Определение сил взаимодействия мелющих тел
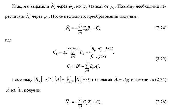
Поскольку нам теперь известны формулы, выражающие
через
, четные уравнения системы(2.43) могут быть использованы для определения
Каждое из этих уравнений может быть записано в следующем виде:
здесь
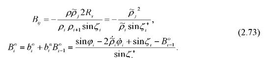
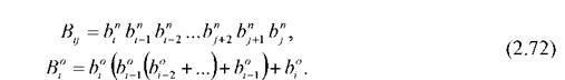
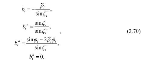
Из рекуррентных формул могут быть получены формулы, которые позволяют определить
в явном виде как функции от φ.:
где
Для второй из формул(2.72) легко получить рекуррентную формулу, а первая формула, с учетом(2.70) и(2.44),может быть преобразована к более простому виду:
Заметим, что Bijопределено и имеет смысл только при
при этом
68
Вычисление сил взаимодействия мелющих тел упрощается, согласно и выпол
няется с помощью координаты модуля.
2.3.3
Еще по теме Определение сил взаимодействия мелющих тел:
- Определение мощности, расходуемой на подъем мелющих тел внешнего слоя
- Траектория движения мелющих тел при водопадном режиме работы мельницы
- Траектория движения мелющих тел при каскадном режиме работы мельницы
- Определение величины малоподвижного ядра мелющей загрузки
- о том, благодаря чему каждое вновь образованное тело принадлежит к определенному роду вещей и отличается от других [тел]
- ДИРЕКТИВА ВЕРХОВНОГО ГЛАВНОКОМАНДОВАНИЯВООРУЖЕННЫХ СИЛ О ПОДДЕРЖКЕ БОЕВЫХ ДЕЙСТВИЙВОЕННО-ВОЗДУШНЫХ СИЛ ПРОТИВ АНГЛИИДЕЙСТВИЯМИ СУХОПУТНЫХ ВОЙСК И ВОЕННО-МОРСКИХ сил
- § 2. Сведение обеих взаимодействующих сил к одному общему принципу
- Определение сил давления шарового слоя и условий его отрыва от внутренней поверхности барабана
- Определение взаимодействующих метрик
- Структура дорожки Крамара из вихрей эфира, торсионные поля (СВИ, спайки и др.) зависят от радиуса крутящихся тел, от скорости вращения, движения и от других вполне конкретных физических параметров тел и среды, которые их порождают.
-
Архитектура и строительство -
Безопасность жизнедеятельности -
Библиотечное дело -
Бизнес -
Биология -
Военные дисциплины -
География -
Геология -
Демография -
Диссертации России -
Естествознание -
Журналистика и СМИ -
Информатика, вычислительная техника и управление -
Искусствоведение -
История -
Культурология -
Литература -
Маркетинг -
Математика -
Медицина -
Менеджмент -
Педагогика -
Политология -
Право России -
Право України -
Промышленность -
Психология -
Реклама -
Религиоведение -
Социология -
Страхование -
Технические науки -
Учебный процесс -
Физика -
Философия -
Финансы -
Химия -
Художественные науки -
Экология -
Экономика -
Энергетика -
Юриспруденция -
Языкознание -