Определение угла схода крупной частицы с поверхности криволинейной лопасти ротора
Величина угла схода частицы материала с криволинейной поверхности лопасти ротора влияет на разделение двух воздушных потоков с частицами: конструкция тангенциального патрубка, выполняющего функцию камеры помола, предусматривает встречное соосное движение крупных частиц и движение мелких частиц в пересекающихся потоках.
Точность угла схода частиц с криволинейной и прямолинейной поверхности лопастей роторов обеспечивает необходимую плотность потоков крупных и мелких частиц, что непосредственно влияет на эффективность их соударения.Рассмотрим процесс схода частицы материала с криволинейной
поверхности лопасти ротора, вращающегося с циклической частотой ω.На основании расчетной схемы, представленной на рисунке 2.4, можно записать следующее соотношение векторов скоростей для частицы материала:
где
- результирующий вектор скорости частицы материала, построенный по
правилу параллелограмма;
- вектор скорости схода частицы материала с конечной точки поверхности криволинейной лопасти;
- вектор окружной скорости движения криволинейной лопасти, направленный по касательной к окружности, описываемой лопастью, в точке схода.
Умножение векторного соотношения (2.31) скалярно на вектор υ0приводит к следующему выражению:
или в скалярной форме:
Умножение векторного соотношения (2.31) скалярно на вектор υjjприводит к результату:
или в скалярной форме:
или в скалярной форме:
На основании (2.35) находим, что:
40
Подстановка (2.38) в (2.37) позволяет получить следующее выражение:
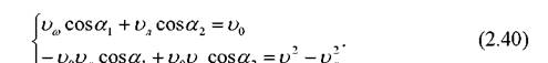
Полученные соотношения (2.33) и (2.39) будем рассматривать как систему
линейных уравнений относительно неизвестных cos a1и cos a2:
у ^u^ ω 1 ^u^ л ~ ~ ~ - - 2
~ л ~ ω
Система уравнений (2.40) будет иметь решение, если главный определитель
системы не равен нулю:
С учетом (2.41) находим, что:
Рисунок 2.4.
Расчетная схема для определения угла схода αιчастицы материала свращающейся криволинейной поверхности лопасти ротора:
1- ротор; 2- прямолинейная лопасть; 3- криволинейная лопасть; R- радиус ротора; Rk- радиус
кривизны криволинейной лопасти; Rp- радиальная длина прямолинейной и криволинейной лопастей
В соответствии с расчетной схемой, представленной на рисунке 2.4, можно
получить следующее соотношение:
На основании (2.44) находим, что:
или
Учитывая, что:
выражению (2.46) можно придать следующий вид:
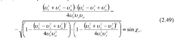
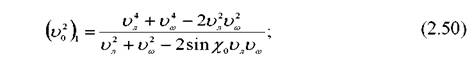
Полученное соотношение (2.49) можно рассматривать как уравнение относительно неизвестной величины
Уравнение (2.49) имеет два корня:
и
Для определения истинного значения корня уравнения (2.49) воспользуемся предельным переходом χ0 → 0, что соответствует прямолинейному радиальному расположению лопасти ротора. Для радиально расположенной лопасти ротора χ0 = 0 и должно выполняться соотношение:
42
Если в полученных соотношениях (2.50) и (2.51) положить
тогда
они примут вид:
и
Сравнение полученных соотношений (2.53) и (2.54) с (2.52) позволяет
сделать вывод, что, согласно (2.52) корнем уравнения (2.49) нужно считать выражение (2.51).
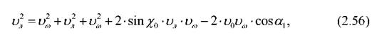
Согласно расчетной схемы, представленной на рисунке 2.5 и на основании теоремы косинусов можно записать следующее соотношение:
Рисунок 2.5 Расчетная схема определения радиуса кривизны криволинейной лопасти ротора для
обеспечения встречного лобового соударения частиц материала:
R- радиус ротора, м; R∣c- радиус кривизны криволинейной лопасти, м;
Р1 - расстояние от оси вращения ротора до центра загрузочного патрубка, м;
ω- циклическая (угловая) частота вращения ротора, с-1; χ - угловой размер криволинейной лопасти, град
Подстановка в (2.55) формулы (2.51) позволяет получить соотношение
следующего вида:
или
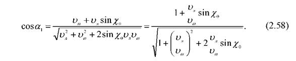
На основании (2.57) с учетом (2.51) находим, что
Согласно (2.58) определяем угол схода частицы материала с криволинейной поверхности лопасти ротора[133]:
Таким образом, полученное выражение (2.59) определяет величину угла схода частицы материала с поверхности криволинейной лопасти ротора. Полученная величина зависит от отношения скоростей движения частицы по поверхности криволинейной лопасти (формула (2.30)) и линейной скорости вращения точки схода частицы, которая определяется следующим соотношением:
где R- радиус ротора, м.
Величина угла схода зависит также от конструктивного параметра «/0» - углового размера, задающего отклонение конца криволинейной дуги от радиального направления Rκ.
Пусть t1- время, с, в течение которого конец криволинейной лопасти опишет дугу размером γ.Величина данного промежутка времени равна: 
С учетом (2.60) (2.61) принимает вид:
Пусть t2- время, с, за которое частица материала пройдет расстояние от точки загрузки частицы материала на криволинейную лопасть ротора до момента схода. Данный промежуток времени можно вычислить, исходя из следующего соотношения:
Подстановка (2.30) в (2.63) приводит к следующему результату:
Для схода частицы материала в заданной конечной точке дуги «у», обеспечивающей лобовое соударение частицы материала во встречном потоке необходимо, чтобы выполнялось равенство выражений (2.62) и (2.64):
/ 1 X / 1 /1/
Исходя из (2.65), можно установить следующую связь между величиной радиуса кривизны лопасти ротора Rκи расстоянием от центра вращения ротора до центра загрузки частицы материала p1:
здесь введено следующее обозначение безразмерной величины:
2• Л∙ J
Полученные выражения (2.59) и (2.65) определяют параметры, которые обеспечивают условия встречного движения потоков крупных частиц, сходящих с криволинейных лопастей: необходимый угол схода α1частицы материала с поверхности криволинейной лопасти ротора, радиус кривизны Rkкриволинейной лопасти ротора и расстояние p1от центра вращения ротора до центра загрузки частицы материала.
Полученные соотношения (2.66) и (2.67) устанавливают взаимосвязь между радиусом кривизны Rkкриволинейной лопасти и радиальным
расстоянием от оси вращения ротора ριдо центра загрузочного патрубка. На рис. 2.6 показана графическая зависимость изменения угла схода частицы материала с криволинейной лопасти ротора при изменении угла встречи β1 частицы с поверхностью данной лопасти.
Рисунок 2.6. Изменение угла αιсхода частицы материала с криволинейной лопасти ротора при изменении угла βι встречи с поверхностью лопасти ротора (1- f =0,3; 2- f = 0,25).
Согласно графической зависимости, представленной на рис. 2.6, увеличение значения угла встречи β1частицы материала с поверхностью криволинейной лопасти приводит к уменьшению угла α1схода с поверхности криволинейной лопасти примерно по линейному закону. Зависимость α1(β∖)при любых значениях коэффициента fтрения близка к линейной и ниспадающая. Это свидетельствует о том, что с увеличением угла βι встречи частицы с лопастью и и любом значении коэффициента fтрения происходит уменьшение угла α1схода частицы материала с криволинейной лопасти. Линия 1 соответствует значению коэффициента трения f =0,3; линия 2 - f = 0,25.
2.3
Еще по теме Определение угла схода крупной частицы с поверхности криволинейной лопасти ротора:
- Определение скорости движения частицы материала вдоль поверхности криволинейной лопасти горизонтального ротора
- Определение взаимосвязи между углами схода частиц материала с прямолинейной и криволинейной лопастей
- Определение граничного размера частиц, разделяемых с помощью радиальных прямолинейных лопастей
- Моделирование кинематики бетонной смеси по поверхности лопасти геликоидного типа
- Аналитические исследования изменения концентрации крупного заполнителя в процессе смешивания бетонной смеси лопастями смесителя
- Расчет скорости схода частицы с распределительного устройства
- Аналитическое описание движения частицы после схода с распределительного устройства
- Движение частицы мергеля по поверхности вращающегося конуса
- Задача о площади криволинейной трапеции. Определенный интеграл.
- 7.3.4.2. Определение дирекционного угла ориентирного направления с помощью азимутальной насадки к буссоли
- Определение цели и задач экспериментальных исследований роторного смесителя с лопастями геликоидного типа
- 4.5. Структура суспензии при наличии на поверхности ванны «сплошного слои» HI твердых частиц
- 2.8 Определение мощности, затрачиваемой на движение частиц материала с учетом взаимного влияния встречных потоков
- 1.5.7. Определение энергии адгезии контактирующих сред путём оценки краевого угла смачивания
- 7.3.4.1. Определение азимута и дирекционного угла ориентирного направления по часовому углу и склонению светила
- 6.80. Частицы и их функции в речи. Разряды частиц по значению. Словообразующие и формообразующие частицы
- Определение количества крупного заполнителя, поступающего из загрузочного устройства в смесительную камеру
- Определение рациональных параметров ротационной обработки рабочей цилиндрической поверхности цапф мельниц
- Исследования по повышению износостойкости роторов центробежной противоточной мельницы с селективным измельчениемматериалов
- Определение величины скола мелких частиц в результате их косого соударения в зоне встречных пересекающихся потоков