Т
ТАКЫР — плоское, более или менее обширное, глинистое пространство в пустынных, полупустынных и предгорных областях Средней Азин. В периоды дождей или стока снеговых вод покрывается слоем воды, превращаясь в обширное мелкое озеро, после высыхания которого поверхность T., 'сложенная отложениями илистых частиц, покрывается густой сетью трещин.
ТАЛАЯ ВОДА — то же, что снеговая вода.
ТАЛИК — участок талого грунта в районе многолетней (вечной) мерзлоты.
ТАЛЬВЕГ — линия наиболее низких отметок дна долины или русла реки и других звеньев гидрографической сети (ложбины, лощины, суходолы) .
ТАРИРОВАНИЕ ВОДОСЛИВА (ОТВЕРСТИЯ) — специальное испытание, заключающееся в сравнении напора с расходом воды, измеренным образцовым мерным устройством или прибором. Необходимость тарирования возникает всякий раз, когда для расчетной формулы водослива (отверстия), используемого для систематического учета стока воды, нельзя подобрать в справочниках готового достаточно точного коэффициента расхода вследствие своеобразия формы водослива, сжатия, аэрации, подтопления струи и т. п.
Для тарирования водосливов, пропускающих расход меньше 1 м3/с, в качестве образцового применяется объемный метод измерения, в других случаях — метод скорость — площадь с использованием образцовых і пирометрических вертушек. Метод смешения (в основном варианте) применяется для тарирования в том глуше, когда методы объемный и скорость — площадь невозможны. В нроцічсе тарирования наблюдается несколько пар взаимно соответствующих значений расхода и напора при HiiieciiHbix ,режимах протекания (аэрации. подтопления и т. п.). *
Результат тарирования обычно представляется в виде графиков-номограмм и таблиц функции Q=I (Н, а), где Q — расход воды; H — напор; а — параметр, характеризующий режим протекания.
Г арантированная погрешность тарирования лабораторного водослива объемным методом не больше 1%· Полевой, хорошо устроенный, тонкостенный неподтопленный водослив, протарированный образцовыми вертушками, позволяет измерять расход воды с гарантированной погрешностью не больше 3%, при условии отсчета напора с точностью 2 мм.
ТАРИРОВАНИЕ ПРИБОРА (ИЗМЕРИТЕЛЬНОГО УСТРОЙСТВАМ — то же, что поверка прибора. По установившемуся в практической гидрометрии обычаю термин «тарирование» вместо «поверка» употребляется для следующих приборов и измерительных устройств: гидрометрической вертушки и других приборов для измерения скорости течения воды, расходомеров, уровнемеров (гидростатического и др.), термометра электрического, мерного водослива, мерного водопропускного отверстия и т. д.
ТАРИРОВАНИЕ ГИДРОМЕТРИЧЕСКОЙ ВЕРТУШКИ — специальное испытание вертушки, заключающееся в сравнении числа оборотов рабочего колеса в 1 с со скоростью перемещения вертушки в стоячей воде, вычисленной по данным измерений пути и времени образцовыми приборами (первый способ) или в сравнении числа оборотов рабочего колеса в 1 с со скоростью набегающего потока, измеренной образцовыми вертушками (второй способ) . Первый способ тарирования основан на том допущении, что, если числа ,оборотов рабочего колеса в ] C при перемещении BepTJTUKH в стоячей воде и в набегающем потоке оказались равными, то скорость перемещения вертушки и скорость набегающего потока отличались настолько мало, что можно считать их также равными, если иметь в виду требования практической гидрометрии в отношении доста точной точности измерения вертушкой скорости течения воды рек и каналов.
Тарирование вертушек производится на тарировочных станциях, имеющих бассейн — капал со стоячей водой, над которым по рельсовому пути движется тележка, несущая на вертикальных штангах тарируемые вертушки. На тележке имеются устройства, позволяющие регулировать строго равномерную скорость движения по градациям скорости от очень малых значений (порядка 0,01 м/с) до 5—7 м/с. На тележке имеются приборы, регистрирующие время, пройденные участки пути и сигналы чисел оборотов рабочих колес вертушек.
Опытом установлено, что для тарирования одной вертушки ио первому способу с гарантированной погрешностью меньше 1%, бассейн- канал тарировочной станции должен быть длиной не меньше 70 м, глубиной не меньше 1,3 м и шириной не меньше 1,5 м.
Для тарирования по второму способу нередко применяются тари- ровочные установки лабораторного типа. Эти установки, хотя и обеспечивают менее точный результат тарирования, но оказываются более производительными и удобными в эксплуатации. Наиболее известны: ]) кольцевой бассейн ГГИ и 2) лоток Урываева. Кольцевой бассейн имеет внешний диаметр 5 м, ширина кольца 1 м, глубина воды 1 м; 2 образцовых и 4 тарируемых вертушки движутся в кольце на карусели. Лоток. Урываева устроен подобно аэродинамической трубе — замкнутый трубопровод в виде вертикально поставленного кольца; в лотке поток воды гонится гребным винтом и при этом вода, проходя через выпрямляющий поток решетки, обмывает тарируемые и образцовые вертушки. Образцовые вертушки тарируются на таїрировочньїх станциях по первому способу. Гарантированная погрешность на тарировочных установках .не больше 2%. Результаты тарирования оформляются «Свидетельством» и обычно представляются в виде графика функции v=f(n), где
v — скорость набегающего на вертушку потока воды; п— среднее число оборотов в 1 с .рабочего колеса вертушки. По графику составляется та рнровочиая таблица, в которой для разных п (обычно через 0,1) даются соответствующие значення v.
См. также поверка гидрометрических приборов.
ТАРИРОВОЧНЫЕ СТАНЦИИ —
см. Тарирование гидрометрической вертушки.
TACTEP — см. Игольчатая рейка. ТАХИГРАФИЧЕСКАЯ КРИ
ВАЯ — кривая распределения отдельных участков площади сечения потока в зависимости от наблюдающейся в этих участках скорости течения. При построении Т. к. на оси ординат откладывают отношение площади отдельных участков, харак-
Тахиграфическая кривая.
1 — в дифференциальной форме,
2 — в интегральной форме.
іеризующнхся некоторым значением скорости (ωί) к общей площади живого сечения (Ω), а по оси абсцисс— величину скорости течения отдельных участков (Ui) к средней скорости (иСр) в рассматриваемом сечении.
Площади отдельных участков живого сечения с различными скоростями течения устанавливаются путем планиметрирования зон между изотахами, построенными в плоскости сечения потока; установленная таким образом величина площади характеризуется средней ско- іростью между значениями, отвечающими изотахам, оконтуривающим эту площадь. Ординаты Т. к. даютпредставление о тем, какая доля водного сечения будет перемещаться зниз по течению реки с данной скоростью.
Если на оси ординат вместо отношений площадей живого сечения, замкнутых смежными изохронами, к общей площади живого сечения наносить отношение доли расхода воды, проходящей через часть живого сечения, ограниченного смежными изо- тахами, к общему расходу, протекающему через живое сечение, получим так называемую дебитографическую кривую.
ТЕМПЕРАТУРНЫЙ КОЭФФИЦИЕНТ СНЕГОТАЯНИЯ —число миллиметров слоя воды, образующейся за стани в результате таяния снега, приходящееся на один градус положительной среднесуточной или 13-ча- совой температуры воздуха.
ТЕМПЫ ВОДООБМЕНА ПОДЗЕМНЫХ ВОД— сроки, за которые произойдет возобновление подземных вод данного водоносного пласта илн артезианского бассейна. Характеризуются «коэффициентом водообмена», т. е. отношением годо- зого расхода подземных вод к общим запасам водоносного пласта или поденного бассейна.
ТЕОРЕТИЧЕСКИЕ СХЕМЫ КРИВЫХ ОБЕСПЕЧЕННОСТЕЙ СЛУЧАЙНЫХ ВЕЛИЧИН, ИСПОЛЬЗУЕМЫЕ В ГИЛ»гтппгым_
ющей значенню х~а и неограниченно простирается как в область положительных, так и в область отрицательных значений. Параметр а является центром совокупности (средним значением или математическим ожиданием). Если изменять а, то кривая y=f(x) будет перемещаться вдоль оси х, сохраняя свою форму. C возрастанием абсолютной величины уклонения (х^~а), τ. е. по мере удаления точки х от точки а, ордината кривой y = f(x) быстро убывает, наибольшая ордината, отвечающая значению (х=с), имеет величину
Эта ордината и является
осью симметрии кривой #=/(х).При с=0 имеем семейство центрированных (т.
е. с центром в начале координат) нормальных кривых
Изменение параметра σ (среднее квадратическое отклонение) приводит к изменению степени концентрации вокруг оси ординат. Подъем кривой в центральной части при уменьшении о компенсируется более резким спадом ее к оси X так, что общая величина площади остается неизменной.
Биномиальная кривая имеет наиболее широкое распространение в практике гидрологических расчетов, поскольку эта схема применима к несимметричным статистическим рядам, какими в большинстве случаев являются ряды гидрологических величин. Наилучшее соответствие этого уравнения эмпирическим кривым обеспеченности большей частью наблюдается при коэффициентах асимметрии (Cs), примерно равных удвоенному значению коэффициента вариации (Cv). Верхняя ветвь биномиальной кривой обеспеченности не имеет фиксированной границы, а нижняя ее ветвь при 100%-ной обеспеченности в зависимости от соотношения параметров C11 и Cs заканчивается некоторым конечным значением признака (при С,>2С„) или нулем (при Cs=SC1,), или, наконец, уходит в область отрицательных значений (при Cs 2CV). Верхняя ветвь кривой Гудрича не имеет фиксированной границы, а нижняя ее ветвь не уходит в область отрицательных значений и при Се2,9Cc—0,9), как это имеет место в случае биномиальной кривой.
Кривая Гудрича в дифференциальной форме имеет вид
а в интегральной форме
где п — параметр, характеризующий асимметрию распределения; Xo — минимальное значение х; а -— параметр кривой.
ТЕОРИЯ ПРОИСХОЖДЕНИЯ ПОДЗЕМНЫХ ВОД — система научных представлений, объясняющих процессы нахождения вод в толще земной коры. Предложены следующие основные Т.
п. п. в.:1) инфильтрационная; 2) конденсационная; 3) ювенильная; 4) погребенных вод.
]. Инфильтрационная теория объясняет накопление подземных вод процессом проникновения в земную кору вод атмосферных осадков.
2. Конденсационная теория главную роль в накоплении подземных вод отводит процессу конденсации водяных паров.
3. Ювенильная теория· трактует возможности возникновения некоторого количества воды в толще земной коры в результате выделения ее из некоторых минералов или расплавленной магмы.
4. Теория погребенных вод объясняет наличие в некоторых случаях значительных скоплений подземных вод геологическими процессами, обусловившими захоронение вод древних водных бассейнов.
ТЕОРИЯ ВЕЛИКАНОВА ВОЗНИКНОВЕНИЯ ПЕСЧАНЫХ
ВОЛН — схема возникновения песчаных волн на дне потока, основанная на рассмотрении воздействия на песчинки пульсирующих скоростей потока. Для вывода зависимости, описывающей очертание дна потока, в условиях сформировавшихся песчаных гряд используется:
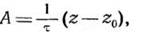
а) уравнение баланса деформации русла в виде
где р — расход наносов на единицу ширины потока; х — расстояние, отсчитываемое по длине потока; ζ— высота дна над некоторой условной плоскостью; t— время;
б) закономерность распределения пульсирующих значений скоростей в турбулентном потоке, выражаемая в форме кривой нормального распределения Гаусса при условии, что коэффициент корреляции (г) между скоростями в двух точках убывает с увеличением расстояния по зависимости
1 — расстояние, при котором г=0;
в) скорость движения частиц наносов (и), выражаемая через скорость течения (V) по соотношению
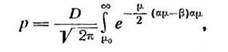
г) выражение для твердого стока Б виде
где D — средний диаметр частиц; μ, β — параметры, зависящие от скоростей потока, начальной скорости влечения и корреляционной функции, определяемой по равенству (*).
В итоге объединения указанных условий и допущений вероятная скорость изменения высоты дна Z по времени t выражается в виде
где £, ε, V—параметры, зависящие от стадистических характеристик потока.
Анализ полученного решения привел М. А. Великанова к заключению, что плоское песчаное дно при !равномерном поступательном движении потока в силу одной лишь турбулентности потока закономерно превра щается в волнообразное.
ТЕОРИЯ ПОЛНА — схема формирования песчаных волн (гряд); разработана для условий плоского, равномерного, установившегося потока.
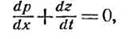
В качестве исходного положения в Т. П. использовано уравнение баланса деформации русла в форме
где р — расход наносов на единицу ширины потока; х — расстояние, отсчитываемое по длине потока; г— высота дна над некоторой' условной плоскостью; / — время.
Поступление наносов в рассматриваемую область принимается пропорциональным твердому расходу
вынос наносов— пропорциональным объему лежащих на дне наносов 
где Гн — начальная скорость влечения; V — осредненное значение скорости; ν' — пульсация Фкоростн;
где 2—2о — толщина слоя наносов.
Учитывая, что
ис
пользуя равенство ("), можно записать дифференциальное уравнение деформации размываемого дна, предложенное Полна
Решение этого уравнения имеет
вид
где г —отметка дна; k и с — параметры, зависящие от длины волны λ. См. также теории Экснера.
ТЕОРИЯ ЭКСНЕРА — схем а формирования песчаных волн (пряд); разработана для условий плюского, равномерного, установившегося потока. Для вывода уравнения, описывающего очертание дна потока, в условиях сформировавшихся песчаных гряд используется:
а) уравнение баланса деформации русла в форме
где р — расход наносов на единицу ширины потока, принимается пропорциональным средней скорости потока о; p=kv; X — расстояние, отсчитываемое по длине потока; z—высота дна под некоторой условной плоскостью; t — время;
б) уравнение неразрывности, выражающее постоянство жидкого расхода (q) через единицу ширины потока
где Z1 и Z2 — соответственно расстояние поверхности и дна потока от условной плоскости.
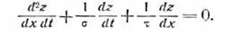
Объединив два приведенных уравнения, имеем
Решая это уравнение в предположении, что в начальный момент при f=0 дно имеет синусоидальную форму
(где λ — длина волны, а—амплитуда волны), Экснер получает решение в виде
ТЕПЛОЕМКОСТЬ — количество тепла, поглощенное телом при повышении его температуры на 1°С. Т. вещества, рассчитанную па единицу массы, называют удельной Т. (кал/гХ X град).
Для газов различают теплоемкость при постоянном давлении Lp и постоянном объеме Cv. В первом случае благодаря тепловому расширению тела (изменению его геометрических размеров) совершается механическая работа, против внешних сил. во втором — нагревание тела происходит при неизменных его геометрических размерах и вся теплота идет на увеличение внутренней энергии тела. Т. при постоянном давлении Cp всегда больше Т. при постоянном объеме с„. Теплоемкость воды Cv при 15°С принимается за единицу. Удельная Т. воздуха при нормальном давлении (1 атм) и температуре + 50°С равна 0.24 кзл/гХ X град.
Удельная Т. при постоянном объеме Cp=O, 17 кал/г-град; для водяного пара Cp=O,44 и с«=0,34 (при температуре 0°С). Произведение удельной T на плотность тела называется объемной Т.
ТЕПЛОЕМКОСТЬ ВОДЯНОГО ПАРА — см. Теплоемкость.
ТЕПЛОЕМКОСТЬ ВОЗДУХА — см. Теплоемкость.
ТЕПЛОЕМКОСТЬ ТОРФА —теплоемкость трехфазной системы, состоящей из растительного вещества, воды и воздуха. Т. т. определяется по формуле
где Ci — удельная теплоемкость сухого растительного вещества; d — его плотность в граммах на I см3 деятельного слоя; C2— удельная теплоемкость воды; р2—-ее содержание в граммах на 1 см3 деятельного слоя (объемная влажность); сз и рз —те же величины для воздуха, заключенного в порах торфа. Вследствие малой теплоемкости и плотности воздуха, а также небольшого содержания растительного вещества в деятельном слое болот Т. т. определяется почти целиком его объемной влажностью.
ТЕПЛОВОЙ БАЛАНС ПОДСТИЛАЮЩЕЙ (ДЕЯТЕЛЬНОЙ) ПОВЕРХНОСТИ ВОДОСБОРА — применение закона сохранения энер- пін к исследованию процессов влаго- Ii теплообмена в пределах рассматриваемых участков земной иоверхно- ■ ги (водосборов).
Формой выражения теплового баланса является уравнение тенлово- Io баланса земиой поверхности в виде
где R — радиационный баланс; E— испарение за вычетом конденсации; I. — скрытая теплота испарения; P — ісплообмен с атмосферой; В— теплообмен с почвой.
Для периода снеготаяния
іде L' — скрытая теплота таяния; Λ — слой воды в растаявшем снеге.
Обычно величина R, направленная к подстилающей поверхности, принимается положительной (приход солнечной анергии), а величины LE, P и В — положительными, если они направлены от подстилающей поверхности (В — вниз, a LE и P — вверх), г. е. представляют собой расход солнечной энергии, поступающей к подстилающей поверхности.
Соотношение (*) может быть использовано для расчета испарения. Затраты тепла на испарение на основании уравнения (*) с учетом зависимости Боусна выражаются в виде (в мм/месяц)
где
— разность температур испаряющей поверхности и воздуха;
; — разность максимальной упругости водяного пара (по температуре испаряющей поверхности) и влажности воздуха; коэффициент к—0,48 при измерении е в мм и 6=0,64 при измерении є в мбар.
ТЕПЛОПРОВОДНОСТЬ — см. Коэффициен г теплопроводности.
ТЕПЛОТА ИСПАРЕНИЯ (£)— количество тепла, необходимое для перевода жидкого или твердого тела в пар при неизменной температуре. Обычно имеется в виду удельная теплота испарения, рассчитанная на
lyg9 Заказ № 531)
единицу массы вещества. Для воды при OoC І--597 кал/г, при IOOoCi= =539 кал/г; для льда L=ERl нал/г (теплота испарения жидкой воды плюс теплота плавления). При конденсации выделяется Т. и. воды, а при сублимации — Т. и. льда; это количество тепла соответственно называют теплотой конденсации (597 кал/r) или теплотой сублимации (677 кал/г).
Синоним: скрытая теплота испарения.
ТЕПЛОТА КОНДЕНСАЦИИ —
количество тепла, выделяющегося при конденсации водяного пара, равное теплоте испарения воды. Т. к. при OoC равна 597 кал/г, при IOOoC— 539 кал/г. При переходе водяного пара непосредственно в твердое состояние (лед) Т. к. (сублимации) при OoC равна 677 кал/г (597 кал/г — Т. к. и 80 кал/г — теплота плавления) .
ТЕПЛОТА ПЛАВЛЕНИЯ —количество тепла, которое нужно сообщить твердому телу, чтобы перевести его в жидкое состояние при той же температуре. Для льда при OoC Т. п. равна 80 кал/г.
Синоним: скрытая теплота плавления.
ТЕПЛОТА СМАЧИВАНИЯ ГРУНТА — тепло, выделяющееся при смачивании водой вполне сухой почвы. Выделение тепла в процессе смачивания происходит вследствие того, что молекулы воды, связываемые частицами грунта, переходя в неподвижное состояние, теряют присущую им кинетическую энергию, которая и выделяется в форме Т. с. г. При связывании почвой 1 г воды выделяется около 80 кал тепла, что указывает на близость физической сущности процесса связывания воды и процесса ее кристаллизации при ледообразовании. Вода, при связывании которой почвой выделяется тепло, называется прочносвязанной. Она образует на поверхности частиц почвы пленку толщиной в два-три диаметра молекул воды и передвигаться может только в парообразном состоянии.
TEPMHCTOPbI —разновидность электротермометров, у которых применяются не проволочные сопротивления, а полупроводники. Электропроводимость T., в отличие от проволочных сопротивлений, с повышением
257
темперагуры увеличивается (сопротивление уменьшается); обладают более BiJcOKiOH, чем проволочные сопротивления чувствительностью к изменениям температуры, что позволяет при нх использовании нрнмеїіяті) менее сложные измерительные устройства.
ТЕРМИЧЕСКИЙ БАР — а) зона с бо,пес IiJKiTiioii водой, располагающаяся внутри водоема на граните соприкосновения областей с прямой и обратной стратификациями; возникает вследствие перемешивания вод с температурами выше и ниже температуры наибольшей плотности. При этом CMciUCiiiiH образуется слой воды наибольшей плотности. Т. б. разделяет водную толщу озера на две изолированные области: теплоинертную, располагающуюся над более глубокими частями озерной котловины, н теплоактивную, расположенную выше Т. б.; б) зона повышенной плотности воды, простирающаяся вдоль берега водоема. Возникновение ее связано с термическими особенностями воды береговой зоны, формирующимися в результате смешения вод различной температуры.
ТЕРМИЧЕСКИЙ РЕЖИМ —см. Гидрологический режим.
ТЕРМОБАТАРЕЯ — прибор для измерения температуры по величине термоэлектродвижущей силы, возникающей при разности температур спаянных между собой разнородных металлов. Используются спаи: медь— констате)н, железо — константан, хромель ■— копель и др. Спай только двух пластинок указанных металлов образует термопару. Система термопар, соединенных последовательно, образует Т. Последовательное соединение термопар в Т. позволяет достигнуть значительного увеличения чувствительности прибора. Т. для измерения температуры воды вблизи OoC изготовляются из термопар медь — константан.
ТЕРМОГИДРОМЕТР — прибор, предназначенный для измерения малых скоростей течения воды, основанный на использовании свойства нагреваемых электрическим током металлической нити или проводника, помещенных в поток жидкости, изменять свое сопротивление в зависимости от интенсивности их охлаждения, т. е. при постоянной температу
ре воды, от скорости течения поды, обтекающей нить или полупроводник. Таким образом, измеряя сопротивление нити или полупроводника, можно регистрировать скорость обтекающего потока воды.
ТЕРМОЗОНД (ШАРОВОЙ)— Прибор ДЛЯ определения Ielbioripo- нодноети почвогрунта. Состоит из металлического шарика диаметром 2 см, нулевого спая термопары, помещенного в эбонитовый футляр, распределительной коробки и соединительных проводов, заключенных в резиновую изоляцию.
К внутренней поверхности полого шарика припаян «горячий спай» термопары и приклеена нагревательная спираль. При пропуске через нагревательную спираль электрического тока силой О,I-FO,ЗА происходит нагрев шарового зонда. За интенсивностью нагрева наблюдают по показаниям гальванометра, к которому подключают провода от термопары. При одной и той же силе тока скорость нагрева помещенного в почву Т. будет тем больше, чем меньше теплопроводность окружающей среды.
ТЕРМОКАРСТ — явления неравномерного оседания или провала участков земной поверхности, проис ходящие в результате вытаивания заключенных в грунте прослоек или линз подземного льда. Образующиеся в результате Т. углубления обычно заполняются водой, превращаясь в многочисленные озера.
См. Озера термокарстовые.
Синоним: мерзлотный или полярный карст.
ТЕРРАСЫ РЕЧНЫЕ —более или менее горизонтальные участки поверхности на склонах долины, образовавшиеся в результате постепенного врезания русла реки в дно долины. Счет Т. р. принято вести снизу вверх; при этом современное пойменное дно долины часто называют пойменной Т. р., выше лежащие Т. р. — первой, второй, третьей и т. д. надпойменными. Т. р. обычно сложены речными наносами и называются аллювиальными, или террасами накопления. Помимо Т. р., связанных с процессами врезания русла в дно долины, различают Т. р. локальные, возникающие под влиянием местных причин; среди локальных террас различают:
1) Т. р. подпруживанпя и 2) Т. р„
пи шіікме с уступами продольного іі|ііи|>ІІЛЯ реки. Помимо Т. р., выде- пог террасы морские, озерные, на- юрные. По строению различают тер- p. Ii-U размыва, или структурные, ак-
хчелятивные м смешанные.
ГЕРРИГЕННЫЕ ОТЛОЖЕ
НИЯ— составная часть озерных от- юженнй, формирующихся за счет речных и эоловых наносов и продукції! абразии берегов.
ТЕХНИЧЕСКИ ПОДДАЮЩАЯ
СЯ ИСПОЛЬЗОВАНИЮ ЕМКОСТЬ ВОДОХРАНИЛИЩА — емкость, ограниченная сверху нормальным подпорным уровнем, снизу — уровнем наибольшей технически допустимой , работки водохранилища.
ТЕХНИЧЕСКИЕ ЗАПАСЫ ВОД
НОЙ ЭНЕРГИИ — часть потенциальных запасов водной энергии, которая, может быть получена в форме выработки электрической энергии гидроэлектростанциями с учетом потерь энергии при ее преобразовании в турбинах, генераторах и т. п. Измеряется в киловатт-часах или джоулях. Г. з. в. э. в СССР составляют 2100 млрд. кВт-ч. Экономически выгодные к использованию в современных условиях ресурсы водной энергии оцениваются в IlOO млрд. кВт-ч.
См. также потенциальные запасы подпой энергии.
ТЕХНИЧЕСКОЕ ДЕЛО ГИДРОЛОГИЧЕСКОГО ПОСТА — паспорт каждого гидрологического поста, содержащий план глазомерной съемки участка реки, охватывающего ближайшие излучины, острова, косы и другие речные образования, оказывающие влияние на условия протекания воды в створе поста; план участка поста,, поперечный профиль русла в створе поста до наивысшего уровня, профиль водомерного поста, схему устройства гидрометрической переправы, сведения о высотных отметках свай и реперов поста, а также другие документы и сведения, характеризующие принятую методику измерений, обстановку работы, состояние установок, устройств и сооружений.
ТЕЧЕНИЯ В ОЗЕРАХ И ВОДОХРАНИЛИЩАХ1 — перемещение водных масс, осуществляющее перенос результирующих расходов воды через фиксированные поперечники или части этих поперечников. Основными видами Т. в о. и в. являются: I) сточные (иногда именуются стоковыми), 2) ветровые и 3) конвекционные. Первые связаны с поступлениями водных масс из притоков и выходом их через замыкающий створ (через ГЭС или водосливы плотины). Та часть сточного течения, которая проходит без потерь через какой-либо участок водоема, называется транзитным течением. Сточные течения имеют место при наличии продольного уклона, т. е. они осуществляются под действием градиента гидростатического давления, поэтому их можно называть градиентными. Ветровые течения формируются под влиянием ветра, при этом течения, направленные в сторону ветра и охватывающие нередко только поверхностные слои водоема, именуются дрейфовыми. Обратные компенсационные течения, осуществляющиеся под влиянием перекоса водной поверхности (сгонно- нагонной денивеляции), называются градиентными (или градиентными ветровыми); они чаще всего охватывают придонные слон водоема. При наличии на одной вертикали дрейфового течения и градиентного противотечения говорят о смешанном течении. Течения, связанные с различием атмосферного давления в отдельных частях водоема, также называются градиентными.
Конвекционные течения вызываются плотностной неоднородностью водных масс. Если на значительных участках водоема создается устойчивая плотностная неоднородность, приводящая к возникновению продольного градиента давления, то образуются устойчивые компенсационные T-, носящие характер градиентных. Вертикальная плотностная неоднородность приводит к вертикальной конвекции, осуществляющей перенос в виде отдельных порций (вихрей) более плотных объемов воды вниз ко дну, более легких вверх. Плотностная неоднородность может быть связана с термической неоднородностью водных масс и различием концентрации растворенных или взвешенных веществ (донные тяжелые потоки).
’ Автор А. В. HajsayffleB. */89*
Речення, наблюдаемые у берегов водоемов, могут быть выделены под общим назіїапнем прибрежных п классифицированы на вдольберего- выс, нормальные (к береговой липни) и комплексные, имеющие продольную и нормальную составляющие. Нормальная составляющая течения, направленного к берегу, всегда вызывает обратное нормальное противотечение. В формировании прибрежных течений существенную роль играют ветровые волны, трансформирующиеся и разрушающиеся при подходе к берегу и передающие при этом часть своей энергии течению.
ТВЕРДЫЙ РАСХОД —то же. что расход наносив.
ТИПИЗАЦИЯ РЕЧНЫХ ПОЙМ ПОПОВА — в соответствии с типизацией ГГИ (1969) г. речные поймы, если их понимать как затапливаемое дно долин, можно подразделить на две основные категории: I) современные поймы, созданные и переформи- рующиеся под воздействием современного руслового процесса, т. е. процесса, развивающегося в условиях существующего ныне климата, и
2) унаследованные поймы, представляющие собой либо реликтовые (остаточные) образования от деформаций русла, происходивших в иных климатических условиях, чем современные, либо имеющие не речное происхождение (например, участки ледниковых равнин, озерные поймы и т. п.).
Современные поймы возникают как следствие плановых деформаций речных русел.. Поэтому особенности их строения и гидравлики достаточно тесно увязываются с типами руслового процесса. Выделяются следующие основные типы пойм: поймы рек с ограниченным меандриро- ванием, поймы рек со свободным меандрированием, незавершенным меандрированием, типа пойменной многорукавности (пойменные острова) и русловой многорукавности (русловые острова).
Поймы при разных типах руслового процесса обладают различным строением поверхности и различным периодом затопления и условиями возникновения пойменных течений, а следовательно, и резким характером деформаций. Наиболее простые схемы строения пойм и пойменных течений бывают при ограниченном мс- гіндрнронаїшіі, наиболее сложные (не согласующиеся с русловыми) — при свободном меандрированин. В последнем случае для пойм характерно различие даже смежных участ кон, наличие проток и сосредоточенных благодаря им течений со скоростями, превышающими русловые, как в прирусловой части, так и в глуби не поймы, и вместе с тем наличие обширных аккумулирующих емкостей со слабыми течениями или их полным отсутствием. Условия возникновения течений являются общими для ряда смежных излучин; в этом случае образуются так называемые пойменные массивы.
В зависимости от соотношения состава донных и взвешенных наносов возникают разновидности пойм тех или иных типов (повышенные, пониженные и т. п.). Особенности их строения бывают также обусловлены рядом вторичных деформаций — делювиальные выносы, болотообразовательные процессы, карст, термокарст и др. Это обусловливает возможность выделения разновидностей пойм при тех или иных типах руслового процесса.
Наиболее полный материал по особенностям строения и происхождения пойм был собран Р. А. Еле- невским (геоморфологическая и генетическая типизация 1935 г.). При
его анализе под углом зрения выделения современных и унаследованных пойм и их связей с русловым процессом удается найти место каждому типу пойм, выделенных Еле- невским в схемах типизации, предложенной И. В. Поповым.
ТИПОВАЯ СХЕМА ДРЕНИРОВАНИЯ ПОДЗЕМНЫХ ВОД — гидрогеологический поперечный разрез речной долины, типовой для данного водосбора, на котором показаны взаимное расположение водоносных горизонтов, характер их связи с рекой, мощность и литология водоносных пластов, минерализация вод и степень их участия в подземном питании рек данного района
ТИПОВОЕ ВНУТРИГОДОВОЕ РАСПРЕДЕЛЕНИЕ СТОКА —см. Внутригодовое распределение стока.
ТИПОВОЙ ГИДРОГРАФ СТОКА — осредненный за ряд лет хронологический график колебанья сто-
ка в году, отражающий общие черты, свойственные годовому циклу колебаний расходов и потому закономерно проявляющиеся почти ежегодно. Построение Т. г. с. производится путем осреднения однородных фаз стока но величине расходов воды и времени их наступления.
ТИПОВЫЕ СХЕМЫ ДРЕНИРОВАНИЯ — обобщенные поперечные гидрогеологические разрезы речных долин выше гидрометрического створа, в отношении которого производится оценка степени участия подземных вод в формировании стока реки. На Т. с. д. указывается положение отдельных водоносных пластов, увязанное с отметками уровня воды в реке, и степень их участия в подземном питании реки.
ТИПОЛОГИЧЕСКОЕ ДЕШИФРИРОВАНИЕ БОЛОТ — определение по аэрофотоснимкам типов болотных микроландшафтов, закономерностей их расположения, характера и состава растительного покрова, микрорельефа, обводненности различных участков и элементов гидрографической сети на болотах.
ТИПОЛОГИЧЕСКОЕ РАЙОНИРОВАНИЕ — выявление, разграничение и классификация типов явлений, познание которых основано на изучении не единичного и индивидуального, а общего, свойственного всему выявленному типу явлений.
ТИПЫ БОЛОТ —разделение болот на группы по некоторым общим для них признакам. По комплексу условий водного и связанного с ним минерального питания, характеру растительности и высотному расположению по отношению к окружающей местности различают три основных T б.:
1. Низинные болота, в питании которых, помимо атмосферных осадков, участвуют поверхностные и грунтовые воды. На низинных болотах произрастает требовательная к условиям минерального питания (евтроф- ная) растительность.
Синоним: евтрофные, или травяные болота.
2. Верховые болота, питание которых осуществляется только за счет атмосферных осадков. На верховых болотах произрастает олиготрофная растительность, мало требовательная к содержанию питательных веществ в почве. В. б. обычно имеют выпуклую форму поверхности.
Синоним: олиготрофные, или моховые, болота.
3. Переходные болота смешанного питания с мезотрофной растительностью.
Синоним: мезотрофные, или лесные, болота.
К особой категории болот могут быть отнесены переувлажненные минеральные земли.
По расположению в рельефе местности различают болота: пойменные, долинные, склоновые, водораїз- дельные и притеррасные.
ТИПЫ ЛЕДНИКОВ —см. Классификация ледников.
ТИПЫ ОЗЕР ПО ТЕРМИЧЕСКОМУ РЕЖИМУ — классификация озер по сезонному распределению температуры воды. Различают три основных типа і(по Форелю):
1) тропические (теплые) озера, имеющие в течение всего года поверхностную температуру выше 4° C и прямую термическую стратификацию;
2) умеренные озера, имеющие летом температуру воды выше 4° C и прямую термическую стратификацию, зимой — температуру от 0° до 4° C и обратную термическую стратификацию, а в переходные сезоны (весна, осень) — почти однородную температуру °т поверхности до дна в пределах 3—4° C (ігомоіермия);
3) полярные (холодные) озера, имеющие круглый год температуру воды ниже или несколько выше 4° С, но всегда с обратной термической стратификацией.
ТИПЫ ОЗЕРНЫХ котловин — см. Классификация озерных котловин.
ТИПЫ ПОДЗЕМНОГО ПИТАНИЯ РЕК (РЕЖИМА ПОДЗЕМНОГО СТОКА В РЕКИ) — характерные соотношения взаимосвязи речных и подземных вод, определяющие динамику поступления подземных вод 13 реки.
Выделяют следующие основные Т. п. п. р.:
1. Преимущественно нисходящий. Характерен для гидравлически не связанных с рекой подземных вод; в этом случае происходит свободный сток подземных вод в русло реки. Оценку величины подземного стока
θ Заказ № 530
261
при таком Т. и. и. р. производят с , учетом дебитов источников и коэф- ' фициента динамичности подземного
стока.
2. Преимуществснно подпорный.
Наблюдается при ,наличии гидравлической связи речных и подземных под, когда вследствие подпора, возникающего © периоды половодья и паводков, прекращается подземный сток в реки. Изменение во времени подземного и поверхностного стока в этом случае характеризуется асинхронностью фаз, при которой максимуму поверхностного стока соответствует максимум стока подземного.
3. Смешанный (подпорно-нисходящий). Может иметь место при наличии (неполной гидравлической 'СВЯЗИ речных и подземных вод. В этом случае подпор со стороны речных вод ие прекращает, а лишь уменьшает приток подземных вод в реку в периоды половодья и паводков.
Т. п. п. р. можно определить путем анализа типовых схем дренирования.
ТИПЫ РУСЕЛ водных потоков — классификация русел водных потоков, применяемая при решении различных ,гидравлических задач.
Различают русла призматические, ха р актер из у ющиеся иеиз мениостью геометрических размеров их поперечного профиля по длине, и непризматические, с изменяющимися размерами их поперечного профиля по длине. Если поперечный профиль ,русла очерчивается кривой линией (например, квадратичной параболой), определяемой в любом сечении одним и тем же уравнением, то такое русло иногда называют цилиндрическим. Цилиндрическое русло по своим свойствам аналогично руслу призматическому.
По форме поперечного профиля разделяют русла правильной формы и русла неправильной формы. К руслам правильной формы относят прямоугольные, трапецеидальные, треугольные, параболические и др.; гидравлические элементы потока в любом поперечном сечении таких русел являются непрерывными функциями глубины потока для всего диапазона изменения глубины.
В отношении уклона дна (Z) русла открытых потоков можно разделить на три категории: 1) русла с
прямым уклоном дни, совпадающим с направлением течения потока (i> >0); 2) горизонтальные русла (Z=O) и 3) русла с обратным уклоном дна (*
Еще по теме Т:
- Педагогіка. Інтегрований курс теорії та історії: Навчально- методичний посібник: У 2 ч. / За ред. А.М. Бойко. — Ч. 2. — К.: ВІПОЛ; Полтава: АСМІ,2004. — 504 с., 2004
- Кармазин Ю.А., Стрельцов Е.Л. и др.. УГОЛОВНЫЙ КОДЕКС УКРАИНЫ. КОММЕНТАРИЙ. Харьков-Одиссей, 2001
- ПРЕДИСЛОВИЕ
- РЕДАКТОРСКАЯ СТАТЬЯ
- ОБЩАЯ ЧАСТЬ
- Раздел I
- ОБЩИЕ ПОЛОЖЕНИЯ
- Статья 1. Задачи Уголовного кодекса Украины
- Статья 2. Основание уголовной ответственности
- Раздел II ЗАКОН ОБ УГОЛОВНОЙ ОТВЕТСТВЕННОСТИ
- Статья 3. Законодательство Украины об уголовной ответственности
- Статья 4. Действие закона об уголовной ответственности во времени
- Статья 7. Действие закона об уголовной ответственности в отношении преступлений, совершенных гражданами Украины и лицами без гражданства за пределами Украины
- Статья 8. Действие закона об уголовной ответственности в отношении преступлений, совершенных иностранцами и лицами без гражданства вне пределов Украины