Применение метода НДС для исследования мультиферроиков и композитов на их основе
В настоящее время существует значительный интерес к изучению свойств материалов, в которых в одной фазе одновременно сосуществуют хотя бы два из трех типов упорядочения: ферромагнитный, сегнетоэлектрический и сегнетоэластичный.
Такие вещества называют мультиферроиками.Их свойствами можно управлять одновременным воздействием нескольких внешних полей, что может расширить возможности нелинейных систем и привести к возникновению новых свойств. Интерес к исследованию мульти- ферроиков связан с их возможным практическим применением. Например, в спинтронике или при разработке запоминающих устройств с множественными состояниями, в которых данные хранятся в виде электрической и магнитной поляризации [195]. В данном параграфе рассматривается применимость метода НДС для исследования мультиферроиков и композитов на их основе.
Мультиферроик CuQ. Основные свойства и описание методики получения образцов приведены в параграфе 2.1. Магнитные свойства CuO изучались в ряде работ [196-198], где было показано, что обменные взаимодействия вместе с геометрической фрустрацией приводят к неколлинеарному магнитному порядку, который нарушает инверсионную симметрию и приводит к полярным искажениям решетки. В [199] сообщалось о таких явлениях, как высокотемпературная сверхпроводимость и колоссальное магнитосопротивление в CuO. Исследование диэлектрических свойств проводилось в работе [158], где были измерены значение диэлектрической проницаемости по различным кристаллографическим осям, а также спонтанная поляризация и коэрцитивное поле. Наиболее интересный результат был получен в [200]: в наночастицах CuO (средний размер частиц - 5 нм), приготовленных методом механического измельчения, обнаружили гигантский отрицательный объемный коэффициент теплового расширения β = -1.1 ∙10^4К'1 при температурах ниже
В области высоких температур поведение коэффициента β соответствовало зависимости β( 7), наблюдаемой для объемного материала.
Температурные зависимости действительной части диэлектрической проницаемости ε'(7τ) и тангенса угла диэлектрических потерь tgδ(Γ) для CuO приведены на рисунке 3.4.1. Как показали исследования, для этого образца
характерны возрастание ε'и tgδ с увеличением температуры и незначительные аномалии при температуре перехода Tw= 230 К.
Рис. 3.4.1 Температурные зависимости ε'и tgδ для CuO на частоте 300 КГц и со смещающим напряжением 5 В

Рис. 3.4.2 Температурные зависимости второй (1) и третьей (2) гармоник тока для CuO. Напряженность поля основного сигнала составляла 5 В/см
Таким образом, основные результаты эксперимента сводятся к следующему. В сегнетоэлектрической фазе коэффициент третьей гармоники γ 3ω того же порядка, что и у классических сегнетоэлектриков, несмотря на то, что CuO имеет малые значения спонтанной поляризации и диэлектрической проницаемости. Кроме того, для CuO коэффициент второй гармонику 2ωв сегнетоэлектрической фазе больше, чем коэффициент третьей гармоники/ 3ω (при полях, меньше коэрцитивного), т.е.
в то время как для сегнето
электриков у 2ω< γ3ω, что подтверждается соотношениями (1.1.21) и (1.1.22) для фазового перехода второго рода при T< Tc [105].
Эти результаты свидетельствуют о том, что характерный для сегнетоэлектриков стандартный механизм нелинейности не пригоден для описания мультиферроиков второго рода, где сегнетоэлектрическое состояние индуцируется магнитным упорядочением.
Для объяснения полученных экспериментальных результатов необходимо учитывать магнитную нелинейность.
Рис. 3.4.3 Полевые зависимости коэффициента второй (1) и третьей (2) гармоник для CuO при температуре 220 К
Сосуществование магнитной и сегнетоэлектрической подсистем в мультиферроиках предполагают взаимодействие между ними. Наиболее очевидной комбинацией, удовлетворяющей условию пространственной P-и временной 7-четности, а также инвариантности относительно возможных поворотных и зеркальных элементов симметрии, является биквадратичный вклад в разложение Ландау-Гинзбурга вида P2M2 [201]. Данное взаимодействие является универсальным и присутствует в любом мультиферроике. Оно вызывает сдвиг температур магнитного или сегнетоэлектрического упорядочения и перенормировку величин восприимчивостей, однако оно не может привести к появлению магнитоиндуцированной поляризации. К ней приводит только линейный вклад по вторичному параметру порядка (в данном случае поляризации). Такое взаимодействие реализуется в кристалле без центра инверсии [201].
В центросимметричном кристалле комбинация вида PM2запрещена, а в антиферромагнетиках с несколькими подрешетками ситуация еще более сложная. В этом случае инвариант может быть записан в виде суммы по различным магнитным подрешеткам и центр симметрии кристаллохимической
ячейки связывает магнитные ионы, принадлежащие к различным антиферромагнитным подрешеткам, а вектор L(L = M1- M2)может быть одновременно P-и 7шечетным, т.е. возможны инварианты вида [203]
Инвариант (3.4.1) соответствует линейному магнитоэлектрическому эффекту, а инвариант (3.4.2) описывает связь спонтанной намагниченности, вектора антиферромагнетизма и сегнетоэлектрической поляризации в муль- тиферроиках.
Помимо линейного эффекта в средах с магнитным и электрическим упорядочением можно ожидать нелинейные эффекты более высокого порядка по электрическому и магнитному полю (квадратичных, кубических), а также переключения электрической поляризации магнитным полем [204, 205] и, наоборот, переключения намагниченности электрическим полем
[206] . Перечисленные эффекты могут приводить к увеличению нелинейных коэффициентов в области фазовых переходов.
Одной из причин превышения амплитуды второй гармоники над третьей может являться взаимодействие пьезоэлектрического эффекта и магнитострикции. Как было показано в ряде работ, сегнетоэлектрические и магнитные доменные границы в мультиферроиках оказываются взаимосвязанными
[207] . Одним из возможных механизмов такой связи является флексоэлектрический эффект. Скачок электрической поляризации на границах сегнетоэлектрических доменов может приводить к скачку пространственной производной от магнитного параметра порядка [208], что проявляется в виде неоднородностей в магнитной структуре на границах. Этот эффект может проявляться в виде закрепления магнитных доменных границ на сегнетоэлектрических доменных границах [209, 210], вследствие чего изменение сегнетоэлектрической доменной структуры в электрическом поле приводит к деформации магнитных доменов.
Так как CuO в температурном интервале 213 - 230 К обладает отличной от нуля проводимостью, появление магнитной нелинейности может быть обусловлено протеканием тока, а, значит, возникновением магнитного поля и магнитострикции.
Проведенные исследования показали, что метод нелинейной диэлектрической спектроскопии может быть использован для исследования фазовых переходов в мультиферроиках. Экспериментальные результаты применения метода НДС для исследования CuO указывают, что коэффициент третьей гармоники γ 3ωв сегнетоэлектрической фазе имеет тот же порядок, что и классические сегнетоэлектрики. Однако количественно полученные ранее теоретические выкладки для сегнетоэлектриков не совпадают с данными для мультиферроиков.
Это свидетельствует о том, что в нелинейные токи дает вклад не только электрическая нелинейность, но и магнитная.Как показали результаты по измерению диэлектрических свойств (CuO)√(BaTiO3)ι.x, абсолютное значение емкости при определенных температурах вблизи фазового перехода для CuO обращается в ноль. Эта точка с изменением частоты смещается по температуре (рис. 3.4.4).
Обращение емкости образца на основе мультиферроика CuO сегнетоэлектрика BaTiO3в ноль свидетельствует о том, что такой образец обладает емкостным и индуктивным сопротивлением. При определенных частотах измерительного поля и температуры образца сопротивления становятся равными и наблюдаются резонансные явления. На рисунке 3.5.5 представлены температурные зависимости емкости этого же образца с учетом фазы и тангенса диэлектрических потерь на частоте 10 kHz.
Как следует из графика C(T)(рис. 3.4.5), в данном случае условие равенства емкостной и индуктивной составляющих выполняется дважды: в районе фазового перехода для CuO и фазового перехода BaTiO3. При этом в момент резонанса tgδ увеличивается на несколько порядков.
Таким образом, основные результаты исследования сводятся к следующему. Композиты на основе мультиферроиков и сегнетоэлектриков в за- 93
висимости от температуры могут менять тип проводимости с емкостной на индуктивный. Это позволяет использовать такие составы при изготовлении резонаторов или фильтров для твердотельной электроники.
Рис. 3.4.4 Температурные зависимости абсолютного значения емкости образца (CuO)0.9∕(BaTiO3)0.1 на разных частотах
Проведем теоритическую оценку использования метода (НДС) для исследования свойств мультиферроиков. Рассмотрим соотношение (1.1.1) для одноосного мультиферроика в случае сегнетоэлектрического фазового перехода второго рода. Термодинамический потенциал при воздействии электрического и магнитного полей будет представлен в виде:
где H - напряженность магнитного поля, M - намагниченность, а - магнитная постоянная, к - константа магнитоэлектрического взаимодействия, Tci- температура точки Кюри феромагнетики.
В разложении (3.4.3) рассмотренслучай когда связь между параметрами порядка принимает биквадратную форму 1/2 κP2M2.
Минимизируя свободную энергию (3.5.3) найдем уравнение состояния в электрическом поле при условии, что поле Я = 0:
Диэлектрическая восприимчивость/определяется из (3. 4.4) дифференцированием по поляризации:
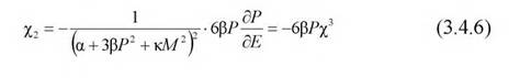
Для получения нелинейного вклада найдем производную по полю от диэлектрической восприимчивости:
95
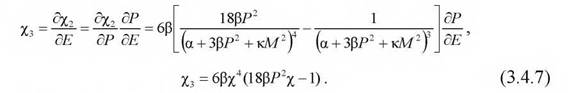
Дальнейшее дифференцирование приведет к нелинейной диэлектрической проницаемости 3-го порядка:
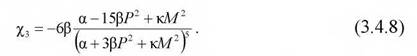
Подставив (3.4.5) в (3.4.7) получим:
При нагревании поляризация Pисчезает в точке фазового перехода и равна нулю в парафазе, в которой уравнение (3.4.7) примет вид:
Рассмотрим модель зависимость χ3(Γ) для мультиферроика, у которого совпадают точки сегнетоэлектрического и магнитного фазового перехода при температуре T = 210 К.
Из графика/ 3(T) следует, что с возрастанием коэффициента электромагнитного взаимодействия к теоретический подход развитый для сегнет о-
электриков дает уменьшение коэффициента гармоник. Экспериментальные результаты, описанные ранее, свидетельствует о том, что для CuO, коэффициенты гармоник больше чем для классических сегнетоэлектриков с той же спонтанной поляризацией. В связи с чем, эквивалентная схема для мульти- ферроиков должна представляться не как конденсатор с потерями, а как колебательный контур с нелинейной емкостью и индуктивностью одновременно (рис. 3.4.9).
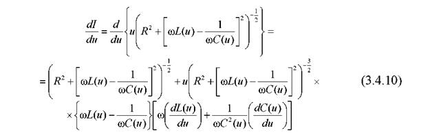
Ток через образец для такой схемы будет определяться, как:
а нелинейность будет характеризоваться производной тока по напряжению.
Предполагая, что активное сопротивление много меньше реактивного соотношение (3.4.10) можно переписать в виде:
Как следует из соотношения (3.4.11), в этом случае диэлектрическая и магнитная нелинейности будут складываться, а амплитуды генерируемых гармоник будет возрастать. Из соотношения (3.4.11) также следует, что амплитуды гармоник будут зависеть от соотношения индуктивного и емкостного сопротивления (т. е. от близости к резонансу). Как показали теоретические исследования при генерации высших гармоник в мультиферроиках, особенно при конечной проводимости образца магнитную нелинейность следует учитывать отдельно. При этом амплитуды гармоник будут зависеть не
только от нелинейностей εи μ, (т.е. близости фазовых переходов) но и от соотношения индуктивного и емкостного сопротивлений.
Рис. 3.5.7. Эквивалентная схема образца мультиферроика для переменного тока
Композитная керамика (BiFeQ3)KyZ(BaTiO3)j.. Для поиска магнитоэлектриков с характеристиками полезными для практического применения прикладывается много усилий. Разрабатываются новые мультиферроики, в том числе керамические материалы, в частности, на основе BiFeO3(см., Например, [211-216]). Было обнаружено значительное изменение спонтанной поляризации и других свойствв керамических образцах: композитной керамике
сильно зависит от температуры сегнетоэлектрического фазового перехода. Для композитных керамик на основе BiFeO3наблюдалось выраженное снижение температуры Нееля от значения 643 К для чистого BiFeO3 [217, 218]. Для композитной керамики проблема сдвига температуры Нееля не обсуждалась, и предполагалось, что эта температура остается равной объемной величине для достаточно больших зерен. Рассмотрим результаты диэлектрических исследований композитной керамики
при х = О,
0.25, 0.5, 0.75 и 1. Температурные зависимости диэлектрической проницаемости и коэффициента генерации третьей гармоники исследовались в диапазоне 296 - 723 К. Методика изготовления, а также свойства прекурсоров и композитной керамики описаны в параграфе 2.1.
Температурный ход действительной части диэлектрической проницаемости на частоте 1 кГц для всех исследуемых образцов в температурном 98
диапазоне 353-513К представлен на рисунке 3.5.8. Четкие пики диэлектрической проницаемости, которые видны для чистой керамики ВаТіОз и композитной керамики с максимальным количеством (х= 0.75) титаната бария при T = 390 К, близки к точке Кюри в монокристаллическом BaTiO3. Очень слабый пик все еще наблюдается и для композитной керамики с х= 0.5, а для образца с х= 0.25 аномалии диэлектрической проницаемости практически не наблюдается вблизи 393 К.
Рис. 3.4.8 Температурный ход действительной части диэлектрической проницаемости ε'на частоте 1 кГц для керамических образцов вблизи сегнетоэлектрического фазового перехода в BaTiO3. Правая ось соответствует только х= 1. На вставке показан температурный ход на частотах 1, 10, 100 кГц и 1 МГц

Малая проницаемость без аномалий в этом температурном диапазоне также наблюдается для чистой керамики BiFeO3в соответствии с отсутствием фазовых переходов в феррите висмута. Температура фазового перехода в богатых BaTiO3образцах не зависит от состава. Она показана на рисунке 3.4.8 вертикальной пунктирной линией.
При более высокой температуре ε'резко возрастает для композитной керамики, как это видно на рисунке 3.4.9. Наибольший рост был обнаружен для образца с х= 0.75. Некоторый рост ε'наблюдался также в чистой керами-
κe BiFeO3выше 653 К. Однако для чистой керамики BaTiO3диэлектрическая проницаемость постепенно уменьшается с увеличением температуры. На фоне общего подъема ε'с ростом температуры в композитной керамике и чистой керамике BiFeO3наблюдаются широкие максимумы, которые смещаются в область низких температур с увеличением доли BaTiO3(рис. 3.4.9). Для образца чистого BiFeO3максимум наблюдается как раз вблизи точки Нееля для кристаллического BiFeO3(~ 643 К).
Рис. 3.4.9 Температурный ход действительной части диэлектрической проницаемости ε'на частоте 1 кГц для керамических образцов вблизи антиферромагнитного фазового перехода в BiFeO3
Значения ε'сильно зависят от частоты, и уменьшается с её увеличением. Пример показан на рисунке 3.4.10 для композитной керамики с х= 0.5. Максимумы менее отчетливы на высоких частотах и постепенно разглаживаются. Однако положения максимумов ε'при температурах вблизи точки Нееля BiFeO3для различных частот заметно не меняются.
Все результаты измерений диэлектрической проницаемости, свидетельствуют об изменении фазовых переходов и подвижности зарядов керамических образцов. Максимумы диэлектрической проницаемости вблизи 393 К, при их существовании, показывают, что фазовый переход в сегнетоэлектрическое состояние внутри комозитного BaTiO3происходит при той же IOO
температуре, что и в чистом титанате бария. Однако можно видеть, что амплитуда диэлектрических максимумов сильнее уменьшается с уменьшением х, чем это следует ожидать от изменения относительного количества титаната бария.
Рис. 3.4.10 Температурный ход действительной части диэлектрической проницаемости ε'композитной керамики с х= 0.5 для различных частот вблизи антиферромагнитного фазового перехода в BiFeCh
Максимумы диэлектрической проницаемости, которые рассматриваются вблизи от точки Нееляв чистом BiFeO3недавно были отмечены в некоторых композитных керамических образцах на основе феррита висмута (см. [211, 215, 217] и ссылки в них). Эти максимумы смещены в зависимости от типа легирования. В [219-221] было высказано предположение, что такие максимумы диэлектрической проницаемости возникают в мультиферроид- ном состоянии при температуре антиферромагнитного фазового перехода из- за магнитоэлектрического взаимодействия. Для замещенной керамики они свидетельствуют об изменении температуры Нееля в результате легирования. Рассматривая данную точку зрения, можно связать максимумы ⅛ набл ю- даемые в исследованных здесь композиционных керамических образцах (рис.
3.4.9), с антиферромагнитным переходом. Согласно результатам, показанным на рисунке 3.4.9, температура Нееля для композитной керамики уменьшается с увеличением доли BaTiO3. Данный вывод является неожиданным, если учесть большие размеры зерен в керамике.
Для подтверждения вывода о влиянии примеси BaTiO3на температуру Нееля в фракции мультиферроидных BiFeO3были проведены измерения генерации третьей гармоники в исследуемых образцах. Известно, что нелинейность возрастает при сегнетоэлектрическом фазовом переходе после критического возрастания линейной диэлектрической восприимчивости и возникновения спонтанной поляризации [105]. В непосредственной близости от сегнетоэлектрического перехода имеется минимум интенсивности нелинейной восприимчивости третьего порядка, предсказанный теорией и экспериментально установленный [105, 191]. Можно предположить, что подобное поведение можно наблюдать вблизи магнитных фазовых переходов для мультиферроиков-магнитоэлектриков, однако, насколько нам известно, подобные исследования до сих пор не проводились.
Температурные зависимости коэффициента третьей гармоники/ 3ωпоказаны на рисунке 3.4.11 для композитной керамики и чистой керамики BiFeO3в температурном интервале, близком к антиферромагнитному переходу в BiFeO3. Видно, чтоу 3ωуменьшается с ростом температуры от 513 К, проходит через минимум и увеличивается, но значительно слабее при более высоких температурах. Минимум в генерации третьей гармоники для чистой керамики BiFeO3наблюдается как раз вблизи температуры Нееля. Для композитной керамики позиции минимумов сдвигаются в сторону низких температур с увеличением доли BaTiO3и очень близки к пикам на кривыха'( /') на рисунке 3.4.9. Коэффициент генерации третьей гармоники для керамического образца чистого титаната бария имеет соответствующие аномалии только вблизи его точки Кюри.
Наблюдаемые нелинейные свойства подтверждают зависимый от состава сдвиг антиферромагнитного фазового перехода в композитной кера- 102
мике. Заметим, что измерения намагниченности не обеспечивают надежную информацию о температуре Нееля, вероятно, из-за маскировки примесью γ- Fe2Ch, чей магнитный фазовый переход при 873 К [222].
Рис. 3.4.11 Температурный ход коэффициента третьей гармоники γ3ωв керамике с х от О до 0.75 вблизи антиферромагнитного фазового перехода в BiFeO3
Исследования линейных и нелинейных свойств композитов (BiFeO3)ι√(BaTiO3)xи чистой керамики показали, что присутствие второго компонента, несмотря на достаточно большой размер зерна, влияет на поведение вблизи анти (ферромагнитного фазового перехода в фракции BiFeO3. Фазовый переход антиферромагнетика смещается в область низких температур с увеличением доли BaTiO3.Температура Нееля близка к 613, 593 и 573 К для образцов с х = 0.25, 0.5 и 0.75 соответственно. Интенсивность максимумов диэлектрической проницаемости возрастает в композитной керамике по сравнению с интенсивностью в чистой керамике BiFeO3(рис. 3.5.9). Что свидетельствует об усилении магнитоэлектрической связи в композитной керамике.
О примесном влиянии на температуру Нееля сообщалось для композитов BiFeO3и La2∕3Srι∕3MnO3[223]. Однако фракция La2∕3Sr1∕3MnO3является
ферромагнитной с температурой Кюри около 355 К. Тогда сдвиг температуры Нееля и усиление магнитоэлектрической связи объяснялся обменной анизотропией между антиферромагнитным и ферромагнитным слоями. Изменение температуры Нееля в некоторых композитах[217, 218] было связано с изменениями кристаллической структуры. Наблюдаемые в наших исследованиях изменения температуры Нееля в композитной керамике с зернами микронного размера, вероятно, могут быть связаны с образованием некоторого поверхностного слоя твердого раствора, который влияет на антиферромагнитный обмен в зернах. Количество такого твердого раствора твердого раствора должно быть очень маленьким, поскольку оно не наблюдалось с помощью рентгеновского дифрактометра. Влияние диполь-дипольного взаимодействия между зернами BaTiO3и BiFeO3из-за близости сегнетоэлектрических зерен также может влиять на температуру Нееля в композитной керамике.
Отметим также, что резкое возрастание диэлектрической проницаемости при более высоких температурах для всех образцов, за исключением чистой керамики BaTiO3, можно объяснить на основе эффекта Максвелла- Вагнера, который в общем случае относится к межфазной поляризации, возникающей в электрически неоднородных системах[184]. Этот эффект был описан для многих керамик и связан с подвижностью заряда [211-213]. Тот же механизм ответственен за сильную частотную зависимость диэлектрической проницаемости при температурах выше 523 К, о чем также сообщалось неоднократно.
Таким образом, исследования линейной диэлектрической проницаемости в композитной керамике (BiFeO3)ι√(BaTiO3)x(х = 0, 0.25, 0.5, 0.75, 1) показали ярко выраженные аномалии, связанные с сегнетоэлектрическим фазовым переходом в BaTiO3и антиферромагнитному фазовому переходу в зернах BiFeO3. Положение локального максимума диэлектрической проницаемости при обоих переходах заметно не зависело от частоты. Максимумы диэлектрической проницаемости вблизи температуры Нееля рассматривались как результат магнитоэлектрической связи. Наряду с исследованиями гене
рации третьей гармоники в композитной керамике результаты линейной диэлектрической проницаемости однозначно показали уменьшение температуры Нееля с увеличением доли зерен BaTiO3.
Еще по теме Применение метода НДС для исследования мультиферроиков и композитов на их основе:
- Сокращение перечня документов, необходимых для подтверждения правомерности применения нулевой ставки НДС при экспортных операциях.
- О применении статистических методов обработки результатов исследования.
- Применение электрофизиологических методов исследования при повреждении органа зрения
- 3.1.1. Генерирование набора технологий для производства меднофторопластового композита
- 5.2. Применение последовательностей GMW для повышения безопасности CDMA систем на основе стандарта IS-95
- Методы психогенетических исследований. Генеалогический метод. Семейные исследования. Метод приемных детей.
- Глава 2. Классический метод функционала плотности и его применение к исследованию адсорбции в системах с плоской геометрией
- Применение лучевых методов для диагностики церебральных зрительных поражений у детей
- 2.6 Применение квантовополевых методов для опи-сания классических систем с большим числом степеней свободы
- Исследование зрительного анализатора при врожденных катарактах с применением метода зрительных вызванных потенциалов
- § 5. Основы криминалистического исследования вредоносных программ для ЭВМ и других компьютерных устройств
- Экспериментальный метод – как центральный метод среди эмпирических методов психологического исследования.
- Оптические свойства одноосных кристаллов парателлурита, ииобата лития и SBN, как объектов для исследований методом коноскопии
- 22. Категория не имеет никакого иного применения для познания вещей, кроме применения к предметам опыта
- 2. О праве чистого разума в практическом применении на такое расширение, которое само по себе невозможно для него в спекулятивном применении
- Глава 3. Исследование морфологии рельефа, фрактальных свойств поверхности и электрических характеристик контакта зонд-образец для наноразмерных металлических пленок на диэлектрических подложках методом сканирующей туннельной микроскопии
- § 5. Хищение с применением насилия, не опасного для жизни или здоровья, либо с применением оружия или предметов, используемых в качестве оружия
- Расчет НДС
- Исследование методов решения задач линейного программирования. Метод северо-западного угла.
- Диэлектрические свойства сегнетоэлектрических композитов (KH2PO4)1.x/(Pb095Ge005T e)x