<<
>>

У

УГЛОМЕР ОТНОСА ТРОСА —

приспособление в виде транспортира с отвесом или размеченной на гра­дусные деления горизонтальной рей­ки, позволяющее измерять угол от­клонения троса от вертикального по­ложения.

УДЕЛЬНАЯ ВЛАЖНОСТЬ ВОЗ­ДУХА (¢)—отношение массы водя­ного пара к массё влажного воздуха в том же объеме; выражается в грам­мах водяного пара на 1 г либо на 1 кг влажного воздуха, т. е. является относительным числом. Величина q с давлением влажного воздуха (р мбар) и упругостью водяного па­ра (е мбар) связана соотношением

УДЕЛЬНАЯ ВОДООТДАЧА —

количество воды, свободно вытека­ющей из 1 M3 породы.

УДЕЛЬНАЯ КИНЕТИЧЕСКАЯ ЭНЕРГИЯ ПОТОКА —см. Удельная энергия потока.

УДЕЛЬНАЯ ПОТЕНЦИАЛЬНАЯ ЭНЕРГИЯ ПОТОКА —см. Удельная энергия потока.

УДЕЛЬНАЯ ЭНЕРГИЯ —энер­гия, отнесенная к единице веса. Для открытых потоков жидкости числен­но совпадает с напором.

УДЕЛЬНАЯ ЭНЕРГИЯ ДАВЛЕ­НИЯ— см. Удельная энергия потока.

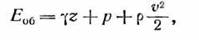
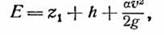
УДЕЛЬНАЯ ЭНЕРГИЯ ПОТО­КА (E)— энергия жидкости, проте­кающей в единицу времени через данное живое сечение, отнесенная к единице ее веса и выраженная над некоторой горизонтальной плоско- РТКЮ Г.ПЯПНРИИЯ

где 2 — высотное положение рассма­триваемого сечения потока относи­тельно условной горизонтальной пло­скости; р — гидродинамическое дав­ление; V—средняя скорость потока в данном сечении; а — коэффициент, учитывающий влияние неравномер­ности распределения скоростей тече­ния по живому сечению на живую силу потока; γ— вес единицы объема жидкости; g—ускорение свободного падения.

В формуле первый член зависит от положения потока относительно плоскости сравнения (удельная энер­гия положения), второй представляет собой удельную энергию давления, а сумма их — удельную потенциаль­ную энергию потока.

Последний член представляет собой удельную кинети­ческую энергию потока. Для медлен­но изменяющегося движения форму­лу можно написать и в другом виде

тре Zi—расстояние наииизшей точки диа в данном сечении до плоскости сравнения; h — наибольшая ,глубина потока в данном сечении. При дви­жении жидкости У. э. п. уменьшается вниз по течению за счет энергии на преодоление сопротивлений.

УДЕЛЬНАЯ ЭНЕРГИЯ СЕЧЕ­НИЯ (Э)—энергия потока в данном сечении, вычисленная относительно горизонтальной плоскости сравнения, проходящей через наииизшую точку диа,

Изменение удельной энергии се­чения с изменением глубины по­тока.

Поток может обладать одним и тем же запасом энергии (Э) при двух значеннях глубины (Ii), одна из которых меньше критической глубины (hi), а, вторая больше (Ii2).

УДЕЛЬНЫЙ ВЕС ПОЧВО- ГРУНТА (у) — отношение веса образ­ца почвогрунта к его объему в есте­ственных условиях.

В системе СИ единицей У. в. п. является 1 Н/м3, т. е. У. в. п. такого вещества, 1 м3 которого весит 1 И. Аналогично в системе СГС за еди­ницу У. в. п. принимается У. в. п. такого вещества, 1 см3 которого ве­сит 1 дина. Раньше часто вместо У. в. п. использовался термин объем­ный вес почвогрунта. В настоящее время предпочтительнее использова­ние термина плотность почвогрунта. При этом следует иметь в виду, что в системе СИ за единицу плотности принимается плотность такого веще­ства, масса которого в 1 м3 равна 1 кг (т. е. кг/м3). В системе СГС за единицу плотности принимается плот­ность вещества, масса которого в 1 см3 равна 1 г (т. е. г/см3). Плот­ность воды в системе СГС равна 1 г-см-3 при 4°С.

Между У. в. π. (γ) и его плот­ностью (р) существует соотношение Y = Pg, где g — ускорение свободного падения.

УДЕЛЬНЫЙ ДЕБИТ СКВАЖИ­НЫ (КОЛОДЦА)— количество воды, получаемое в единицу времени на, 1 м понижения уровня воды в скважине (колодце).

УДЕЛЬНЫЙ МОДУЛЬ ПОД­ЗЕМНОГО СТОКА — расход водо­носного горизонта на единицу его емкости.

УДЕЛЬНЫЙ ОБЪЕМ — отноше­ние единицы объема какого-либо ве­щества к единице массы; величина, обратная плотности; размерность см”/г.

УДЕЛЬНЫЙ РАСХОД —см.

Единичный расход воды.

УДОБРИТЕЛЬНОЕ ОРОШЕ­НИЕ — внесение удобрений в почву вместе с оросительной водой.

УЗБОИ — речные долины, сохра­нившиеся в пустынных районах Сред ней Азии как реликтовые (формы от более увлажненных эпох или разра­ботанные современными транзитными реками, русла которых в последую­щем значительно уклонились от преж­него направления. Служат ложбина­ми стока временных водотоков. Тер­мин У. применяется и в качестве собственного наименования некото­рых наиболее крупных долин этого типа. Например, узбой — долина древней реки, соединяющей Сарыка- мышское озеро с Каспийским морем; Келифский У. — солончаковая долина и цепь солончаковых котловин в юго- восточной части Туркмении, где в настоящее время проложен Каракум­ский канал.

УКАЗАТЕЛЬ УРОВНЯ ВОДЫ—

стрелочно-шкаловый уровнемер, поз­воляющий отсчитывать высоту уров­ня воды с точностью до 1 см при ам­плитуде до 10 м и фиксировать наи- низшее и наивысшее его положения

Указатель уровня воды.

между сроками наблюдений. Переме­щения поплавка в У. у. в., находя­щегося на поверхности воды, пере­даются при помощи троса поплавко­вому колесу, которое в свою очередь с помощью редуктора приводит в движение стрелки, положение кото­рых может быть определено ИЗ: ЦИ- ферблате. Поплавковое колесо с ре­дуктором и циферблат со стрелками заключены в цилиндрический кожух, устанавливаемый на верхний обрез защитной трубы, в которой находи­тся поплавок с противовесом.

УКЛОН ВОДНОЙ ПОВЕРХ­НОСТИ— падение напора на едини­цу длины потока; для условий от­крытых водных потоков определя­ется как отношение разности высот­ных отметок уровня воды на рас­сматриваемом участке к длине этого участка.

УКЛОН ПОПЕРЕЧНЫЙ Onon)-

уклон в направлении поперек русла. У. п. возникает «а закруглении пото­ка под действием центробежной си­лы, при перекосах уровня, вызванных подпором от впадающих притоков или от различных русловых образо­ваний (островов, кос и пр.), иа фаі- зак подъема и спада, паводка у пой­менных участков русла и т. д.

УКЛОН ПРОДОЛЬНЫЙ (і) — уклон в направлении динамической оси русла.

В гидравлике различают понятия гидравлический уклон, статический уклон, пьезометрический уклон (в ус­ловиях открытого потока — уклон свободной поверхности) и уклон дна, представляющие собой соответствен­но падение иа единицу длины гид­родинамического, гидростатического и пьезометрического напоров и линии дна потока.

УПРОЩЕННАЯ ГЕНЕТИЧЕ­СКАЯ ФОРМУЛА СТОКА —харак­теризует максимальный модуль стока как наибольшее значение средней ин­тенсивности притока в русловую сеть за время дсибегания воды по главно­му водотоку. Эта формула получа­ется из генетической формулы стока, исходя из предположения, что с уве­личением неравномерности ширины водосбора усиливается регулирующее влияние русловой сети, которое при­мерно компенсирует увеличение мак­симального модуля стока, происхо­дящее с ростом неравномерности ши­рины водосбораї

УПРУГИЕ ЗАПАСЫ АРТЕ­ЗИАНСКИХ ПЛАСТОВ — запасы во­ды, высвобождающиеся при вскрытии водоносного пласта и снижении пла­стового давления в нем при откачке (или самоизливе) за счет объемного расширения воды и уменьшения по­рового пространства самого пласта.

УПРУГОСТЬ ВОДЯНОГО ПА­РА (е)— парциальное давление во­дяного пара, содержащегося в воз­духе; выражается, как и давление воздуха, в миллибарах или в мил­лиметрах.

Воздух считается насыщенным в том случае, когда парциальное дав­ление водяного пара достигло воз­можной при дайной температуре мак­симальной величины. Эта величина

называется максимальной У. в. п., или давлением насыщающего пара (E).

УПРУГОСТЬ НАСЫЩЕНИЯ —

максимальная упругость водяного па­ра, находящегося при данной темпе­ратуре в равновесии над плоской по­верхностью воды; зависит от темпе­ратуры водяного пара (равной тем­пературе влажного воздуха), увели­чивается с ростом температуры.

Над переохлажденной ВОДОЙ 'больше, чем над льдом при той же температуре; над выпуклой водной поверхностью больше, чем над плоской; над вог­нутой меньше, чем над плоской.

Синоним: насыщающая упру­

гость, упругость водяных паров, на­сыщающих пространство.

УРАВНЕНИЕ БАЛАНСА ВОЛ­НОВОЙ ЭНЕРГИИ — уравнение, ха­рактеризующее изменение потока волновой энергии по направлению движения волны за единицу времени. По В. М. Мамкавееву, это уравнение может быть записано в виде

Здесь h — высота волны; у — объемный вес воды; t — время; х — расстояние по направлению движения волны; V — групповая скорость волн; Ri — осредненное во времени коли­чество энергии, подводимое за едини­цу времени извне к объему воды dxH-\ (H — глубина водоема в дам- ном пункте); R2 —- осредненное во времени количество энергии, теря­емое в единицу времени в том же объеме воды dxH■ 1 в связи с раз­личного родаї процессами гашения энергии. Приведенное уравнение от­носится к призме воды, ограниченной двумя вертикальными плоскостями, параллельными движению ,волны и рассекающими водоем от поверхно­сти до дна. Расстояние между этими плоскостями равно единице. Дли ус­тановившегося волнения

Физический смысл У. б. в. э. за­ключается в том, что количество энергии, прошедшей в единицу Bpe- 270

мсни через последующее сечение, равняется количеству энергии, про­шедшей через предыдущее сечение, плюс количество энергии, подведен­ной IIJBIie на участке от одного се­чения до другого, и минус потеря энергия на трение в пределах того же участка.

УРАВНЕНИЕ БЕРНУЛЛИ —

математическое выражение закона сохранения энергии применительно к условиям протекания жидкости. В условиях движения элементарной струйки жидкости, лишенной трения (идеальная жидкость), У. Б. имеет вид

где Zi и Z2 — высота положения рас­сматриваемой струйки жидкости в сечениях 1 и 2 паи

плоскостью сравнения

величины пьезометрического напо­ра (давления) в сечениях 1 и 2;

— скоростной напор

в сечениях 1 и 2 при скоростях те­чения, равных соответственно Ш и V2; g — ускорение свободного паде­ния.

Каждый член У. Б., записанного в форме (*), имеет размерность энер­гии в единице веса жидкости, что эквивалентно размерности длины. Вследствие этого составляющие У. Б. характеризуются высотами (напора­ми) и называются соответственно высотой положения, или геодезиче­ским напором (Z), nc"-'''-эпической высотой, или напором , и ско­

ростным напором, или высотой (

Иначе У. Б. можно трактовать как сумму трех удельных энергий: потен­циальной энерги жения (Z),

энергии давлени: кинетиче­ской энергии. Так как пьезо­

метрический напор и высота положе­ння представляют потенциальную энергию (в отличие от кинетической

энергии, заключенной вскоростном напоре), то сумманазы­вается потенциальным напором.

Если энергию движущейся жид­

кости выразить относительно едини­цы объема, то получим У. Б., выра­жающее удельную объемную энергию

а разделив последнее выражение на р, получим значение удельной энер­гии на единицу массы

При движении вязкой жидкости удельная энергия

в сечениях 1 и 2 будет различаться на величину потери энергии на пре­одоление сил сопротивления иа этом участке.

Для речного потока (струи ко­нечных размеров) У. Б. имеет вид

где a — корректив при исчислении удельной кинетической энергии, за­висящий от распределения скорости по сечению и превышающий единицу, для речных потоков обычно прини­мают а= 1,1; hw— потеря энергии иа преодоление сопротивлений между сечениями 1 и 2.

УРАВНЕНИЕ БУССИНЕСКА —

см. Уравнение Сен-Венана.

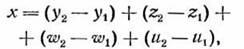
УРАВНЕНИЕ ВОДНОГО БА­ЛАНСА — выражение, определяющее соотношение между количеством во­ды, поступившей за какой-либо пе­риод времени через рассматриваемый контур и выходящей за его пределы с учетом изменения запасов воды в объеме, ограниченном этим контуром. Учет возможных направлений посту­пления воды для указанных условий приводит к следующему соотноше­нию.

Приходную часть У. в. б. в объе­ме, ограниченном произвольным кои- туром, будут составлять атмосфер­ные осадки х, конденсация влаги в пределах рассматриваемого объема ζ, подземный приток w и поверхно­стный приток у. Расходование влаги из рассматриваемого объема может осуществляться путем испарения с поверхности воды, снега, почвы, рас­тительного покрова и транспирации Z2 подземного оттока воды W2 и по­верхностного оттока воды у2. Превы­шение приходной части баланса над расходной вызовет увеличение запа­сов влаги (H2); обратное соотноше­ние, очевидно, может произойти толь­ко за счет уменьшения запасов вла­ги (U1). В этом случае общее урав­нение баланса влаги для произволь­ного контура и произвольного про­межутка времени запишется в виде

или, объединяя результат действия прямо противоположных факторов (испарение — конденсация, приток — отток, прибыль — убыль запасов во­ды), можно записать

Применительно к отдельным ча­стным случаям это общее выражение может существенно видоизмениться. Так, для достаточно больших водо­сборов часто можно пренебречь под­земным притоком и подземным сто­ком. Для многолетнего периода из­менение запасов влаги в пределах речных водосборов колеблется около некоторого среднего положения H потому из итогового балансового со­отношения для такого отрезка вре­мени выпадает из рассмотрения. При применении У. в. б. к небольшим периодам времени и к условиям ма­лого изменения влаги в рассматри­ваемом объеме может оказаться су­щественной роль конденсации. Вооб­ще, степень дифференциации У. в. б. и состав входящих в него слагаемых определяется сущностью рассматри­ваемой задачи. Иногда в гидрологи­ческой литературе некоторые формы записи У. в. б. именуют дифференци­рованными У. в. б., что не вытекает нз смысла рассматриваемого уравне­ния, ибо оно всегда с той или иной степенью детальности дифференциро­ванно относительно его составляю­щих.

УРАВНЕНИЕ ГИДРОСТАТИ­КИ— уравнение, определяющее ги­дростатическое давление несжимае­мой жидкости (P)1 оно имеет вид

P = P0 + Ά

где P0— давление на свободной по­верхности, называемое начальным ги­дростатическим давлением; у — плот­ность жидкости; h — глубина погру­жения точки, относительно которой вычисляется гидростатическое давле­ние. Давление P'=yh, равное весу столба жидкости высотой /г с единич­ной площадью сечения, называется избыточным.

УРАВНЕНИЕ ДЕФОРМАЦИИ РЕЧНОГО РУСЛА — аналитическое выражение связи между деформа­цией русла и изменением расхода дойных наносов по длине потока; при оценке деформации на единицу ши­рины русла имеет вид

где q-r — расход донных иаиосов иа единицу ширины русла (в плотном теле) в начале рассматриваемого участка; ε — коэффициент пористо­сти грунта I; S —

длина рассматриваемого участка; г — средняя отметка дна в пределах участка в начальный момент време­ни t.

Из У. д. р. р. следует, что дефор­мации размыва соответствует увели­чение, а деформации намыва—умень­шение твердого расхода по длине потока.

Для всего речного русла или выделенной в потоке полосы (струи) с меняющейся по длине шириной В зависимость (*) примет вид

где Qi=qiB — твердый расход струи или всего потока, так же как и ши­рина В, меняется по длине потока и во времени.

Уравнение (*') обычно использу­ется в расчетных построениях для оценки русловых деформаций.

В практических расчетах уравне­ние (*') применяется в форме конеч­ных разностей, решенных относитель­

но приращении дна Аг

где _ .j — разность величии твердого расхода в начальном и конечном се­чениях расчетного участка струи или потока; Bcp— средняя на участке ширина CTm'" (потока); AS — длина участка; —расчетный интервал времени.

УРАВНЕНИЕ ЗАПАСА —то же, что уравнение неразрывности приме­нительно к оценке запасов воды в руслах рек. Этот термин использу­ется американскими гидрологами.

УРАВНЕНИЕ ЛОРЕНТЦЛ— интеграл уравнений Рейнольдса для частного случая равномерного уста­новившегося продольно-однородного движения жидкости при условии расположения максимальной скорости иа поверхности потока

где V — ""“"Ьфициеит физической вяз­кости; — — градиент осредиеи-

ной скорости течения по глубине по­тока;— продольная и поперечная составляющие пульсационной скоро­сти; g — ускорение свободного паде­ния; ( — уклон; Ii—глубина потока; у — координата рассматриваемой точ­ки, отсчитываемая от поверхности.

Считая первый член, характери­зующий величину физической вязко­сти, малым по сравнению со вто­рым, характеризующим турбулент­ную вязкость, запишем У. Л. в виде

Учитывая, что последнее выра­жение, характеризующее турбулент­ную вязкость, может быть представ­лено в виде u'v' = ku2, имеем

т. е. формулу Шези (и — средняя скорость течения).

УРАВНЕНИЕ МАГНУСА —эм­пирическая зависимость, устаиавли-

вающая связь упругости насыщаю­щих паров (е„ мы) с температурой испаряющей поверхности (Z)

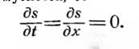
УРАВНЕНИЕ НЕРАЗРЫВНО­СТИ — математическая формулиров­ка условия сплошности жидкости при ее движении, осуществляемом без образования пустот в занимае­мом ею пространстве.

В общем случае (иеустаиовив- шегося движения)У. и. имеет вид

•если иа рассматриваемом малом участке русла нет бокового притока,

и если имеется боковой приток, где q — боковой приток на единицу дли­ны.

Синоним: уравнение непрерывно­сти, уравнение сплошности.

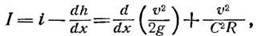
УРАВНЕНИЕ НЕУСТАНОВИВ- ШЕГОСЯ ДВИЖЕНИЯ — аналити­ческое выражение зависимости укло­на водной поверхности (Z) от измене­ния скорости течения (о) во времени (Z) и по длине потока (х), а также от величины потерь энергии на прео­доление сил сопротивления в усло­виях иеустановившегося медленно из­меняющегося движения

где і — уклон дна; h — глубина по­тока; g — ускорение свободного па­дения; C—коэффициент Шези; R— гидравлический радиус.

Основными допущениями при выводе У. и. д. являются рас­смотрение одномерной задачи (т. е. учет влияния только средней по се­чению продольной скорости V) и предположение, что силы сопротивле­ния при неустановившемся движении выражаются тем же законом, что и при установившемся и даже при рав­номерном движении.

Первые два члена в правой ча­сти называются инерционными.

При отбрасывании их У. н. д. превращается в уравнение равномер­ного движения (формула Шези), а при "вбрасывании только одного чле­на У. н. д. переходит в уравне­ние неравномерного (установившего­ся) движения.

Обычно при исследовании рас­пространения воли паводков и по­пусков, кроме участков, находящихся в непосредственной близости от ГЭС и районов резко изменяющегося се­чения русла, инерционными членами пренебрегают.

См. также уравнение Сен-Венана.

УРАВНЕНИЕ ОЛЬДЕКОПЛ — формула для определения среднего многолетнего испарения с поверхно­сти речных водосборов (г) по средним многолетним значениям осадков, вы­падающих в пределах рассматривае­мой территории (х), и испаряемо­сти (Z0)

где th — символ гиперболического тангенса, изменяющегося от 0 до 1,0.

УРАВНЕНИЕ РЕГРЕССИИ — уравнение, выражающее статистиче­скую зависимость одной переменной величины (у) от другой (х), для слу­чая прямолинейной корреляции име­ет вид

где х, у — средние значения величин X и у; Ox и Oy—средиеквадратиче- ские отклонения величин X и у; г — коэффициент корреляции.

У. р. широко применяются для характеристики связи между различ­ными гидрологическими величинами, находящимися между собой в корре­лятивной зависимости.

УРАВНЕНИЕ ТЕПЛОВОГО БА­ЛАНСА — количественное соотноше­ние между величинами тепловых по­токов, входящих в пределы рассмат­риваемого контура и выходящих за его пределы с учетом изменения за­паса тепла в объеме, ограниченном этим контуром.

При составлении уравнения теп­лового баланса необходимо осущест-

273

пить учет всех потоков тепла, погло­щаемых рассматриваемым водным объектом или расходуемых им через плоскости раздела, ограничивающие его от окружающего пространства. Элементами теплообмена, между вод­ным объектом и окружающей средой являются:

Scp — поглощаемая подстилаю­щей поверхностью (водой, снежным, ледяным покровом) суммарная (пря­мая и рассеянная) солнечная радиа­ция;

Sna — поглощаемое подстилаю­щей поверхностью встречное длинно­волновое излучение атмосферы;

Shb — потеря тепла подстилаю­щей поверхностью путем длинновол­нового излучения;

Sra — обмен тепла с атмосферой путем конвекции, молекулярной H турбулентной теплопроводности;

Shk — тепло, затрачиваемое на испарение или выделяемое при кон­денсации;

Sth — теплообмен· с дном;

Snp — тепло, приносимое водой притоков и источников;

Sct — тепло, BbIHOCHMOe ПОВерХ- востиым и подземным стоком;

Soc — тепло, поступающее от дождевых осадков или затрачивае­мое на таяние снега;

Sn—тепло, выделяемое при обра­зовании льда или затрачиваемое при его таянии на месте (в пределах дан­ного водоема или в пределах рас­сматриваемого участка);

Shh — тепло, затрачиваемое на таяние льда, внесенного на рассмат­риваемый участок реки или водоем притоками;

Skb — тепло, ВЫДеЛЯеМОе ПрИ раС- сеянии кинетической энергии.

Помимо указанных элементов теплообмена, иа температуру воды влияет: тепло, выделяющееся при биохимических процессах; тепло, по­ступающее из недр земли; отражен­ная от берегов суммарная солнечная радиация и т. и.; ио существенного влияния эти источники тепла обыч­но не оказывают и поэтому в тепло­вом балансе не учитываются. Тепло, выделяющееся при движении жид­кости за счет сил трения (Sk3) , на­чинает играть заметную роль лишь при скоростях течения, превышающих 0,4—0,5 м/с, наблюдающихся в реках и сильно проточных озерах и водо­хранилищах.

Составляющие теплового баланса Scp, Siia, Snp, Skh БССГДЗ ПОЛОЖИТСЛЬ- иы; Sub, Sct И Shh ВСеГДа ОтрИЦЭ- тельны; остальные составляющие мо­гут обусловливать как увеличение, так и уменьшение запаса тепла в водной массе. Тепловой поток Shh положителен при конденсации и от­рицателен при испарении. Если теп­ловые потоки S-IH и Srn направлены от водной массы в атмосферу или литосферу, то о,ни будут иметь от­рицательный знак, при обратном по­токе тепла — положительный знак. При образовании льда тепловой по­ток Sji будет положителен, при тая­нии— отрицателен, величина Soc по­ложительна при дождевых осадкак н отрицательна при снеге.

Сопоставляя положительные и отрицательные тепловые потоки, мож­но найти величину результирующего теплового потока S, характеризую­щую изменение теплосодержания в рассматриваемом объеме воды за промежуток времени т. При увеличе­нии содержания тепла в озере вели­чина S положительна, а при умень­шении — отрицательна.

Учитывая изложенное, уравнение теплового баланса· для некоторого периода времени τ может быть запи­сано в виде

Во многих случаях нет необходи­мости учитывать все перечисленные составляющие теплового баланса. Так, в теплый период года, а на незамер­зающих водных объектах и в течение любого периода можно пренебречь теплотой образования и таяния льда Sn, Snn- Применительно к условиям бессточных озер отпадает тепловой ПОТОК Sct.

-Часто можно пренебречь теплом, приносимым притоками (Snp), дож­девыми осадками (Soc) и затрачивае­мым на таяние льда, приносимого притоками (Snn). ITa глубоких озе­рах (глубиной >20 м) можно не учи­тывать и член Srn, так как годовой ход температуры у дна таких озер сильно сглажен и потому теплообмен между водной массой и ложем очень мал. На мелководных озерах, особен­но в период ледостава, роль теплооб­мена с дном возрастает и пренебре­гать членом 5Тд уже нельзя.

Для периода, когда на водоеме отсутствуют ледяные образования, основную роль в тепловом балансе играет суммарная солнечная радиа­ция Scp, излучение атмосферы S„a, излучение ВОДЫ Shb, рЭСХОД ТеПЛЭ ИД испарение Snc и турбулентный тепло­обмен водной массы с атмосферной S-ra.

При наличии снежно-ледяного покрова и установившегося в аго толще теплового режима тепловые потоки, характеризующие теплообмен C атмосферой (Sep, Sna, Shc, Sto), МОЖНО заменить ОДНИМ ПОТОКОМ Stjic выражающим тепловой поток от во­ды в атмосферу сквозь снежио-ледя- ную толщу. Допускаемая при такой замене неточность, являющаяся след­ствием неучета части солнечной ра­диации, проникающей в воду, стано­вится существенной лишь весной, когда после схода снежного покрова некоторая часть солнечной радиации начинает проникать сквозь лед в воду.

Если уравнение теплового балан­са составляется для годового перио­да, то составляющие STa (теплооб­мен с дном) и Sm (тепло, выделяе- мое при образовании льда или затра­чиваемое при его таянии) в него не войдут, так как в течение года теп­лоотдача дну компенсируется прихо­дом тепла от него, а тепло, выделяе­мое при образовании льда, компен­сируется затратами тепла при его таянии.

Для периода весеннего снеготая­ния уравнение теплового баланса снежного покпова имеет вид

где Sch — итоговая величина прихо­да тепла к снегу.

В этом случае теплоприход от почвы обычно невелик и им можно пренебречь. Приток тепла за счет жидких осадков также достаточно мал и может не приниматься во вни­мание. Обычно не учитывается и тепло, расходуемое на изменение тем­пературы снега.

При составлении уравнения теп­лового баланса все его составляющие должны быть выражены в одинако­вых тепловых единицах: в виде количества тепла (кал, ккал, ткал) или в форме теплового потока, отнесенного к единице поверхности (кал/(см2-сутки),

кал/ (см2■ год), ткал/см2- сутки)).

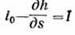
УРАВНЕНИЕ СЕН-ВЕНАНА — У. С.-В. обычно называют систему в виде двух совместно решаемых диф­ференциальных уравнений, определя­ющих связь между гидравлическими характеристиками потока и силами, действующими на массу движущейся воды в условиях неустаиовившегося потока

Строго говоря, У. С.-В. является лишь первое уравнение системы, т. е. уравнение динамического равновесия, определяющее уклон потока, при ко­тором все внешние и внутренние си­лы, действующие на поток жидкости, включая и силы инерции в условиях неустаиовившегося движения, находя­тся в равновесии. Второе уравнение системы является уравнением нераз­рывности; в практике гидрологиче­ских расчетов оно известно и как уравнение водного баланса участка реки.

В этих уравнениях ί0 — продоль­ный уклон дна потока;

уклон водной поверхности, выражен­ный в форме разности между укло­ном дна и изменением глубины (/г) вдоль потока; S—координата рас­стояния, отсчитываемого вдоль пото­ка; V — средняя скорость потока; С— коэффициент Шези; /? — гидравли­ческий радиус; t — время; g — уско­рение свободного падения; ω — пло­щадь живого сечения; Q — расход воды.

Из уравнения (*) следует, что в условиях неустаиовившегося движе­ния поверхностный уклон потока формируется под действием следую­щих сил:

а) cor·""·''·'"

где Л — модуль расхода;

б) инерции, возникающей в ре­зультате изменения скорости в дан­ном сечении с течением времени,

в) инерции, возникающей вслед­ствие изменения скорости по длине потока

В условиях установившегося те­чения инерционный член, характери­зующий зависимость элементов дви­жения от времени, исключается, и уравнение (*) принимает вид

Наконец, для условий неизменно­сти кинетической инерции по длине потокаисключается инерционный члени уравнениестано­

вится тождественным уравнению III ези

Уравнение (’ ) означает, что раз­ность расходов воды иа границах участка за единицу времени равна изменению объема воды на участке.

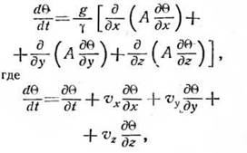
УРАВНЕНИЕ ТУРБУЛЕНТНОЙ ДИФФУЗИИ — дифференциальное уравнение, определяющее процессы перемешивания в турбулентном пото­ке, в частности, процессы разбавле­ния растворов и переноса взвешенных частиц (наносов). У. т. д., записанное в системе прямоугольных координат X, у, 2, имеет вид где

где s — концентрация растворенных или взвешенных веществ; t — время; g — ускорение свободного падения; у — плотность воды; А — коэффици­ент турбулентного обмена; w — гид­равлическая крупность взвешенных частиц; vx, vy, vz — компоненты вектора скорости.

У. т. д. получено в 1931 г. В. М. Маккавеевым. В гидрологии оно применяется при решении задач о разбавлении растворов и сточных вод в разных потоках, о взвешивании наносов и т. д. Для потока, харак­теризующегося отсутствием попереч­ных течений и постоянством условий взвешивания вдоль поперечной оси

Если движение установившееся и равномерное, а также имеет место установившееся распределение вдоль течения MVTHOCTH.то

При указанных ограничениях У. т. д. принимает вид

Интегрирование этого уравнения непосредственно дает выражение вертикального профиля мутности.

УРАВНЕНИЕ ТУРБУЛЕНТНОЙ ТЕПЛОПРОВОДНОСТИ _ диффе­ренциальное уравнение, определяю­щее процессы передачи тепла в тур­булентных потоках. В системе пря­моугольных координат имеет вид

θ — температура; і — время; g—ус­корение свободного падения; у — плотность воды; А — коэффициент турбулентного обмена; νχ, νυ, υζ — компоненты вектора скорости.

У. т. т. получено В. М. Макка- веевым. В гидрологии используется для решения задач по термине реч­ных потоков.

Применительно к задаче расче­та охлаждения или нагревания с по­верхности или от дна равномерного установившегося потока, характери­зующегося незначительным искрив­лением в плане (Oi=O2 = O). У. т. т.

TTT-I П

Здесь в целях дальнейшего уп­рощения местная скорость v и мест­ный коэффициент турбулентного об­мена А заменены их средними зна­чениями по вертикали оСр и ЛСр.

УРАВНЕНИЕ УСТАНОВИВШЕ­ГОСЯ НЕРАВНОМЕРНОГО ДВИ­ЖЕНИЯ— аналитическое .выражение зависимости уклона водной поверх­ности (Г) от изменения скорости те­чения (о) по длине потока (х) и от величины потерь энергии на преодо­ление сил сопротивления в условиях неравномерного медленно изменяюще­гося движения

где C — коэффициент Шези; Д — гид­равлический радиус; h — глубина по­тока; і — уклон диаі

Иногда в первом числе правой части учитывают корректив скоро­сти а.

УРАВНЕНИЕ ШЕЗИ —см. Фор­мула Шези.

УРАВНЕНИЕ ШРЕЙБЕРА —

одна из форм выражения уравнения водного баланса речного бассейна за многолетний период; применительно к задаче расчета величины среднего многолетнего испарения У. III. име­ет вид

где г — величина среднегодового ис­парения с поверхности речного бас­сейна; х— среднегодовая сумма осад­ков; Z0 — максимально возможное испарение (испаряемость).

В отношении величины нормы стока (у) У. Ш. имеет вид

См. также уравнение Ольдекопа.

М. И. Будыко, выразив макси­мально возможное испарение через величину радиационного баланса (7?) и соединив уравнения Шрейбера и Ольдекопа в форме среднегеометри­ческого их значения, получил выра­жение вида

где R — поток радиационного тепла, ккал; L — скрытая теплота испаре­ния, равная 0,6 ккал; х ■— среднего­довая сумма осадков; Ih—гипербо­лический тангенс.

УРАВНЕНИЕ ШТЕНБЕРГА—за­висимость, характеризующая интен­сивность истирания частиц наносов (уменьшение их линейных размеров) по мере продвижения вниз по тече­нию потока.

где d — средний диаметр частицы на­логов на расстоянии х от начального створа; d0 — начальный диаметр ча­стицы (при х = 0); е — основание на­туральных логарифмов;

<< | >>
Источник: А. И. ЧЕБОТАРЕВ. ГИДРОЛОГИЧЕСКИЙ СЛОВАРЬ. Издание третье переработанное и дополненное. .ЛЕНИНГРАД ГИДРОМЕТЕОИЗДАТ 1978. 1978

Еще по теме У:

  1. Педагогіка. Інтегрований курс теорії та історії: Навчально- методичний посібник: У 2 ч. / За ред. А.М. Бойко. — Ч. 2. — К.: ВІПОЛ; Полтава: АСМІ,2004. — 504 с., 2004
  2. Кармазин Ю.А., Стрельцов Е.Л. и др.. УГОЛОВНЫЙ КОДЕКС УКРАИНЫ. КОММЕНТАРИЙ. Харьков-Одиссей, 2001
  3. ПРЕДИСЛОВИЕ
  4. РЕДАКТОРСКАЯ СТАТЬЯ
  5. ОБЩАЯ ЧАСТЬ
  6. Раздел I
  7. ОБЩИЕ ПОЛОЖЕНИЯ
  8. Статья 1. Задачи Уголовного кодекса Украины
  9. Статья 2. Основание уголовной ответственности
  10. Раздел II ЗАКОН ОБ УГОЛОВНОЙ ОТВЕТСТВЕННОСТИ
  11. Статья 3. Законодательство Украины об уголовной ответственности
  12. Статья 4. Действие закона об уголовной ответственности во времени
  13. Статья 7. Действие закона об уголовной ответственности в отношении преступлений, совершенных гражданами Украины и лицами без гражданства за пределами Украины
  14. Статья 8. Действие закона об уголовной ответственности в отношении преступлений, совершенных иностранцами и лицами без гражданства вне пределов Украины
  15. Статья 9. Правовые последствия осуждения лица за пределами Украины
  16. Статья 10. Выдача лица, обвиняемого в совершении преступления, и лица, осужденного за совершение преступления