Структура и цена капитала, методы оценки финансовых активов, доходности и риска
Одним из важнейших критериев принятия решений при выборе источников финансирования в системе управления финансами выступает стоимость капитала, поэтому во внимание следует принимать будущую структуру капитала, которая связана с привлечением дополнительных финансовых средств.
Следует различать текущую, предельную и целевую стоимость капитала.Текущая стоимость капитала характеризует существующую структуру капитала организации и может быть выражена как в балансовой, так и в рыночной оценке. Рыночная оценка точнее балансовой, так как определяет истинные доходы предприятия, которые могут быть получены при реализации его ценных бумаг на рынке. Поскольку текущая стоимость капитала учитывает уже произведенные затраты по привлечению капитала акционеров, пайщиков и уже заключенные кредитные договоры, условия коммерческого кредитования, она представляет интерес в плане оценки прошлых действий руководства. Обычно стоимость капитала выступает как критерий принятия решений при выборе ис-
82
точников финансирования, поэтому во внимание следует принимать будущую структуру капитала и связанные с привлечением дополнительных средств издержки. Следовательно, здесь стоимость капитала выступает как предельная ставка платы за те или иные финансовые ресурсы, которые предприятие собирается использовать в будущем.
Целевая стоимость капитала характеризует желаемое соотношение заемных и собственных средств. Поскольку предприятие в зависимости от конкретной задачи имеет в виду определенное отношение отдельных элементов капитала, оценка капитала должна строиться на основе стоимости каждого элемента и его доли в данном соотношении. Цена собственного капитала в целом рассматривается с позиции упущенной выгоды, при этом следует учитывать особенности формирования отдельных его составляющих. Самой трудной задачей является определение цены акционерного капитала.
Существуют три основных метода определения рыночной цены акций:- метод доходов;
- метод дивидендов;
- оценка риска на основе модели САРМ.
Дивидендный метод и метод доходов с различной степенью точности пытаются оценить будущий уровень доходов.
> Метод дивидендов является наиболее приближенным вариантом оценки выгод, получаемых акционерами. В его основе лежит модель М. Гордона, описывающая рыночную цену акции Р:
![]() |
где D - прогнозируемый дивиденд на акцию; K^ - требуемая норма дохода на акцию; d - ожидаемый темп роста дивидендов Kara/
![]() |
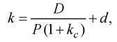
Если необходима предельная оценка, которая должна учитывать стоимость размещения новых акций (стоимость эмиссии), то формула может быть модифицирована следующим образом:
![]() |
где k - предельная оценка стоимости размещения новых акций (стоимость эмиссии); кс - стоимость выпуска новых акций, выраженная в процентах.
Этот метод требует осторожности. Он не учитывает специфику корпорации, отрасли, риска вложений в данную корпорацию, к тому же статистические данные говорят об отсутствии прямой связи между ростом дивидендов и ростом цены акций.
> Метод доходов строится на расчете коэффициента Р/Е, отражающего соотношение рыночной цены акций Р и прибыли, приходящейся на акцию ЕРS. Приблизительная оценка будущих доходов выглядит следующим образом:
![]() |
где EPS - прогнозируемый доход на акцию.
^ Более совершенным и точным является метод оценки риска на основе модели оценки капитальных вложений (САРМ). Он включает в себя расчет следующих показателей:
- безрисковой ставки R, соответствующей, как правило, доходности государственных ценных бумаг (в наших условиях - ставке Сбербанка РФ, в США - ставке казначейского векселя);
- среднерыночной доходности Км, т. е. средней ставки дохода по всем акциям, котирующимся на фондовом рынке.
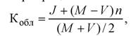
Большего доверия заслуживает экспертный метод, предполагающий оценку макроэкономических, отраслевых и финансовых рисков для конкретного предприятия по ряду показателей (ликвидности, рентабельности, финансовому и производственному левериджу и т. д.). Корпорация может выпускать для финансирования своих проектов такие ценные бумаги, как облигации. По сути это в чистом виде заемный капитал, но цена рассчитывается без поправок на налогообложение, поскольку проценты по облигациям выплачиваются из дохода, оставшегося в распоряжении корпорации.
![]() |
где Кобл - требуемая норма дохода на облигацию; J - сумма годового дохода по процентам; М - номинальная стоимость облигации; V - чистый доход от продажи облигации; n - количество лет, на которые выпущена облигация.
При выборе источников финансирования и расширения деятельности своей корпорации руководство заинтересовано в том, чтобы средневзвешенная цена росла при условии опережающего роста, во-первых, показателя EPS и, во- вторых, стоимости корпорации. Только такое финансирование отвечает долговременным целям развития корпорации, поэтому эти условия являются основными критериями оптимизации структуры капитала. Для этого устанавливается зависимость показателя дохода на акцию от дохода от продаж (EBIT) при различных сочетаниях долгосрочных источников финансирования. В модели точек безразличия сравниваются выпуск обыкновенных акций и выпуск привилегированных акций, а также выпуск облигаций обыкновенных акций.
Основной целью анализа данной модели является определение точек равновесия, при которых безразлично, какой источник финансирования выбрать. Точка равновесия находится по следующей формуле: где N1 - количество акций с учетом нового выпуска; N2 - прежнее количество акций в обращении; D1 - заемный капитал; D" - величина заемного капитала с учетом привлечения новых кредитов; Dnp - дивиденды по привлеченным акциям; k3 - цена заемного капитала после налогообложения; Т - налог на прибыль. |
Основоположники теории структуры капитала Франко Модельяни и Мертон Миллер в своих работах сделали вывод о независимости корпорации и общей стоимости капитала от структуры и источников финансирования в условиях идеального рынка капитала. Далее они математически обосновали, что в результате судебных операций инвесторов рыночная стоимость корпорации (EBIT/WACC) выравнивается независимо от структуры источников капитала. В последующих исследованиях они ввели в модель налог на доходы, который позволил выявить преимущества заемного финансирования. Если ставки налога на доходы по акциям и облигациям равны, то стоимость корпорации снова оказывается независимой от структуры капитала.
Общий вывод. На структуру капитала определяющее влияние оказывает уровень налогообложения: чем выше налог на доходы акционеров, тем выгоднее заемное финансирование и наоборот. Следует иметь в виду, что оптимальная структура капитала конкретной корпорации зависит от многочисленных факторов. К наиболее существенным относятся показатели прироста выручки, оборачиваемости активов, делового риска, взаимоотношения с кредиторами, конкурентная среда. Комбинация различных факторов приводит к тому, что корпорации далеко не всегда стремятся использовать вышеназванные преимущества заемного финансирования, а предпочитают прибегнуть к другим источникам увеличения их капитала. Исследования в этой области позволили профессору Государственного университета (США) Г. Дональдсону сформировать ряд выводов, которые отчасти находят подтверждение на примере отдельных отечественных корпораций. Ниже приводятся наиболее значимые положения из выводов Г. Дональдсона:
У корпорации предпочитают финансироваться за счет нераспределенного дохода и амортизационных отчислений;
У в случае нехватки собственных средств корпорации лишь в крайнем случае прибегают к выпуску акций, пытаясь сначала решить проблемы с помощью продажи ценных бумаг, принадлежащих корпорации, а только затем использовать кредиты банков и конвертируемые долговые обязательства.
1.4.2.
Еще по теме Структура и цена капитала, методы оценки финансовых активов, доходности и риска:
- Модель оценки доходности финансовых активов (САРМ)
- 2.2 Оценка риска актива
- Увеличение доходности, финансовой устойчивости, несение риска.
- 3. При определении (необходимого) общего уровня доходности финансовых операций с учетом фактора риска используется следующая формула:
- Методы и показатели оценки риска.
- 4. Методы оценки риска
- 3.4. Оценка основных финансовых активов
- Методы оценки инфраструктурных активов
- 10.2. Методы факторного анализа рентабельности активов и собственного капитала
- 11.5. Оценка степени финансового состояния организации на основе группировки активов и обязательств
- Методы оценки человеческих активов
- Методы оценки регионального инвестиционного риска.
- Методы оценки интеллектуальных активов
- 2.2. Оценка экономического состояния предприятия с использованием взаимосвязей показателей финансово-экономической устойчивости,платежеспособности и риска
- Методы оценки и инструментарий финансового анализа эффективности управления финансами
- Г лава 2. Бесплатные обеды. Доходность без риска. И прочие обаятельные и привлекательные небылицы
- Цена капитала и его основных источников
- Раздел II. Долгосрочная финансовая политика и стоимость капитала
- 4.2. Цена капитала и его основных источников [7, 21]
- 8. Вилы и структура активов, принимаемых в покрытие страховых резервовВиды активов




