<<
>>

1.3. Механизмы потерь в сегнетоактивных материалах

Несмотря на широкое практическое применение сегнетоактивных материалов, существует ряд недостатков, которые проявляются в условиях работы при больших мощностях (высоких напряженностях электрических полей).

Данный вопрос актуален как для материалов нелинейной оптики, к которым, в первую очередь, относятся монокристаллы группы ниобатов, так и для пьезокерамических элементов.

В частности, в последние годы, одновременно с увеличением промышленного спроса на пьезоэлектрические актюаторы, большое внимание уделяется фундаментальным исследованиям вопросов, связанных с надежностью пьезокерамических элементов [Uchino2003, Tong2002]. Основные недостатки, которые прямым образом могут повлиять на надежность конечных устройств, заключаются в существовании различных потерь.

Механизмы потерь в сегнетоэлектрических материалов бывают трех основных типов: диэлектрические, механические и электромеханические. [Uchino2003, Liu2015]. Диэлектрические потери актуальны для любых сегнетоэлектрических материалов, они связанны с наличием гистерезиса при переключении спонтанной поляризации в переменных электрических полях (петли диэлектрического гистерезиса). Механические потери характерны в первую очередь для таких применений пьезоэлектрической керамики, как ультразвуковые моторы [Uehal993, Shigematsu2003, Hu2003, Hul997, Koyama2005, Spanner2006, Бансявичюс1981, Лавриненко 1980, Senousy2009]. Механические потери тем больше, чем ниже механическая добротность Qm.

При работе в резонансном режиме, сопровождающемся увеличением вибраций [Harlow2004, Tooley2006, James 1989, Jackson2004, Crowell2006, Бидерман1980, Uchino2003], такие потери приводят к избыточному тепловыделению устройств и связаны с механическими напряжениями, индуцированными полями. Электромеханические потери, согласно [Uchino2003, Ikedal984], возникают при преобразовании электрической энергии (электрическое смещение D,поляризация Р) в механические деформации (напряжения) за счет пьезоэффекта.

Описание потерь в пьезоэлектрических материалах возможно в терминах электрических и механических коэффициентов рассеяния (факторов диссипации) [Rajapurkar2008]. Эти коэффициенты рассеяния были включены в пьезоэлектрические константы материала как мнимые члены в комплексных константах [Holland1967]. Это эквивалентно введению комплексных параметров ε(диэлектрическая проницаемость), S (упругая деформация) и d (пьезоэлектрический модуль), описанных в работе [Holland1967] для рассмотрения связи потерь гистерезиса с диэлектрической, упругой и пьезоэлектрической энергией. Аналитический и экспериментальный методы расчета этих потерь были разработаны авторами [Uchino2001, Uchino2006], расширение интенсивных и экстенсивных моделей потерь предложено в работе [Ikedal984]. При резонансе в пьезоэлектрических материалах механические потери являются наиболее значимыми из трех типов потерь.

Авторы [Uchino2003] выделяют четыре основные причины диэлектрических и электромеханических потерь: (1) связанные с движением доменных стенок, (2) вызванные наличием точечных дефектов в кристаллической решетке, (3) микроструктурные потери на границах зерен, возникающие вследствие поликристаллической природы материала, и (4) омические потери (которые наблюдаются, главным образом, для высоко электропроводных материалов). В сегнетоэлектриках потери первой категории доминируют над остальными. Они связанны с движением доменных стенок и состоят из диэлектрических, упругих и 16

электромеханических гистерезисных потерь (hysteresis losses). [Visvanathan2011, Rajapurkar2008, Visvanathan2009]. Следствием потерь, которые имеют место в пьезоэлектрических материалах, является значительное тепловыделение (или иными словами саморазогрев образцов), оказывающее негативное воздействие на свойства материалов [Senousy2009, Senousy2009, Zhangl995, Sakail992, Sakai 1998].

Поскольку материалы, используемые для создания слоев МПА, имеют высокие коэффициенты пьезоэлектрической деформации (пьезомодули) (такие как J33и J31), то, как следствие, они имеют высокие потери, которые могут привести к значительному самонагреванию актюатора в условиях эксплуатации [Pritchard2004].

Это может отрицательно сказаться на сроке службы, долговечности (прочности) и точности позиционирования актюаторов, и, кроме того, непрерывная работа при высоких температурах (близких к температуре Кюри) может привести к деградации пьезоэлектрических свойств [VisvanatharHOl 1]. Поэтому саморазогрев в многослойных пьезоэлектрических актюаторах представляет собой серьезную проблему для использования их в системах с динамической нагрузкой, таких как топливные инжекторы. [Senousy2009, Pritchard2004, Rajapurkar2008]. Хотя экспериментальные исследования статического и динамического поведения многослойных пьезоэлектрических актюаторов рассматриваются в ряде работ [Senousy2009, Andersen2000, Heinzmann2002, Li2008, Sakai 1992, Sakai 1998], только ограниченное число исследований посвящено проблеме саморазогрева [Uchino2003, Pritchard2004, Ronkanen2004, Weiland2003, Yao2000].

Результаты ряда исследований [Senousy2009] показывают, что многослойные пьезоэлектрические актюаторы на основе сегнетомягкой керамики титаната цирконата свинца генерируют значительное количество теплоты, когда они приводятся в движение под действием сильных электрических полей и/или высокой частоты, что имеет место, например, в топливных инжекторах. Энергетические потери, в виде значительной 17

генерации тепла (саморазогрев), имеющие место в актюаторах, могут серьезно повлиять на их надежность и пьезоэлектрические свойства [Senousy2009], что ограничивает практическое применение многослойных пьезоэлектрических устройств в условиях эксплуатации [Cochraπ2010, Visvanathan2011-l, Visvanathan2011-2, Pritchard2004] и отрицательно сказывается на сроке службы, долговечности (прочности) и точности позиционирования актюаторов [Senousy2009, Rajapurkar2008].

В частности, в работе [Zhang 1995] рассматриваются процессы тепловыделения в многослойных пьезоэлектрических актуаюторах с разными размерам и характеристиками. Авторами показано, что основная причина саморазогрева есть потери на диэлектрический гистерезис в механически свободном-незажатом состоянии.

Эксперимент по наблюдению роста температуры актюаторов был проведен при продолжительном нахождении образцов в переключающем поле. Образцы находились в свободном и не зажатом состоянии поскольку данное условие сводило к минимуму теплопроводность через контакты держателя. Переключающие импульсы имели треугольную униполярную форму. Для эксперимента использовался усилитель NF 4010 High Speed Power Amplifier (напряжение находилось в диапазоне 300 В, ток в диапазоне 1.2 А). Температура замерялась с помощью очень тонкой (диаметром 0.001 дюйма) хром-алюминиевой термопары.

На рисунке 1.5 [Zhangl995] приведены результаты саморазогрева для актюаторов разного размера в переключающем поле 3 кВ/мм на частоте 300 Гц. Видно, что температура в начальные моменты времени растет экспоненциально, после чего достигает насыщения. Аналогичные результаты также были получены в работе [Senousy2009]. На рисунке 1.6 [Senousy2009] представлены графики роста температуры актюаторов под продолжительным воздействием синусоидального поля разной частоты и амплитуды. В статье [Senousy2009] также показано, что имеется зависимость между ростом температуры саморазогрева и частотой/амплитудой переменного электрического поля. Кроме того, авторы делают вывод, что для слабых 18

электрических полей слабое тепловыделение обусловлено молекулярным трением [Lu2004]. При этом увеличение амплитуды электрического поля приводит к росту активности не 180° доменных стенок в результате чего происходит увеличение петли гистерезиса и как следствие саморазогрев в актюаторах [Senousy2009]. В статье [Pritchard2004] представлены похожие исследования многослойных актюаторов. На рисунке 1.7, а представлены температурные профили, наблюдаемые при выдержке образцов в переменном электрическом поле разной амплитуды (100 В - 1.1 кВ/мм, 150 В -1.7 кВ/мм, 200 В - 2.2 кВ/мм и 250 В - 2.8 кВ/мм) на частоте 50 Гц.

Рис. 1.5 Зависимость температуры от времени выдержки для актюаторов разных размеров (Е = 3 кВ/мм,/= 300 Гц) [Zhangl995]

Сходные результаты были получены и для диапазона частот 50 - 1000 Гц.

На рисунке 1.7,6 показаны зависимости, полученные авторами [Pritchard2004] для температуры саморазогрева от времени при выдержке образца в поле разных частот, амплитуда которого сохранялась равной 1.1 кВ/мм. Зависимости максимального значения температуры саморазогрева от частоты (рис. 1.7, а) и величины (рис. 1.7, б) поля имеют линейный вид. Увеличение температуры, согласно статье [Pritchard2004], в первую очередь

связано с ростом потерь на диэлектрический гистерезис за один цикл переключения [Hardtll982, Hagemannl978, Uchino2001].

Рис. 1.6 Изменение температуры образцов со временем под воздействием синусоидального электрического поля (а - 0.6 кВ/мм, b - 1.4 кВ/мм) разной частоты [Senousy2009]

Рис. 1.7 Зависимость температуры многослойных актюаторов от времени нахождения в электрическом поле частотой 50 Гц при различных значениях амплитуды напряжения (а) и при подаче пикового значения напряжения 100 В для различных частот (b) [Pritchard2004]

Рис. 1.8 Зависимость максимальной температуры саморазогрева от частоты (а) и напряженности (Ь) электрического поля [Pritchard2004]

Дженгом и другими [Zhang 1995] была установлена зависимость между температурой на которую разогревались исследуемые образцы (AT) и ve∕A, где- эффективный объем образца и А - общая площадь

поверхности образца (рис. 1.9). Пропорциональность между объясняется авторами тем, что тепловыделение, как предполагается, пропорционально ve, а диссипация тепла пропорциональна площади

поверхности.

При этом авторами [Zhangl995] было установлено, что тепловыделение зависит, как от частоты (рис. 1.10), так и от напряженности внешнего электрического поля (рис. 1.11, 1.12). В статье [Zhangl995] показано, что для слабых полейрастет практически линейно с увеличением частоты (рис. 1.10), в то время как для более сильных полей (больше 1 кВ/мм) зависимостьот частоты постепенно уходит от линейной. На рисунке 1.11 [Zhangl995] приведена температура образца с размерами 7 х 7 х 2 мм, как функция от времени выдержки для разных величин переменных полей. Рисунок 1.12 [Zhangl995] иллюстрирует максимальную температуру саморазогревакак функцию приложенного электрического поля на разных частотах. Дженгом и другими [Zhang 1995] отмечено, что пропорциональна E2для слабых полей, но при увеличении напряженности постепенно отходит от квадратичной зависимости.

Рис. 1.9 Зависимость температуры саморазогрева от отношения ve∕A (3 кВ/мм,

300 Гц) [Zhangl995]

Рис. 1.10 Зависимость максимальной температура саморазогрева от частоты при выдержке актюатора размером 7 ? 7 х 7 мм в электрическом поле разной напряженности [Zhangl995]

Рис. 1.11 Зависимость тепловыделения от времени нахождения актюатора размером 7x7x7 мм в электрическом поле различной напряженности f= 400 Гц [Zhangl995]

Рис. 1.12 Зависимость максимальной температуры саморазогрева от амплитуды приложенного электрического поля для актюатора размером 7 х 7 ? 7 мм [Zhangl 995]

Тепловыделение (саморазогрев), как постулируется в статье [Zhangl995], вызвано механическими и диэлектрическими потерями и для достаточно сильных полей (напряженность которых выше, чем величина порогового поля) основной вклад в общие потери дают потери на диэлектрический гистерезис. В статье [Zhangl995] сказано, что полученные петли диэлектрического гистерезиса не зависят от размеров актюаторов, но в то же время зависят от температуры, частоты и величины электрического поля. Как отмечено авторами [Zhangl995], форма петель диэлектрического гистерезиса различна для разных температур образца (рис. 1.13). Дженгом и другими [Zhang1995] была получена зависимость сегнетоэлектрических потерь за цикл переключения в переменном электрическом поле (w) от температуры образцов (рис. 1.14). Показано, что и монотонно убывает с ростом температуры образца. Из аналогичной зависимости и от частоты переменного поля также видно, что и убывает с увеличением частоты (рис. 1.15). При этом для зависимости и от величины переключающего поля авторы наблюдали значительный рост величины потерь (рис. 1.16), пропорциональный квадрату напряженности (рис. 1.17).

Рис. 1.13 Петли диэлектрического гистерезиса при температуре (а) 25 0C, (б)

98 0C, полученные в электрическом поле 3 кВ/мм, 300 Гц [Zhangl995]

Рис. 1.14 Диэлектрические потери как функция температуры образца при выдержке в переменном электрическом поле (3 кВ/мм, 300 Гц) [Zhangl995]

Рис. 1.15 Диэлектрические потери, рассчитанные по петлям гистерезиса, как функция частоты (Е= 2 кВ/мм, Z= 25 0C) [Zhangl995]

Рис. 1.16 Петли диэлектрического гистерезиса, наблюдаемые при выдержке образца в поле амплитуды 1 кВ/мм (а), 2 кВ/мм (Ь) и 3 кВ/мм (с) на частоте 300 Гц, T= 25 0C [Zhangl995]

Рис. 1.17 Диэлектрические потери, рассчитанные по петлям гистерезиса, как функция напряженности переменного электрического поля (/= 300 Гц, T= 25 0C) [Zhangl995]

Теоретический анализ полученных результатов авторы [Zhang 1995] построили на основании закона сохранении энергии.

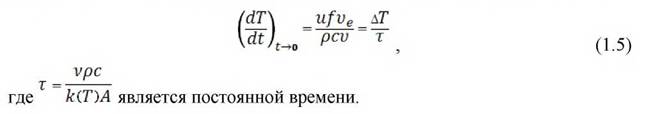
где V, р, с - общий объем образца, плотность и удельная теплоемкость.

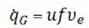
- скорость тепловыделения, где и есть потери образца за цикл переключения на единицу объема, f - частота переменного поля, ve- эффективный объем образца, который фактически выделяет тепло.

Скорость диссипации тепла от актюатора представлена в следующем виде:

где σ - постоянная Стефана-Больцмана, ε - излучательная способность и fcc - средний конвективный коэффициент теплопередачи. На основе данных выражений, Дженгом и другими [Zhang 1995] была получена формула температуры образцовкак функции от времени:

где k(T) - общий коэффициент теплопередачи (Baττ∕M^z∙K), который, как показывают авторы [Zhangl995], является относительно независимым от изменения температуры. Из выражения (1.3) можно записать для предельных случаев:

при условии t → ∞(что соответствует максимальной температуре саморазогрева образца)

при условии t → Q(отсутствует явление диссипации тепла) начальная скорость роста температура, согласно статье [Zhangl995], определяется как:

Экстраполяция экспериментальных данных с использованием уравнения

дает результат, представленный на рисунке 1.18 [Zhangl995]. Таким образом, Дженгу и другим [Zhang 1995] удалось достаточно хорошо аналитически описать экспериментальные результаты явления тепловыделения. Также авторами [Zhangl 995] были посчитаны полные потери образца с помощью выражения (1.5) и сделано заключение о том, что потери на сегнетоэлектрический гистерезис практически равны полным. Авторами [Zhangl995] было подчеркнуто, что согласно выражению (1.4) рост температуры практически линейно зависит от частоты для слабых электрических поле, в то время как для сильных полей (больше 1 кВ/мм) отношение между[/отклоняется от линейной (рис. 1.10).

Рис. 1.18 Аппроксимация кривой, заданной уравнением (1.6), для актюатора размером 7 ? 7 ? 7 мм. E = 3 кВ/мм,/= 300 Гц [Zhangl995]

Потери, обусловленные процессами переключения в сегнетоэлектриках (диэлектрический гистерезис), могут быть как вредными, так и полезными. Примером прямого использования потерь в результате переключения поляризации, могут служить микронагреватели, имеющие широкое применение в разных областях микросистемной техники [Visvanathan2011-2] и в медицине (например, как устройства точечного прижигания тканей) [Visvanathan2011-l]. Данные устройства имеют преимущество благодаря прецизионной точности нагрева при умеренных температурах.

Таким образом, несмотря на то, что на настоящий момент саморазогрев актюаторов на основе керамики ЦТС рассматривается как ограничение, благодаря ряду преимуществ (высокое время отклика, более дешевое производство по сравнению с аналогами) они могут занять прочную позицию в области микро-электромеханических cπcτeM(MEMS) [Visvanathan2009].

Традиционно микронагреватели использовали Джоулев нагрев в тонкопленочных резисторах, изготовленных из металлов или легированных полупроводников [Chung2004, Arata2006, Kimural992]. Много усилий было 29

направлено на развитие нагреватели с высокой эффективностью и низким временем отклика. Это привело к исследованию различных материалов для нагревательных элементов [Visvanathan2009]. Одним из таких материалов стала пьезокерамика состава ЦТС. Температура микронагревателя на основе ЦТС зависит от электрического поля [Zhoul995]. При заданном напряжении, более высокая температура может быть достигнута за счет снижения толщины PZT элемента. Таким образом, микронагреватели из пьезокерамики могут найти большое практическое применение [Visvanathan2009].

<< | >>
Источник: Елисеев Антон Юрьевич. ПРОЦЕССЫ ПЕРЕКЛЮЧЕНИЯ И ДИЭЛЕКТРИЧЕСКИЙ ГИСТЕРЕЗИС КЕРАМИКИ ЦИРКОНАТА-ТИТАНАТА СВИНЦА И МОНОКРИСТАЛЛОВ НИОБАТА БАРИЯ КАЛЬЦИЯ. Диссертация на соискание ученой степени кандидата физико-математических наук. Тверь - 2016. 2016

Еще по теме 1.3. Механизмы потерь в сегнетоактивных материалах:

  1. 2.2. Анализ состояния поляризации в сегнетоактивных материалах с использованием TSW метода
  2. 3.6 Возможные механизмы потерь излучения СО2 - лазера при прохождении через прозрачную оптику. Обсуждение полученных результатов
  3. 3.13. Механизм потери массы при формировании миι√∣)o∕ιιaιιoιιрофи.ія поверхности
  4. 57. К основным механизмам интеграции предприятий в состав корпораций авторы традиционно относят механизм приватизации, механизм банкротства, приобретение акций на вторичном рынке, заключение договоров о совместной деятельности, создание корпораций с государственным участием, слияние и поглощение, разукрупнение.
  5. 1.3 Свойства оптических материалов для области спектра 10 мкм. Критерии для выбора оптических материалов мощных лазеров
  6. 2.2. Нормативы потерь рабочего времени и численности персонала.
  7. Предотвращение потерь и контроль
  8. Как снизить потери салона. Учетная политика
  9. 4.2. Механизм государства. Функции государства и механизм государства Механизм государства: понятие, задачи, структура
  10. § 3. Потери сторон в боях на ржевско-вяземском направлении.
  11. Наркотизации - социальные потери
  12. Потери почв от водной и ветровой эрозии
  13. Риск потери репутации банка
  14. Тангенс угла диэлектрических потерь
  15. Ионизационные потери энергии при движении электрона и позитрона. Тормозное излучение
  16. Потери эффективности при сборе налогового дохода
  17. Риск потери ликвидности
  18. 3.4.1. Структура механизма государства. Государственные органы, их виды 3.4.1.1. Механизм государства:понятие, признаки, принципы его построения и деятельности
  19. Статья 92. Взыскание вознаграждения за потерю времени
  20. Потеря почвами элементов питания