Векторное произведение векторов.
Ориентация базиса
Декартов прямоугольный
базис на плоскости

Декартов прямоугольный
базис в пространстве
Правой тройкой векторов называется такая тройка, что если смотреть с конца вектора
, то поворот от
происходит в положительном направлении (против часовой стрелки).
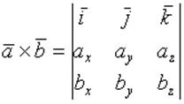
Опр: Векторным произведением,
2-х векторов называется вектор
, такой что
1)
-правая тройка
2)
3)
Свойства векторного произведения.
1. Если 2 вектора коллиниарны , их произведение =0
2. Если поменять местами сомножители, меняется знак
(антикоммутативность)
3.
4.
5.
Пример.

Источник:
Лекции по Линейной алгебре. 2016
Еще по теме Векторное произведение векторов.:
- Векторное произведение векторов.
- Свойства векторного произведения векторов:
- § 13. Поняття вектора, означення векторного простору
- Смешанное произведение векторов.
- Скалярное произведение векторов
- Скалярное произведение векторов.
- Тема 4. Системы векторов. N-мерное векторное пространство. Евклидово пространство. Линейные операторы.
- 2.2 Произведение векторов
- Смешанное произведение векторов.
- 1.5.Векторы. Основные операции над векторами.
- П. ВЕКТОР — ОТ КЛАССИЧЕСКОЙ ФИЛОСОФИИ. ВЕКТОР — ОТ СОВРЕМЕННОГО БЫТИЯ. ТОЧКА ВСТРЕЧИ — XX ВЕК.
- 2.1. Вектор. Линейные операции над векторами
-
Аналитическая геометрия -
Вариационное исчисление -
Векторный и тензорный анализ -
Высшая геометрия -
Высшая математика -
Вычислительная математика -
Дискретная математика -
Дифференциальное и интегральное исчисление -
Дифференциальные уравнения -
Исследование операций -
История математики -
Комплексное исчисление -
Линейная алгебра -
Линейное программирование -
Математика для экономистов -
Математическая логика -
Математическая физика -
Математический анализ -
Пределы -
Ряды -
Статистика -
Теория вероятностей -
Теория графов -
Теория игр -
Теория принятия решений -
Теория случайных процессов -
Теория чисел -
Функциональный анализ -
-
Архитектура и строительство -
Безопасность жизнедеятельности -
Библиотечное дело -
Бизнес -
Биология -
Военные дисциплины -
География -
Геология -
Демография -
Диссертации России -
Естествознание -
Журналистика и СМИ -
Информатика, вычислительная техника и управление -
Искусствоведение -
История -
Культурология -
Литература -
Маркетинг -
Математика -
Медицина -
Менеджмент -
Педагогика -
Политология -
Право России -
Право України -
Промышленность -
Психология -
Реклама -
Религиоведение -
Социология -
Страхование -
Технические науки -
Учебный процесс -
Физика -
Философия -
Финансы -
Химия -
Художественные науки -
Экология -
Экономика -
Энергетика -
Юриспруденция -
Языкознание -