Многомерные случайные величины
Часто результат испытания характеризуется не одной случайной величиной, а некоторой системой случайных величин X1, X2, …, Xn, которую называют также многомерной (n-мерной) случайной величиной или случайным вектором X = (X1, X2, …, Xn).
Примеры: 1. Успеваемость выпускника вуза характеризуется системой n случайных величин X1, X2, …, Xn — оценками по различным дисциплинам. 2. Погода в данном месте в определённое время суток может быть охарактеризована системой случайных величин: X1 — температура; X2 — влажность; X3 — давление; X4 — скорость ветра и т.п.Любая случайная величина есть функция элементарных событий w, входящих в пространство элементарных событий W. Поэтому и многомерная случайная величина есть функция элементарных событий w:
|
т.е. каждому элементарному событию w ставится в соответствие несколько действительных чисел x1, x2, …, xn которые приняли случайные величины X1, X2, …, Xn в результате испытания. Вектор x = (x1, x2, …, xn) называется реализацией случайного вектора X = (X1, X2, …, Xn). Случайные величины, входящие в систему, могут быть как дискретными, так и непрерывными.
Пример. Подбрасывают одновременно 2 игральные кости; случайная величина X — число очков, выпавших на первой кости; случайная величина Y — число очков, выпавших на второй кости. Пространство элементарных событий состоит из 36 элементарных исходов: = {(1, 1), (1, 2), …, (1, 6), (2, 1), (2, 2), …, (6, 5), (6, 6)}. Если результатом испытания является некоторый элементарный исход (событие) wi, например, w9 = (2, 3), то случайные величины X и Y получат определённые значения, в данном случае X = 2, Y = 3.
Наиболее полным, исчерпывающим описанием многомерной случайной величины является закон её распределения.
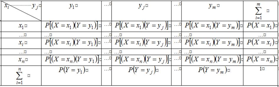
При конечном множестве возможных значений многомерной случайной величины такой закон может быть задан в форме таблицы, содержащей всевозможные сочетания значений каждой из одномерных случайных величин, входящих в систему, и соответствующие им вероятности.Пусть рассматривается двумерная дискретная случайная величина (X, Y). Тогда её двумерное распределение можно представить в виде таблицы распределения, в каждой клетке (i, j) которой располагаются вероятности произведения событий pij = P[(X = xi) (Y = yj)].
|
Поскольку события
состоящие в том, что случайная величина X примет значение xi, а случайная величина Y примет значение yj, несовместны и единственно возможны, т.е. образуют полную группу, то сумма их вероятностей равна единице, т.е.
|
Итоговые столбец и строка таблицы распределения (X, Y) представляют распределение одномерных составляющих. Действительно, распределение случайной величины X можно получить, вычислив вероятность каждого события X = xi (i = 1, 2, …, n) как сумму вероятностей несовместных событий:
|
Аналогично,
Зная закон распределения двумерной дискретной случайной величины можно найти законы распределения каждой из компонент.
Задача. В урне 4 шара: 2 белых, 1 чёрный и 1 синий. Наудачу извлекают 2 шара. Пусть случайная величина X — число чёрных шаров в выборке, случайная величина Y — число синих шаров в выборке.
Составить закон распределения для системы (X, Y). Найти законы распределения X и Y.Задача. В урне 4 шара: 2 белых, 1 чёрный и 1 синий. Наудачу извлекают 2 шара. Пусть случайная величина X — число чёрных шаров в выборке, случайная величина Y — число синих шаров в выборке. Составить закон распределения для системы (X, Y). Найти законы распределения X и Y. Решение. Возможные значения X: 0, 1. Возможные значения Y: 0, 1.
|
| | ||



Еще по теме Многомерные случайные величины:
- Функция распределения многомерной случайной величины
- Многомерные случайные величины. Лекция, 2017
- 5.7. Система произвольного числа случайных величин (случайные вектора).
- Раздел 5. Системы случайных величин (случайные векторы).
- § 4. Случайные величины, случайные элементы.
- Система случайных величин.
- Случайные величины.
- Анализ случайных величин
- 12.Мода и медиана случайной величины
- Свойства дисперсии случайной величины
- 1.2. Числовые характеристики случайных величин
- §10. Дискретные случайные величины и их характеристики
- 5.5. Зависимые и независимые случайные величины.