Выбор структурных решений для нейросетевого управления экзоскелетом
При управлении процессом вертикализации экзоскелета необходимо решить задачу синтеза управления для того, чтобы обеспечить получение управления в виде функции вектора координат пространства состояний.
Это даст при различных начальных условиях возможность получения управления, которое обеспечит точное достижение терминального состояния объекта управления.Для решения задачи синтеза мы будем использовать искусственную нейронную сеть. Использование нейронных сетей оправдано и апробировано ранее при настройке параметров адаптивных систем управления синтезом регуляторов. При обучении нейронной сети использовались два таких критерия, как:
a) точность достижения заданного терминального условия;
b) значение заданного интегрального функционала.
Обучение нейронной сети осуществляем алгоритмами обратного распространения ошибки или вариационным генетическим алгоритмом ВТА многокритериальной оптимизации [3,4]. Генетические операции реализует алгоритм на множествах векторов вариаций. аждым вектором вариаций описываются малые изменения кода значения одного из параметров нейронной сети, а также указывается в одном из слоев сети вид активационной функции. Обобщенная схема синтеза НС посредством обучения на примерах представлена на рисунке 2.2.
Рисунок 2.2 Обобщенная структурная схема синтеза нейронной сети для решения задачи управления
Обученная нейронная сеть при решении задачи синтеза формирует функцию управления, которая вырабатывает соответствующие управляющие воздействия на экзоскелет. Для решения задачи нами используется многослойная ИНС.
Обобщенная структура системы управления динамическим объектом с ИНС в обратной связи приведена на рисунке 2.3.
Рисунок 2.3 - Структура системы управления динамического объекта с искусственной нейронной сетью в обратной связи
На рисунке 2.3 x - это вектор состояния объекта управления, а u - является вектором управления, показатель xf- является заданным терминальным состоянием.
У ИНС имеется многослойная структура с нелинейными функциями активации на выходе каждого слоя.Нейронной сетью выполняются на каждом слое функциональные преобразования входного сигнала. оличество входных слоев в сети равно размерности nвектора состояния, а количество выходов нейронной сети равно размерности mвектора управления

48
Формально функцию нейронной сети можно в виде системы уравнений 
49
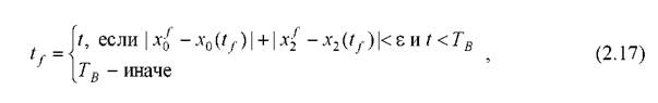
где показатель K - является количеством начальных условий,
где ТВ - время вертикализации экзоскелета.
2.3
Еще по теме Выбор структурных решений для нейросетевого управления экзоскелетом:
- Методы и средства нейросетевого управления для вертикализации экзоскелета
- Разработка генетических алгоритмов для синтеза систем управления вертикализацией экзоскелета посредством нейросетевых технологий
- Математическая модель для синтеза управления вертикализацией экзоскелета
- Анализ и оценка состояния проблемы синтеза оптимального управления на базе нейросетевого подхода для биотехнических систем реабилитации
- Генетический алгоритма для обучения нейронной сети для вертикализации экзоскелета с одним критерием оптимизации
- 4.1. Выбор системы для управления проектами
- Разработка системы управления экзоскелетом в квазистатическом режиме
- Методы нейросетевого управления, используемые в биотехнических системах
- Разработка системы управления экзоскелетом в динамическом режиме
- Генетический алгоритма для обучения нейронной сети для вертикализации экзоскелета с двумя критериями оптимизации
- Разработка вариантов решения. Выбор оптимального решения.
- Синтез системы управления вертикализацией экзоскелета методом искусственных нейронных сетей