Определение времени движения верхнего шара слоя
Рассмотрим движение верхнего шара по второму в подвижной системе отсчёта, связанной с барабаном (рисунок2.1).
Примем некоторые допущения:
1) т.к. радиус мелющего тела многократно меньше радиуса барабана мельницы
будем считать радиусы, проведенные из центра барабана к центру мелющих тел, параллельными;
2) пренебрежем силой трения качения.
Рисунок 2.1 Схема к определению времени движения верхнего шара слоя
Тогда, записывая уравнения движения шара в естественной форме, в проекции на касательную ось
получим:
где G- сила тяжести шара, Н;
- линейная скорость мелющего тела, м/с;
где
- угловая скорость мелющего тела, с-1;
- угол, характеризующий направление силы нормального давления первого шара на второй, град.;
где ψ- относительная частота вращения барабана, доли ед.
Уравнение (2.2) запишем в следующем виде: 
В момент отрыва шаров сила давления на первый шар со стороны второго обращается в ноль. Записывая в этот момент времени уравнения движения шара в проекции на нормальную ось
получим условия отрыва:
При составлении уравнения пренебрегли кориолисовой силой инерции.
Последнее уравнение перепишем в следующем виде:
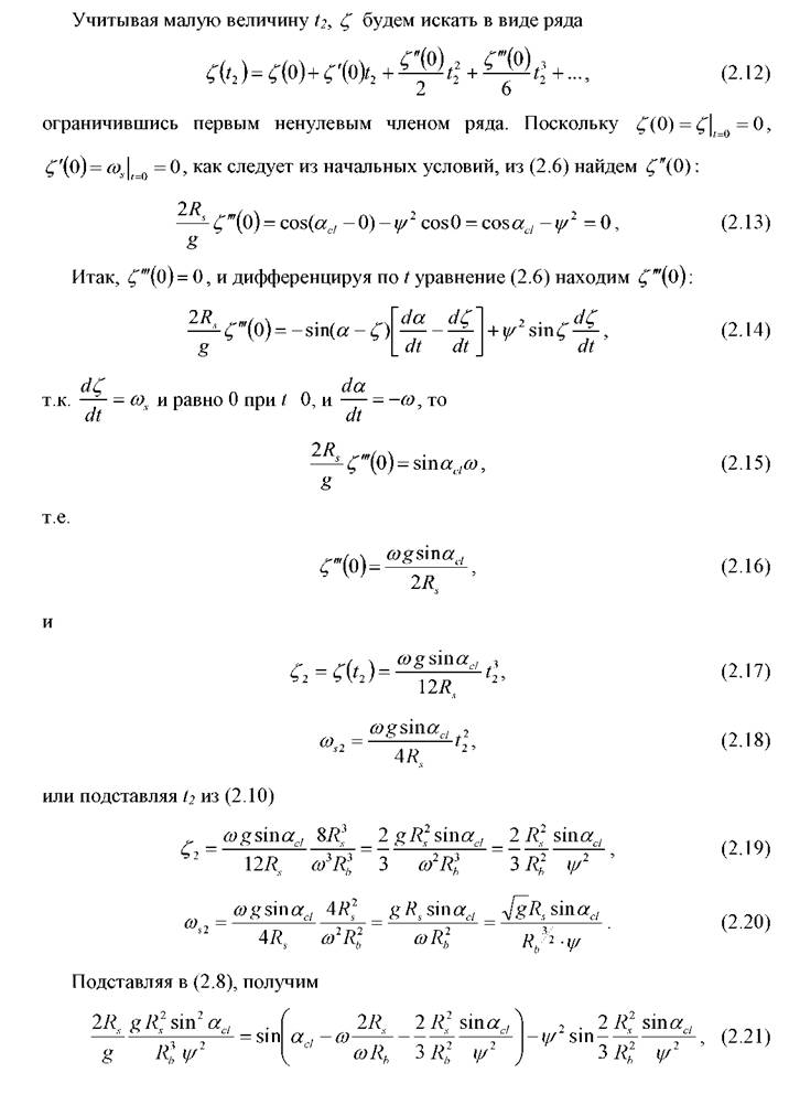
Итак, решая дифференциальное уравнение(2.6) при начальных условиях
можем определить
как функцию времени t, а значит и ωsкак функцию t, а затем из уравнения(2.8) можно найти t0- время движения до отрыва. При этом необходимо учесть, что в уравнениях(2.6) и(2.8) угол а зависит от времени:
здесь
С другой стороны, время движения второго шара до угла асіопределяется соотношением 
54 
55
значение, т.е. второй шар отделится от стенки барабана, когда первый шар ещё будет по нему катиться.
2.1.2
Еще по теме Определение времени движения верхнего шара слоя:
- Описание движения верхнего шара слоя
- Описание движения шаров верхнего слоя при ступенчатой футеровке
- Условия отрыва шара от слоя
- Нестационарное движение внешнего шарового слоя
- Определение мощности, расходуемой на подъем мелющих тел внешнего слоя
- Сроки кредитования имеют определенные пределы — нижнюю и верхнюю границы.
- Определение сил давления шарового слоя и условий его отрыва от внутренней поверхности барабана
- Движение во времени
- Теорема 19 Движение, рассматриваемое само по себе, отлично от своего определения следовать в том или другом направлении к определенному месту, и вовсе не необходимо, чтобы тело, движущееся или отталкиваемое в противоположную сторону, некоторое время покоилось.
- Об условиях отрыва последнего шара от барабана
- Определение объема движения глазных яблок.
- Определение об оставлении искового заявления без движения
- 17.6. Определение показателей использования рабочего времени
- Определение координат расположения и скорости движения стержней планетарного смесителя.
- Определение времени
- 2.8 Определение мощности, затрачиваемой на движение частиц материала с учетом взаимного влияния встречных потоков
- Определение скорости движения частицы материала вдоль поверхности криволинейной лопасти горизонтального ротора
- 2.5. Вычисление напряжённости поля заряженного шара
- §1 Основные определения. Описание процессов с непрерывным временем.
- Определение даты, времени и места проведения общего собрания