-либо реки на рукава. Очень часто Д. в. происходит лишь в периоды половодий или при павод­ках и в этих случаях носит назва­ние временного.

Примеры. Сток из оз. Ва­сильково происходит и в систему р. Волти и в бассейн р. Волхов; из оз. Парусного на полуострове Канин вытекает р. Чижа в Мезенскую губу Белого моря и р. Чеша· в Чешскую губу Баренцева моря. Временное де­ление вод устанавливается весной в истоках р. Днепра и притоках р. Об­щи, уходящей в систему р. Западной Двины, и на р.

Нуре, часть стока которой весной сбрасывается в р. Ишим.

ДЕЛЛИ — см. Безрусловые лож­бины стока.

ДЕЛЬТА — особая форма устья реки, обычно возникающая на мел­ководных участках моря «ли озера при впадении в них рек, несущих большое количество наносов; харак­теризуется наличием многочисленных Р5Т4авов и протоков, располагающих­ся часто веерообразно. C течением времени Д. постепенно увеличивается в размерах, двигаясь в сторону во­доема. В условиях приливо-отлив­ных течений Д. не образуется. Д., образующаяся путем заполнения на­носами вдающегося в сушу залива, называется Д. выполнения, а Д., развивающаяся за пределы общей линии побережья,— Д. выдвинутой.

См. также устьевая область реки.

ДЕЛЮВИЙ —продукты выветри­вания, смещенные к подножию скло­на в результате процесса денудации.

ДЕНДРИТОВЫЙ ТИП РЕЧ­НОЙ СЕТИ — древовидно разветв­ленная речная сеть, возникающая в районах, сложенных однородными породами. В гидрологии термин употребляется редко.

ДЕНИВЕЛЯЦИЯ ВОДНОЙ ПО­ВЕРХНОСТИ — перекос уровенной ноиерхиости воды водоемов, возника­ющий в результате действия ветра (сгоішо-ііагонньїе явления) или ссй- IHCH ых колебаний. Противопоставле­ние сгонов-нагонов и сейш не всегда правомерно, так как вторые часто являются следствием первых или формой их проявления.

ДЕНИТРИФИКАЦИЯ ВОДЫ— процессы восстановления нитритов, приводящие к образованию нитри­лов, аммиака, молекулярного азота. Д. в. в очистных сооружениях проис­ходит при недостатке кислорода.

ДЕНУДАЦИЯ — совокупность процессов разрушения горных пород и перемещения образующегося При этом обломочного материала под влиянием воды, ветра, льда и не­посредственно силы тяжести в пони­женные участки земной поверхности, где происходит его накопление. Д. приводит к сглаживанию и к обще­му понижению земной поверхности. Нижний уровень, к которому пере­мещаются продукты разрушения на каком-либо участке, называется ба­зисом Д. Показателем интенсивности Д. может служить величина стока наносов в реках; иногда термин Д. употребляется для обозначения толь­ко процессов сноса продуктов вы­ветривания путем плоскостного смы­ва, производимого дождевой водой (в геоморфологии — дождевая Д.).

ДЕПРЕССИОННАЯ ВОРОН­

КА ■— см. Депрессионная поверхность.

ДЕПРЕССИОННАЯ КРИВАЯ — линия, образованная пересечением вертикальной плоскостью депрессион-, ной поверхности подземного потока

по направлению его течения.

ДЕПРЕССИОННАЯ ПОВЕРХ­

НОСТЬ — пьезометрическая поверх­ность напорных вод или свободная поверхность безнапорных вод, сни­жающаяся к месту их выхода на по­верхность земли, к месту перетека­ния в более глубокие водопроницае­мые породы, к пункту откачки (сква­жина, колодец, шахта и др.). В пос­леднем случае Д. п. имеет форму воронки и называется депрессионной воронкой.

ДЕПРЕССИЯ — в геоморфоло­гии — термин, применяемый для обо­значения в общей форме понижения на земной поверхности без конкрети- зацпн причин происхождения и пла­новых очертаний этого понижения.

ДЕРИВАЦИЯ •— создание сосре­доточенного напора у места располо­жения энергетических агрегатов гид­роэлектростанций путем устройства водоводов (каналов, лотков, тунне­лей), трубопроводов), имеющих мень­ший уклон, чем уклон реки, из кото­рой забирается вода, транспортируе­мая по водоводу. Величина со­средоточенного напора возрастает с увеличением длины водовода и раз­ности уклонов реки и водовода.

ДЕСУКЦИЯ — процесс захвата (отсасывания) корнями растений из почвы влаги, расходуемой зачем на транспирацию и образование расти­тельной массы.

См. также сосущая сила расте­ний.

ДЕТРИТ — см. Гидробионты.

ДЕФИЦИТ ВЛАГИ (НЕДОСТА­ТОК НАСЫЩЕНИЯ) ПОЧВОГРУН-

TA — величина, характеризующая не­достаток влаги в почвогрунте до его полного увлажнения; равен разности между полной влаго-емкостью и фак­тической влажностью в данный мо­мент времени; может быть выражен или в миллиметрах слоя воды, или в процентах от веса (или объема) сухого почвогрунта.

ДЕФИЦИТ ВЛАЖНОСТИ ВОЗ­ДУХА (rf) — разность между упру­гостью пара, насыщающего прост­ранство при данной температуре воздуха, и упругостью фактически содержащегося в воздухе водяного пара на данном уровне (обычно на уровне установки психрометрической будки — 2 м).

ДЕФИЦИТ КИСЛОРОДА (В ВОДЕ) — разность между макси­мальным количеством кислорода, ко­торое при данной температуре и дав­лении может находиться в воде, и ко­личеством кислорода, фактически со­держащимся в исследуемой воде.

См. также насыщенность воды кислородом.

ДЕФИЦИТ СРЕДНЕЙ СКО­РОСТИ ПОТОКА — см. Относитель­ный дефицит средней скорости пото­ка.

ДЕФЛЯЦИЯ — см. Выдувание.

ДЕЩИЛЬ — в настоящее время мало употребляемый в гидрологии термин для обозначения величин, имеющих обеспеченность 10% (верх­няя Д.) н 00% (нижняя Д.), в ряду расходов поды, уровнем или иных характеристик гидрологического ре­жима.

ДЕЭМУЛЬЕИРОВАНИЕ ВО­ДЫ — процесс разрушения эмульсий и очистка от них воды.

ДЕЯТЕЛЬНЫЙ СЛОЙ —1) H общем виде — слой почвы (включая растительность) или воды, тепловое состояние которого обусловливается радиационными процессами и процес­сами тепло- и влагообмена. с атмо­сферой; 2) в условиях болота — верхний слой торфяной залежи, включающий слой еще не разложив­шихся остатков растений, характе­ризующийся крупными порами и вы­сокой водопроводимостью; в преде­лах его происходят колебания уров­ня грунтовой воды и наиболее ин­тенсивно идут процессы разложения и обмена водой и энергией с атмо­сферой; 3) в области вечной мерзло­ты — слой почвогрунта, ежегодно промерзающий зимой и оттаивающий летом. В этом случае мощность Д. с. может изменяться от несколь­ких сантиметров до нескольких мет­ров в зависимости от района, соста­ва пород, экспозиции склонов, ха­рактера растительности и т. п.

Синоним: сезоииопршиерзающий слой.

ДИАГРАММА СОСТОЯНИЯ ВОДЫ — график, характеризующий соотношение между различными фа­зовыми состояниями воды (пар, во­да, лед) при различных значениях температуры и давления

Ветвь OA Д. с. в. называется кривой парообразования; она опреде­ляет геометрическое место точек, раз­граничивающих жидкое и парообраз­ное оостояние воды при соответству­ющих значениях температуры и дав­ления.

Ветвь OB есть кривая сублима­ции, т. е. геометрическое место точек, соответствующих равновесию твер­дой и парообразной фаз.

Ветвь ОС называется кривой плавления. Точка О, через которую проходят все ветви Д. с. в., пазы вается тройной точкой, в которой имеет место равновесие всех трех фаз. Для воды эта точка имеет да­вление 4,6 мм и температуру 0,007° С.

Д. с. в. делится на три области: в зоне COA устойчивым является жидкое состояние; в области ЛОВ вода находится в состоянии пара, и в области BUC — в состоянии льда.

ДИАТОМОВЫЕ ВОДОРОС­ЛИ— одноклеточные и коллоидные водоросли микроскопических разме­ров желтого цвета; оболочки Д. в. состоят из двух створок, которые благодаря включениям кремнезема превращаются в прочный панцирь. В озерах образуются отложения диато­митов.

ДИГИДРОЛЬ — см. Вода.

ДИНАМИЧЕСКАЯ КРИВАЯ ОБЪЕМОВ ВОДОХРАНИЛИЩА —

см. Кривая объемов (емкостей) во­дохранилища (озера).

динамическая норма ГО­ДОВОГО СТОКА- - величины годо­вого стока рек, получаемые путем последовательного скользящего ос­реднения. Указанное осреднение производится до тех пор, пока откло­нения годового стока конкретных лет от полученной осредненной вели­чины будут иметь случайный некор­релированный характер. Иначе гово­ря, Д. н. г. с.— это такая функция времени, в общем виде со случайны­ми амплитудами и периодами, откло­нения от которой стока каждого конкретного года являются чисто случайными.

Таким образом, Д. н. г. с. пред­ставляет наиболее закономерную часть в колебаниях годового стока, которая связана с изменением кли­матических факторов. В свою оче­редь отклонения годового стока от динамической нормы обусловлены всеми иными причинами, определяю­щими в совокупности случайный ха­рактер этих отклонений, обраоующих статистический ряд, обычно подчиня­ющийся нормальному (или близко­му к нему) закону распределения.

ДИНАМИЧЕСКАЯ ОСЬ ПОТО­КА— линия, соединяющая (в про­дольном направлении потока) точки с наиболее высокими значениями скорости в поперечном сечении пото- каї. Линию, соединяющую наиболь­шие 'скорости на поверхности реки, называют стрежнем. Иногда эти тер­мины .отождествляют.

ДИНАМИЧЕСКАЯ СКОРОСТЬ (о*) — величина, имеющая раз­мерность скорости и определяемая формулой

где το — касательное напряжение в жидкости, возникающее в результа­те турбулентного перемешивания; р — плотность жидкости.

Принимая для случая равномер­ного движения то = yhi, где у — все единицы объема жидкости; h — глу­бина потока; і — уклон, получим

где g — ускорение свободного паде­ния.

Средняя скорость потока отли­чается ОТ O3. множителем

где C — коэффициент Шези.

Синоним; скорость трения у стенки.

ДИНАМИЧЕСКИЕ ЗАПАСЫ ПОДЗЕМНЫХ ВОД — то же, что естественные ресурсы подземных вод; понятие, обычно используемое ' в практике водоснабжения.

ДИНАМИЧЕСКИЙ КОЭФФИ­ЦИЕНТ вязкости — см. Вязкость жидкости.

ДИНАМОМЕТР (в гидромет­рии) — прибор, позволяющий изме­рять CKOipOCTb течения в виде функ­ции давления, производимого пото­ком на приемную часть прибора. Ши­роко известным Д. является гидро­динамическая трубка (трубка Пито).

В XIX в. и раньше, до изобре­тения вертушки, в гидрометрии при­менялись механические Д. с отсчетом скорости (давления) по углу откло­нения подвеса — тела, погруженного її ноток (гидрометрический маятник, і идрофлюгер, трос Вильямса и др.), и Д. с весовой компенсацией давле­ння (гидрометричсекне весы, гидро­метрическая штанга, безмен -и др.). В настоящее время эти приборы по­теряли всякое значение.

Известны современные гидроди- намометры с электрическими систе­мами восприятия, передачи и реги­страции (тензометрические, индукци­онные и др.), которые находят при­менение в лабораториях.

ДИСК БЕЛЫЙ (СЕККИ) —при­меняется для оценки прозрачности воды в водоеме и служит фоновым экраном при определении цвета воды по стандартной шкале цветов. Про­зрачность оценивается той глубиной погружения диска (в метрах), при достижении которой он становится невидимым. Цвет воды определяют на фоне диска, погруженного иа по­ловину глубины оценки прозрачности. Наблюдения ведут в полуденные ча­сы. Диаметр Д. б. 0,3 м; диск окра­шен цинковыми белилами.

ДИСПЕРСИЯ — в математиче­ской статистике и теории вероятно­стей— мера рассеивания рассматри­ваемой величины от ее среднего зна­чения; равна среднему арифметиче­скому значению квадратов отклоне­ний величин Х|, Х-2 . . . ,Xn OT ИХ

среднего арифметического

Положительное значение квад­ратного корня из Д. называется сред­ним квадратичным отклонением (о).

ДИСПЕРСИЯ статистиче­ской СОВОКУПНОСТИ .,— квадрат среднего квадратического отклонения.

ДИСПЕРСОИД— смесь -одно­родной жидкости с твердыми части­цами, удельный вес которых больше удельного веса жидкости. В таком двухфазном Д. жидкая фаза яв­ляется активной, переносящей, а твердая фаза при не очень большой концентрации — пассивной, переноси­мой. Обычно, в теориях движения наносор, принимается, что продоль­ная скорость твердой частицы не отличается от продольной скорости и прилегающей к ней массы жид­кости, а поперечная компонента от­личается от соответствующей CKO- рости жидкости иа скорость свобод ного падения частицы в стоячей во­де. Может рассматриваться как одна из разновидностей, двухфазной жид­кости.

ДИСПЕТЧЕРСКИЙ ГРАФИК —

выраженные в графической форме правила управления режимом на­полнения η сработки водохранилища. Выполнение этих правил дает воз­можность:

а) обеспечивать получение га­рантированной отдачи воды из водо­хранилища;

б) выявлять избытки воды для использования их на повышение от­дачи;

в) смягчить перебои отдачи за пределами расчетной обеспеченности, уменьшая глубину перебоев за счет увеличения их продолжительности;

Диспетчерский график при сезон­ном регулировании стока.

1 — зона полной производптельпостп установки, 2 — зона повышенной отда­чи. 3 — зона гарантированной отдачи,

4 — зона ограничений.

г) снижая!? холостые- сбросы;

д) устранять переполнение водо­хранилища.

На Д. г. по оси ординат откла­дывают емкость водохранилища или соответствующие им отметки верхне­го бьефа, а по оси абсцисс — время года.

На Д. г. строятся следующие ха­рактерные линии:

I. П ротивоперебойная линия, ограничивающая верхнюю границу зоны гарантированной отдачи, состо­ит из двух ветвей: а) ветви опорож­нения, ограничивающей упомянутую зону в период межени и не допуска­ющей чрезмерной сработки водохра­нилища; б) ветви весеннего напол­нения, обеспечивающей создание к концу половодья необходимого запа­са воды для поддержания отдачи в межень.

IL Противосбросная линия, огра­ничивающая нижнюю границу зоны с отдачей, повышенной в пределах до максимального водопотребления установки (во избежание сбросов), состоит из двух ветвей:

а) ветви предполоводного опо­рожнения, обеспечивающей освобож­дение к началу половодья некоторой части емкости для аккумуляции вы­соких вод;

б) ветви наполнения, предотвра­щающей, чрезмерно быстрое заполне­ние водохранилища (во избежание сбросов).

ДИССИМИЛЯЦИЯ — растеп­ление органического вещества с ис­пользованием кислорода и отдачей двуокиси углерода.

ДИССИПАЦИЯ ЭНЕРГИИ — затрата механической энергии на пре­одоление сопротивления движению, превращение части этой энергии в тепловую.

Синоним: рассеяние энергии.

ДИСТАНЦИОННАЯ СИСТЕМА ИЗМЕРЕНИЯ — система, позволяю­щая получать (отсчитывать, регист­рировать) результат измерения неко­торой величины в некотором удале­нии от того> места, где находится приемник 'измерительного устройства.

ДИСТАНЦИОННЫЕ ГИДРО­МЕТРИЧЕСКИЕ УСТАНОВКИ — оборудование гидрометрического створа, позволяющее дистанционно производить изміерение скорости те­чения, глубин потока, отбор проб воды для определения мутности и производства гидрохимического ана­лиза. Представляют ообой трос, на­тянутый через реку, по которому пе­ремещается каретка, несущая гидро­метрический прибор (вертушку, бато­метр) и груз. Управление перемеще­нием каретки вдоль троса и по вер­тикали осуществляется лебедкой, установленной на берегу. Имеются конструкции с ручным и электриче­ским перемещением каретки.

ДИСТРОФНЫЕ ОЗЕРА —озера, бедные питательными веществами и, следовательно, растительным планк­тоном. Распространены с сильно за­болоченных районах; вода Д. о. от­личаются малой прозрачностью, жел­тым или бурым (от большого содер­жания гуминных веществ) цветом; минерализация воды мала, содержа­ние кислорода пониженное из-за рас­хода его па окисление органических веществ.

ДИФРАКЦИЯ ВОЛН-искрив ление гребней волн, не связанное с изменением фазовой скорости, при котором не происходит изменений расстояния между гребнями. Д. в. наблюдается за, поворотами приглу- бых берегов, за оградительными дам­бами, на участках расширений водое­мов.

См. также рефракция волн.

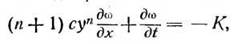
ДИФФЕРЕНЦИАЛЬНОЕ УРАВ­НЕНИЕ СТОКА — уравнение, выра­жающее закономерность изменения во времени (Z) и по длине (%) рас­хода и площади живого сечения (ω) потока воды, Д. у. с. является след­ствием уравнения неразрывности, ко­торое для случая неустановившегося движения с учетом бокового притока (P) имеет вид

а учитывая приближенное уравнение движения Q=f(ω), и, следователь­но,

волны распластывания потока, в частности скорость движения пика паводка вдоль потока.

В частном случае, приняв ско­рость V постоянной по длине потока, получим дифференциальное уравне­ние стока в виде

которое отличается от зависимости (*) тем, что в него входит скорость V вместо скорости волны распласты­вания V.

Дистанционное устройство ГР-64 с электроприводом.

Применительно к условиям склонового стока на единицу ширины склона для фазы нарастания стока (период дождя) Д. у. с., имея в ви­ду, что v — cyn, V— (п+1)суп, за­пишется в виде

Для фазы спада стока после конца водообразования

где п и с—параметры уравнения, характеризующие форму склона· и условия протекания по нему воды, в частности, в отношении оказывае­мых им сопротивлений; у — толщина стекающего слоя воды; ht— интен­сивность водообразования; К—ин­тенсивность впитывания после конца водообразования.

ДИФФЕРЕНЦИАЛЬНЫЕ МА­НОМЕТРЫ (ДИФМАНОМЕТРЫ) — приборы, позволяющие измерять раз­ность давлений в двух каких-либо точках пространства. В схеме V-об- равные Д. м. представляют собой два сосуда цилиндрической формы различных диаметров, заполненные ртутью и соединенные между собой трубкой. Разность давления оцени­вается по разности уровней жидко­сти в одном и другом колене Д. м. Используются в качестве одного из главных узлов ,расходомеров.

ДИФФЕРЕНЦИР ΟΒΛΗΗΟΕ УРАВНЕНИЕ ВОДНОГО БАЛАН­СА· см. Уравнение водного баланса.

ДИФФУЗИОННАЯ ТЕОРИЯ ДВИЖЕНИЯ НАНОСОВ —теория взвешивания и перемещения потоком HaiHOCOB, в основе которой лежит об­щее уравнение турбулентной диффу­зии.

Процесс распространения в по­токе частиц с отличающимся от во­ды удельным весом рассматривается как диффузионный при особом уче­те действия силы тяжести на части­цы. Теория изучает условия рассея­ния взвешенных (растворенных) ве­ществ в потоке и их переноса из зон большей в зоны меньшей концентра­ции. Движение частиц рассматри­вается как состоящее из переносного движения вместе с объемом воды, участвующем в вихревом турбулент­ном движении, и поступательного движения потока н их относительно­го движения нод влиянием силы тя­жести внутри указанных объектов, (.йсорость относительного движения частиц принимается одинаковой в по­токе и в неподвижной воде и назы­вается гидравлической крупностью частиц. Интенсивность турбулентного перемешивания у взвешенных ве­ществ пропорциональна градиенту их оореднешюй (во времени) концентра­ции. Коэффициентом пропорциональ­ности является коэффициент турбу­лентной диффузии, находимый по специальным формулам, в значитель­ной мере основанным на эмпириче­ских данных. На основании диффу­зионной теории получены существен­ные результаты, позволяющие ре­шать, хотя пока и приближенно, многие практические задачи, относя­щиеся к движению наносов в реках и водохранилищах и к деформации их ложа. Диффузионная теория наи­более полно развита в работах В. М. Маккавеева.

См. также уравнения турбулент­ного движения η уравнения турбу­лентной диффузии.

ДИФФУЗИОННЫЙ МЕТОД ОПРЕДЕЛЕНИЯ ИСПАРЕНИЯ — см. Метод турбулентной диффузии.

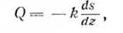
ДИФФУЗИЯ — распределение растворенного в жидкости (или взве­шенного в газе) вещества по всему объему раствора (или газа) из места большей концентрации к местам с меньшей концентрацией (выравни­вание концентрации в системе). Раз­личают молекулярную Д., характер­ную для ламинарного движения, и турбулентную Д., или турбулентный обмен. Приближенно процесс Д. опи­сывается уравнением

где Q — поток некоторого свойства жидкости S в единицу времени через единицу выделенной в потоке пло­щади (свойством ЖИДКОСТИ S может быть количество тепла, водяного па­ра, взвешенных частиц и т. п., рас­считанных на единицу объема); ds

— —изменение данного свойства dz

в направлении z; k— коэффициент пропорциональности, называемый или коэффициентом молекулярной Д., или турбулентной Д.; оба они имеют одинаковую размерность (см2/с), по по величине коэффициент турбулент­ной Д. в тысячи раз больше коэф­фициента молекулярной Д.

См. также уравнение турбулент­ной диффузии.

ДИФФУЗНОЕ ИСПАРЕНИЕ —

испарение в неподвижную атмосферу. Перенос водяного пара при этом оп­ределяется молекулярной диффузией, т. с. распространением молекул от места с большой концентрацией во­дяного пара к местам с меньшен концентрацией. Поток диффузии во­дяного пара г/(м2-с) через единицу площади в единицу времени (или скорость испарения) приближенно выражается уравнением

где р — плотность воздуха, г/см3; /г — коэффициент молекулярной диф­фузии водяного пара в воздухе, см2/с;

. — вертикальный градиент удель­ной влажности воздуха, 1/см.

В природных условиях испарение осуществляется не в спокойной ат­мосфере, а в воздухе, подверженном турбулентному перемешиванию, в ус­ловиях которого коэффициент обме­на (аналогичный коэффициенту диф­фузии для условий неподвижного воздуха;) в сотни и тысячи раз пре­восходит коэффициент диффузии. Поэтому в этих условиях испарение происходит значительно более интен­сивно, чем это следует из уравнения, учитывающего коэффициент диффу­зии.

ДИХОТЕРМИЯ — распределение температуры воды по глубине водо­ема, при котором минимум темпера­туры находится на некоторой глу­бине, увеличивающейся по мере на­гревания от поверхности, а ниже и до дна вновь происходит возраста­ние температуры. Наблюдается пре­имущественно в глубоких озерах в период нагрева водоемов в начале разрушения обратной температурной стратификации.

См. также мезотермия.

ДИХОТОМИЧЕСКАЯ СЛУЧАЙ­НАЯ ВЕЛИЧИНА — переменная, принимающая только два значения. В этом случае, проверяя гипотезу

относительно некоторой альтернати­вы, можно использовать биномиаль­ное распределение, основанное на предположении только двух исходов в процессе одного испытания.

ДЛИНА ВОЛНЫ — см. Элемен­ты волн (на поверхности жидкости)

ДЛИНА ПУТИ ПЕРЕМЕШИ­ВАНИЯ (/) — характеристика турбу­лентного потока, имеющая линейную размерность, позволяющая связать величину переноса количества дви­жения отдельными небольшими массивами жидкости с элементами осредненного течения. Д. п. п. может рассматриваться как среднее расстоя­ние перемещения малого элемента жидкости до потери ею в области, в которую она переместилась, имеюще­гося приращения количества движе­ния.

В общем случае, Д. п. п., как и компоненты скорости, изменяется не только от точки к точке, но и в данной точке по направлению. В случае равномерного движения за Д. п. п. принимают расстояние, нор­мальное к направлению среднего тече­ния, на протяжении которого масса жидкости, перемещающаяся поперек потока, до изменения своего коли­чества движения, вызовет пульсацию в конце своего пути, пропорциональ­ную произведению I на градиент ос- редненной скорости. Таким образом, если течение осуществляется в на­правлении оси х, а осредненная ско­ростьизменяется только по оси £/, то может быть записана «следую­щая средняя пропорциональность:

в которой вертикальные черты ука­зывают на числовую величину неза­висимо от знака.

ДЛИНА PEKH(L)—расстояние от истока или начала реки до ее устья в километрах, измеренное по карте или аэрофотоснимку; при из­мерениях по крупномасштабным съемкам определяется по геометри­ческой оси русла; для достаточно крупных (судоходных и сплавных) рек обычно принимается по фарвате­ру. Под гидрографической Д. р. по­нимается расстояние от устья реки до наиболее удаленной от него точки данной речной системы.

См. также исток реки.

ДЛИННЫЕ ВОЛНЫ — полны, длишь которых превышает глубину потока по много раз (иначе говоря, эти волны очень пологи), хотя высо­та волны и может быть большой, например, по сравнению с первона­чальной глубиной потока. У Д. в. скорости частиц воды одинаковы по всей глубине, а скорость распростра­нения не зависит от периода и опре­деляется (для Д. в. малой высоты) только глубиной. Д. в. переносят зна­чительные массы воды, поэтому их часто называют волнами перемеще­ния.

Дночерпатель.

См. также Волновое движение жидкости и неустановившееся дви­жение.

ДНОЧЕРПАТЕЛЬ — прибор, для отбора проб грунта со дна рек, озер и водохранилищ с целью определе­ния состава донных отложений. Обычно представляет собой два сое­диненных шарнирно полых сегмента.

ДОБЕГАНИЕ ВОДЫ — процесс перемещения воды в пределах рас­сматриваемого водосбора. Различают склоновое Д. в., происходящее по склонам гидрографической сети, и русловое, происходящее непосредст­венно по тальвегам русловых пото­ков.

ДОЖДЕВАНИЕ — искусственное орошение сельскохозяйственных по­лей или некоторой иной площади в виде дождя, создаваемого специ­альными установками. Для ороше­ния сельскохозяйственных культур применяются специальные дожде­вальные машины, обеспечивающие подъем воды на некоторую высоту и распыление ее в форме дождя. В гидрологических исследованиях Д. применяется для изучения процессов формирования дождевого стока, в частности потерь дождевой воды на впитывание при ее отекании по склонам ,водосборов.

ДОЖДЕВОЕ ПИТАНИЕ —водаі поступающая в водоемы и водотоки в результате дождей, выпадающих в пределах их водосборов.

ДОЖДЕВОЙ ПАВОДОК —см. Паводок.

ДОЖДЕВОЙ СТОК — см. Лив­невый сток.

ДОЖДЕМЕР — прибор для из­мерения количества осадков, выпа­дающих на земную поверхность. Приемной поверхностью является дождемерное ведро площадью 500 см2, устанавливаемое на высоте 2 м над поверхностью земли, внутри специальной конусообразной защиты (защита Нифера, планочная защи­та). Количество воды, поступающее в дождемерное ведро, измеряется дождемерным стаканом, каждое деле­ние которого равно 5 см3, что соот­ветствует слою воды в дождемер­ном ведре 0,1 мм. Зимой измерение осадков производят, растопив пред­варительно снег, попавший в дожде­мерное ведро. В комплект дождеме­ра входят два. дождемерных ведра для обеспечения непрерывности на­блюдений в моменты измерения осад­ков.

См. также осадкомер. дождь — вода, выпадающая

из облаков в виде капель, преиму­щественно размером 0,5—1,0 мм. При исследовании процесса формирования стока иногда различают обложной Д., обычно охватывающий большую площадь водосбора, и ливневый Д. с более высокой интенсивностью, но с меньшей площадью распростране­ния. Деление Д. на обложные и лив­невые носит условный характер и в настоящее время при гидрологи­ческих расчетах принимают во вни­мание всю совокупность дождей, рассматривая в качестве объективной их характеристики изменение интен­сивности поступления воды на зем­ную поверхность с изменением про­должительности Д. и его повторяе­мости в многолетнем разрезе.

ДОЛИНА РЕКИ — относительно узкое, вытянутое в длину, обычно извилистое углубление в земной по­верхности, образованное вековой деятельностью стекающей по поверх­ности земли воды с наличием русла современного потока и характеризую­щееся общим наклоном дна от одно­го конца к другому. Речные Д. р. не пересекают друг друга, а, встре­чаясь, сливаются в одну общую си­стему. В зависимости от очертания поперечного профиля Д. р. разли­чают:

а. Щель — глубокая, очень узкая Д. р. с отвесными, а. местами даже нависшими склонами. Ширина Д. р. почти одинакова с шириной русла протекающего по ней потока; рас­пространены только в горных райо­нах.

Синоним: клямма.

б. Каньон — несколько более ши­рокая Д. р., чем щель, характеризую­щаяся почти отвесными, часто с на­личием уступов, склонами и плоским, сравнительно узким дном. Встреча­ются преимущественно в горной местности.

в. Ущелье — глубокая горная Д. р. большей частью со склонами, обычно выпуклыми, приобретающими книзу значительную кривизну, с уз­ким дном.

г. V-образная Д. р., представляет разновидность предыдущего типа, отличаясь от него более пологими склонами и большей шириной дна. Имеет широкое распространение.

д. Корытообразная Д. р. харак­теризуется вогнутыми склонами, вы- полажпв-ающимися ко дну долины; нижняя часть такой ,долины как бы врезана, в дно более широкой доли­ны. Этот тип свойствен главным об­разом эрозионным долинам, образо­ванным деятельностью ледника.

Синоним: трог.

е. Трапецеидальная Д. р., сходна с ящикообразной, но склоны - значи­тельно положе. Эти Д. р. имеют большое распространение.

з. Неясно выраженная Щ р. (в поперечном профиле) с очень по­логими склонами, постепенно сливаю­щимися с окружающей местностью: границу дна долины определить

Типы поперечных профилей реч­ных долин.

а —щель (клямма), 6 — каньон, в — ущелье, г — V-образиая долина; д — корытообразная долина (трог), е—тра­пецеидальная долина, ок — ящикообраз­ная долина, з — неясно выраженная долина.

трудно. К этому типу относят не­глубокие речные долины равнинных пространств. Д. р., протекающих по плоской равнинной, особенно заболо­ченной местности, бывают совсем не выраженными в поперечном профиле.

См. также поперечный профиль долины.

ДОЛИННО-БАЛОЧНЫЙ PE ЛЬЕФ — пологоволнистый рельеф, образованный сочетанием ветвящих­ся без какой-либо системы гряд и холмов, долин и балок C пологими склонами. Развит на глинисто-пес­чаных отложениях в Заволжье и на северной окраине Прикаспийской низменности.

ДОЛИННЫЕ ЛЕДНИКИ —гор­ные ледники, располагающиеся в по­нижениях рельефа. Д. л. состоят из области питания, располагающейся в ледниковом цирке, и ледниковых языков, расположенных в долине. В зависимости, от характера распо­ложения на склонах гор, количества ледниковых языков и вида области питання различают следующие Д. л.: альпийские, древовидные, туркестан­ские, ледники висячих долин и др.

ДОННАЯ ПРОБА — проба веще­ства, взятая (собранная) специаль­ным прибором в толще воды вблизи дна водоема или на поверхности дна, или при внедрении в дно. Обычно это донные пробы воды, отложений, представителей животного и расти­тельного мира. Д. п. воды берут ба­тометрами. Для взятия проб ДОННЫХ отложений существует множество приборов, каждый из которых в той или иной мере удовлетворяет зада­ваемым условиям взятия пробы. Эти условия следующие: объем пробы, глубина внедрения в дню, плотность и крупность отложений, возможность деформации пробы при взятии, изо­ляция при извлечении и некоторые другие.

Наиболее известны следующие приборы для взятия Д. п. отложе­ния: 1) грунтовые трубки гидроста­тические и ударные, позволяющие брать пробы с больших глубин в ви­де колонок с мало нарушенной струк­турой длиной в несколько десятков метров и короче; 2) поршневые щу­пы для взятия донных проб в мелко­водных водоемах; 3) дночерпатели (храпцы), собирающие пробу путем соскребывания, захвата отложений с поверхности дна.

Для взятия донных проб живот­ного и растительного мира применя­ются драги.

ДОННАЯ СКОРОСТБ ТЕЧЕ­НИЯ ВОДЫ —в гидрометрии — ско­рость, измеренная прибором возмож­но ближе ко дну потока. В случае применения гидрометрической вер­тушки Жестовского на штанге в по­токе с ровным дном достаточно точ­ным измерением Д. с. т. в. считается такое, которое выполнено на расстоя­нии 0,2—0,3 м от дна. Гидрометри­ческая трубка в лабораторном лотке позволяет измерить скорость на рас­стоянии 0,005 м от стенки (дна). Иногда донной скоростью называют отрезок, отсекаемый на оси абсцисс при построении годографа.

ДОННЫЕ ВОЛНЫ — то же, что гряды донных наносов.

ДОННЫЕ НАНОСЫ (влекомые наносы) —преимущественно наиболее крупные (тяжелые) частицы, переме-

UliICMUC потоком в придонном слое путем влечения или нерекативаиия, или чаще путем перебрасывания па относительно короткие расстояния (сальтация). В некоторых случаях эти наносы могут выбрасываться вос­ходящими вихревыми токами на большую высоту, даже достигать по­верхности потока. Выделение донных наносов из общей массы транспорти­руемых потоком наносов является в некоторой мере условным, ибо с из­менением гидравлических характери­стик потока (глубины, скорости тече­ния, уклонов и пр.) непрерывно про­исходит переход некоторой части Д. и. во взвешенные и обратно. Значитель­ная часть зерен донных наносов в периоды прекращения движения вхо­дит в состав донных отложений и участвует в образовании русловых аккумулятивных форм—донных гряд, рифелей, кос, побочней и т. д.

ДОННЫЕ ОТЛОЖЕНИЯ—см. Озерные отложения.

ДОННЫЙ ВАЛЕЦ — зона вра­щательного движения воды, возни­кающая в придонной части потока при обтекіа-нии донных гряд. Образо­вание Д. в. связано с потерей пото­ком энергии, поэтому в тех случаях, когда необходимо добиваться сниже­ния энергии потока, искусственно создают препятствия, вызывающие образование Д. в. Д. в. образуется ниже водосливных сооружений, дон­ных струенаправляющих сооружений и т. д.

ДОННЫЙ КОНТРОЛЬ — соору­жение в гидрометрическом створе, возводимое с целью обеспечения по­стоянства кривой, расхода,, что по­зволяет облегчить (механизировать) учет стока и повысить точность его.

Различают две формы Д. к.:

1) участок бетонированного рус­ла, продольные и поперечные профи­ли которого в общих чертах не отли­чаются от естественных на этом ме­сте; обеспечивается свободный про­пуск наносов;

2) низконапорный бетонный во­дослив, гребень которого в общем повторяет профиль гидрометрическо­го створа, возвышаясь над первона­чальным уровнем речного диа на 0,3—0,5 м. Предполагается, что верх­ний бьеф такого сооружения будет быстро занесен и Д. к. превратится в ,своеобразный порог в русле и что уклон потока на ποροι е и на подхо­де к нему будет более устойчивым, чем В русле CereeTBCIlIIOM, поскольку влияния переформирований русла на участке ниже сооружении будут за­держиваться и умцряться порогом. Д. к. второго тина иногда называют «порог-контролем».

Д. к. иногда дополняют тонко­стенным измерительным водосливом, обычно съемным, временным для уче­та стока воды в период маловодья, когда точность учета· на Д. к. значи­тельно падает вследствие обмеления.

Гидрометрическая эффективность Д. к. зависит от правильного учета свойств участка реки, в частности, от того, в какой мере установившийся естественный режим на участке со­хранится в общих чертах и после вы­ведения Д. к.

Наиболее эффективным Д. к. ока­зывается тот, который устроен в месте естественного контроля (перелом про­филя, сужение).

ДОННЫЙ ЛЕД — см. Внутри- водный лед.

ДОННЫЙ ЩУП — прибор, для взятия проб донных отложений в ре­ках, озерах, водохранилищах с це­лью определения их состава. Обычно представляет собой в том или ином конструктивном оформлении полый цилиндр, вдавливаемый в грунт при помощи груза, пружины или иными средствами.

См. Дночерпатель.

ДОПУСТИМАЯ ОШИБКА ПРО­ГНОЗА — условно принимаемая пре­дельная величина ошибки, при кото­рой прогноз считается оправдавшим­ся. Устанавливается для оценки оп­равдываемое™ прогнозов. В целях сравнимости оценок назначается в за­висимости от изменчивости предска­зываемой переменной за период за­благовременности прогноза. Для дол­госрочных прогнозов, например, при­нимается равной вероятному откло­нению ОТ HODMbI

де σ — среднее квадратичное откло­нение; для краткосрочных прогно-· зов — вероятному изменению за пе­риод заблаговременности.

ДРАГА—приспособление для от­бора проб донных отложений, кон­структивно оформленное в виде ме­таллической рамки и прикрепленного

к ней сетчатого мешка. К рамке при­варены металлические пластинки (но­жи), сходящиеся под углом в сторо­ну сетчатого мешка.

См. Дночерпатель, донный щуп.

ДРЕЙФ ЛЬДА — перемещение льда в водоемах под действием вет­ра « течений.

ДРЕЙФОВЫЕ ТЕЧЕНИЯ —те­чения в водоемах, вызываемые дей­ствием ветра. При длительном воз­действии ветра движение верхних слоев передается постепенно вглубь. Одновременно с этим за счет перено­са водных масс под влиянием ветра возникает уклон водкой поверхности, направленный в сторону, проти­воположную действию ветра. Ук­лон вызывает обратное компенсаци­онное течение, охватывающее всю глубинную часть водоема вплоть до дна; такое течение именуется гради­ентным. В мелководных водоемах образующиеся уклоны водной поверх­ности при сильном ветре настолько значительны, что появляются суще­ственные изменения уровней в под­ветренной и наветренной частях во­доема. Такие изменения уровня наї- зываются сгонно-нагонными дениве- ляциями.

ДРЕНА — труба или полость, заклаїдьіваемая (устраиваемая) в грунте на некоторой глубине с целью сбора почвенно-грунтовых вод. На­ибольшее применение в практике осу­шения имеют Д. из гончарных труб, дощатые, фашинные и др.

ДРЕНАЖ —способ осушения из­лишне увлажненных земель путем за­кладки подземных труб (дрен) или колодцев с целью снижения уровня грунтовых вод. Дренажная сеть мо­жет включать в себя и открытые ка­налы. Иногда этот термин применя­ется и для обозначения процесса от­вода подземных вод с рассматривае­мой территории системой естествен­ных водотоков.

ДРЕНАЖНЫЙ СТОК — подзем­ный (грунтовый) сток, собираемый дренажными сооружениями, приме­няемыми для осушения заболочен­ных земель (например^ перфориро­ванными трубами, заложенными в грунт).

ДРЕНИРОВАННАЯ ПЛО­ЩАДЬ — территория, с которой обес­печен сток поверхностных и подзем­ных вод естественным путем через гидрографическую сеть или искусст­венными мероприятиями (каналами, подземными дренами).

ДЮНЫ (в русле реки) — песча­ные гряды массового распростране­ния, перемещающиеся по дну речного русла; характерны серповидными очертаниями в плане, мало отлича­ются размерами (на данном участ­ке) . Располагаются относительно друг друга в общем беспорядочно, лишь слегка напоминая шахматный порядок. Различие между Д. и по- бочнями весьма условно и сводится, по существу, к степени симметрии об­текания ' этих форм потоком. C по- бочневой формой перемещения рус­ловых наносов связана извилистость потока, а с осередковой (дюновой)— его разветвленность. Но в реальных природных условиях обе эти формы тесно взаимосвязаны и потому их вы­деление часто содержит элементы субъективизма. В зарубежной лите­ратуре термин, Д. часто применяется к любым формам песчаных гряд в русле реки.

<< | >>
Источник: А. И. ЧЕБОТАРЕВ. ГИДРОЛОГИЧЕСКИЙ СЛОВАРЬ. Издание третье переработанное и дополненное. .ЛЕНИНГРАД ГИДРОМЕТЕОИЗДАТ 1978. 1978

Еще по теме Д:

  1. Педагогіка. Інтегрований курс теорії та історії: Навчально- методичний посібник: У 2 ч. / За ред. А.М. Бойко. — Ч. 2. — К.: ВІПОЛ; Полтава: АСМІ,2004. — 504 с., 2004
  2. Кармазин Ю.А., Стрельцов Е.Л. и др.. УГОЛОВНЫЙ КОДЕКС УКРАИНЫ. КОММЕНТАРИЙ. Харьков-Одиссей, 2001
  3. ПРЕДИСЛОВИЕ
  4. РЕДАКТОРСКАЯ СТАТЬЯ
  5. ОБЩАЯ ЧАСТЬ
  6. Раздел I
  7. ОБЩИЕ ПОЛОЖЕНИЯ
  8. Статья 1. Задачи Уголовного кодекса Украины
  9. Статья 2. Основание уголовной ответственности
  10. Раздел II ЗАКОН ОБ УГОЛОВНОЙ ОТВЕТСТВЕННОСТИ
  11. Статья 3. Законодательство Украины об уголовной ответственности
  12. Статья 4. Действие закона об уголовной ответственности во времени
  13. Статья 7. Действие закона об уголовной ответственности в отношении преступлений, совершенных гражданами Украины и лицами без гражданства за пределами Украины
  14. Статья 8. Действие закона об уголовной ответственности в отношении преступлений, совершенных иностранцами и лицами без гражданства вне пределов Украины
  15. Статья 9. Правовые последствия осуждения лица за пределами Украины
  16. Статья 10. Выдача лица, обвиняемого в совершении преступления, и лица, осужденного за совершение преступления
  17. Раздел III ПРЕСТУПЛЕНИЕ, ЕГО ВИДЫ И СТАДИИ
  18. Статья 11. Понятие преступления