Определение величины скола мелких частиц в результате их косого соударения в зоне встречных пересекающихся потоков
Как уже отмечалось, в тангенциальном патрубке центробежной противоточной мельницы осуществляется раздельное движение частиц: соосное движение и лобовое соударение крупных частиц и движение в пересекающихся траекториях мелких частиц.
Рассмотрим процесс взаимодействия материала в зоне движения мелких частиц в пересекающихся траекториях.Изменение скорости 9частицы материала при косом ударе можно описать, основываясь на втором законе динамики:
где m- масса частицы материала, равная, кг:
здесі
- плотность частицы материала, кг/м3;
- начальный размер частицы материала, м;
F- сила, н, воздействия на частицу материала в момент косого соударения, которую выразим через величину возникающих касательных напряжений σ,Па:
где S0- площадь контакта частиц материала при косом ударе, м2.
С учетом (2.79) и (2.80) формуле (2.78) можно придать следующий вид:
На основании расчетной схемы, представленной на рисунке 2. 9, находим, что:
где β- текущий угол поворота, град.

Рисунок 2.9.
Расчетная схема для описания процесса измельчения материала в зоне встречных пересекающихся потоков: Ω — угол поворота прямолинейной лопасти от точки загрузки до точки схода частицы, град; β- текущий угол поворота, град;
- расстояние от точки загрузки до оси вращения ротора, м; R- радиус ротора, м
На основании (2.82) и расчетной схемы на рис. 2.9 можно получить следующие соотношения:
где хн - координата точки загрузки частицы материала на прямолинейную лопасть;
- координата точки схода частицы материала с прямолинейной лопасти.
Угол поворота прямолинейной лопасти Ω от точки загрузки материалом до точки схода частицы с лопасти равен:
здесь τι- промежуток времени, за который частица материала проходит путь r— р от точки загрузки до точки схода с прямолинейной лопасти, с.
Согласно результату работы [44]:
51
Подстановка (2.86) в (2.85) приводит к соотношению:
Согласно результату работы [51], величину касательных напряжений в зоне косых соударений частиц определяем следующим образом:
где μ- коэффициент псевдовязкого измельчения; μ=2618 Па-с [51].
Подстановка (2.88) в (2.81) с учетом того, что:
приводит к следующему дифференциальному уравнению:
Будем считать, что в результате косых соударений скорость частицы материала будет изменяться от значения &0 до величины Uo,где и - скорость воздушного потока, равная
Здесь, согласно [69]
где hp- высота прямолинейной лопасти, м,
R- радиус ротора, м.
Подстановка (2.92) в (2.91) приводит к следующему результату: 
Интегрирование уравнения (2.90) в определенных пределах приводит к следующему:
Вычисление интеграла (2.94) позволяет получить следующий результат:
На основании (2.95) можно найти величину площади контакта частиц при косом ударе S0:
На рис.
2.10 представлена расчетная схема взаимодействия сферических частиц при косом ударе.
Рисунок 2.10 а). Расчетная схема взаимодействия частиц при косом ударе:
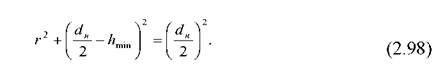
dH- начальный размер частицы материала, м; So- площадь контакта частицы при косом ударе, м2; r- радиус площади контакта частиц, м; hmin, Hmax- минимальный и максимальный размер частицы после соударения, м
Так как схема на рис. 2.10 а) имеет вертикальную ось симметрии, процесс образования скола рассмотрим для одной частицы материала. На рис. 2.10 б)
представлена расчетная схема для определения взаимосвязи между площадью и радиусом скола.
Рисунок 2.10 б). Расчетная схема для определения взаимосвязи между площадью
и радиусом скола частицы.
Согласно схемы, площадь контакта, образуемого в результате косого соударения частиц связана с величиной радиуса rсоударений соотношением
Минимальная величина скола частицы определяется из следующего выражения:
Учитывая, что величина деформации hminявляется малой величиной по сравнению с
можно на основании (2.98) с точностью до величин первого порядка малости получить следующее соотношение:
где hmin - минимальное значение размера частицы материала, образующейся при косых соударениях, на основании (2.97) и (2.99) будет определяться:
н
а величина Hmax - максимальный размер частицы материала в результате косых соударений будет определяться следующим соотношением:
На рис.
2.11 представлена графическая зависимость величины скола частицы в результате косого соударения от расстояния L0между роторами и их частоты вращения п.
Рисунок 2.11. Зависимость величины скола hminот расстояния Lo
между роторами и частоты вращения п.
Из графиков видно, что минимальный размер hmin скола частицы увеличивается по линейному закону с ростом частоты п вращения роторов и от расстояния Lo между роторами. Например, при частоте вращения ротора п = 1oo с-1 размер hminскола равен 0,00017 м, при повышении частоты вращения до 200 с-1 размер hmin скола частицы увеличивается до 0,00035 м. При межосевом расстоянии Lo, равном 0,24м размер hmin скола равен 0,00011 м, при увеличении межосевого расстояния до 0,4м размер hmin скола увеличивается до 0,00036м.
55
Еще по теме Определение величины скола мелких частиц в результате их косого соударения в зоне встречных пересекающихся потоков:
- Определение вероятности столкновения частиц, движущихся во встречных потоках в центробежной противоточной мельнице
- 2.8 Определение мощности, затрачиваемой на движение частиц материала с учетом взаимного влияния встречных потоков
- 2.3. Определение современной и будущей величины денежных потоков
- 2.5 Теоретические исследования условий разрушения частиц материала встречным лобовым ударом в центробежной противоточной мельнице
- Анализ величины денежных потоков
- Определение угла схода крупной частицы с поверхности криволинейной лопасти ротора
- Определение граничного размера частиц, разделяемых с помощью радиальных прямолинейных лопастей
- 6.80. Частицы и их функции в речи. Разряды частиц по значению. Словообразующие и формообразующие частицы
- 4.1.2 Значение (величина) атрибутов и локализация результатов исследования.
- Порядок определения величины льготного кредита
- Определение основных параметров потока цементно-воздушной смеси в разгрузочной трубе
- 2.1. Определение основных параметров случайных величин и
- 3.6. Определение величины смещения «цели»
- Определение величины полной мощности высокоскоростного смесителя
- 4.1.2. Определение величины геохимического фона
- Определение величины малоподвижного ядра мелющей загрузки
- 3. Определение величины страховой премии в морском страховании каско
- Определение числовых характеристик случайной величины суммы выплат страховщика