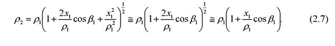
Определение скорости движения частицы материала вдоль поверхности криволинейной лопасти горизонтального ротора
Рассмотрим движение частицы материала вдоль поверхности криволинейной лопасти ротора, имеющей постоянный радиус кривизны Rk.
На частицу, движущуюся по лопасти вращающегося ротора, действуют следующие силы: центробежная, сила Кориолиса, сила трения, сила тяжести и взаимодействия с газовым (воздушным) потоком.
Однако при скоростных32
режимах центробежных противоточных мельниц две последние силы незначительны.
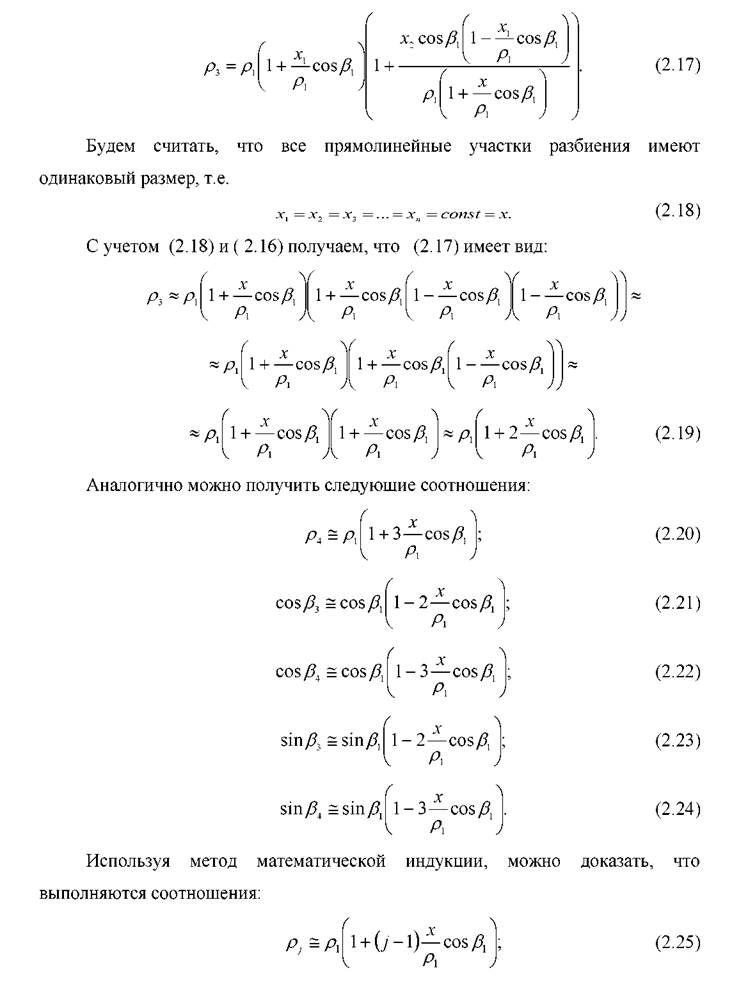
Криволинейную дугу лопасти ротора разобьем на «j»количество прямолинейных ломаных линий (см. рис. 2.1), начиная от точки поступления частицы материала на поверхность криволинейной лопасти.
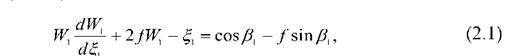
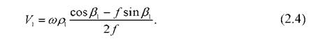
Согласно результату работы [44] скорость движения частицы материала вдоль поверхности первого прямолинейного участка пути можно описать уравнением следующего вида:
где
- коэффициент трения частицы материала о поверхность криволинейной лопасти;
- угол, образованный первой ломаной линией с радиальным направлением, проведенным из центра вращения ротора, град.
В соотношении (2.1) введены следующие безразмерные обозначения:
здесь x1- координата движения частицы материала вдоль поверхности первого прямолинейного участка;
ρ1- радиальное расстояние от центра вращения до начала первого прямолинейного участка пути, м;
V1- скорость движения частицы материала на первом прямолинейном участке пути, м/с;
ω- циклическая (угловая) частота вращения ротора; ω = 2πn,где
n- частота вращения ротора, с-1.
На основании результата работы [44] находим, что:
Согласно расчетной схемы, представленной на рисунке 2.1 и теоремы
косинусов, применимой к треугольнику
находим:
Рисунок 2.1. Расчетная схема к описанию движения частицы материала вдоль поверхности криволинейной лопасти ротора.
Очевидно, что при достаточно большом числе разбиений исходной дуги криволинейной лопасти отношение величиз
являться малой величиной.
В дальнейшем отношение каждого прямолинейного участка пути к своему радиальному расстоянию
будем считать малой величиной первого порядка малости.
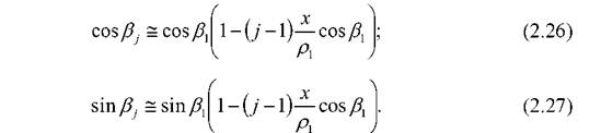
Соотношение (2.5) с точностью до величины второго порядка малости можно привести к следующему виду [44]: 


36
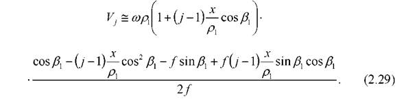
На основании найденных соотношений (2.25) - (2.27) определим скорость движения частицы материала на прямолинейном участке:
Подстановка (2.25) - (2.27) в (2.28) приводит к следующему результату:
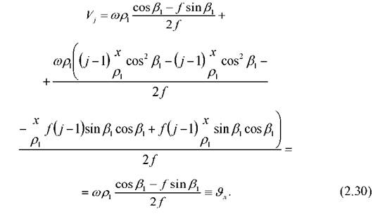
С точностью до величин второго порядка малости на основании (2.29) можно получить следующее выражение:
С точностью до величин второго порядка малости скорость движения частицы материала вдоль поверхности криволинейной лопасти ротора можно считать постоянной величиной, значение которой определяется выражением (2.30).
Рисунок 2.2. Зависимость скорости движения частицы по поверхности криволинейной лопасти от коэффициента трения fи частоты n вращения ротора
Анализ графической зависимости (рис.
2.2) позволяет сделать вывод о том, что при увеличении коэффициента трения fчастицы о поверхность криволинейной лопасти линейная скорость ⅜частицы уменьшается по линейному закону, а при повышении частоты nвращения роторов линейная скорость $л частицы вдоль криволинейной лопасти увеличивается. Например, при f = 0,25, зл= 20 м/с, а при увеличении fдо f = 0,29 линейная скорость частицы снижается до 18 м/с. При частоте вращения ротора n=100c^1линейная скорость частицы равна 22 м/с. Последующее увеличение nдо 200c^1позволяет повысить линейную скорость частицы до 47 м/с, т.е. в 2,14 раза.Анализ графических зависимостей, представленных на рис. 2.3, позволяет сделать выводы о том, что зависимость &л(β1)при любой частоте ротора носит линейный характер, при увеличении угла βιпри любой частоте вращения ротора происходит уменьшение скорости $л движения частицы материала по поверхности криволинейной лопасти.
Рисунок 2.3. Зависимость скорости движения частицы по поверхности криволинейной лопасти от угла встречи βιчастицы с поверхностью данной лопасти
(1 - и=100с’1; 2 - п=150с-1; 3 - n=200c1)
Например, при βι = 0,1рад и частоте вращения ротора 100с-1 скорость ⅛ движения частицы равна 32 м/с, а при таком же β1 = 0,1рад и частоте вращения ротора 200с-1 скорость движения частицы возрастает до 65 м/с. С увеличением β1до 0,5 рад скорость &л движения частицы при n=100с-1 снижается до 25 м/с, а при п=200с-1 до 50 м/с.
2.2
Еще по теме Определение скорости движения частицы материала вдоль поверхности криволинейной лопасти горизонтального ротора:
- Определение угла схода крупной частицы с поверхности криволинейной лопасти ротора
- Определение взаимосвязи между углами схода частиц материала с прямолинейной и криволинейной лопастей
- 2.8 Определение мощности, затрачиваемой на движение частиц материала с учетом взаимного влияния встречных потоков
- Определение граничного размера частиц, разделяемых с помощью радиальных прямолинейных лопастей
- Движение частицы мергеля по поверхности вращающегося конуса
- Моделирование кинематики бетонной смеси по поверхности лопасти геликоидного типа
- Определение координат расположения и скорости движения стержней планетарного смесителя.
- Расчет мощности, затрачиваемой на преодоление сил сопротивления движению лопасти
- Программная система визуального контроля горизонтальной скорости беспилотного вертолета
- Расчет скорости схода частицы с распределительного устройства
- Вращательное движение. Равномерное движение точки по окружности. Вектор угловой скорости. Угловое ускорение. Связь угловых и линейных величин
- 56. Частицы жидких тел обладают движениями, направленными во все стороны; достаточно малейшей силы, чтобы привести в движение окруженные ими твердые тела
- Теорема 27. Третье правило. Если два тела равны по массе, но В движется немного скорее А, то не только А отразится в противоположном направлении, но и В перенесет на А половину своего излишка скорости, и оба будут продолжать движение с равной скоростью в одном направлении.
- Теорема 26 Если тела различны, как по своей массе, так и по скорости, именно В вдвое больше А (см. фиг. 1), но движение А вдвое скорее В, а в остальном все остается по-прежнему, то оба тела отразятся в противоположном направлении и каждое удержит прежнюю скорость.
- 2.5 Теоретические исследования условий разрушения частиц материала встречным лобовым ударом в центробежной противоточной мельнице
- Эффективность увеличения скорости движения поездов.
- Нахождение скорости движения смеси в корпусе планетарного смесителя
- Задача о площади криволинейной трапеции. Определенный интеграл.
- Теорема 21 Если тело А вдвое больше тела В и движется с такой же скоростью, то тело А будет иметь вдвое больше движения, чем В, или вдвое больше силы, чтобы удержать равную с В скорость (см. фиг. 1).
- Теорема 31. Седьмое правило. Если В и А движутся по одному направлению, А медленнее, а В, следуя за ним, быстрее, так что, наконец, тело В нагоняет А, и если при этом А больше В, но избыток скорости В больше избытка величины А, то В перенесет на А столько своего движения, что после этого оба тела будут двигаться с равной скоростью и в том же направлении. Ио если бы излишек величины А был больше излишка скорости В, то В было бы отражено телом А в противоположном направлении, но удержало бы при э