<<
>>

Погрешность дискретизации

При применении фазометрического метода измерения угла поворота на базе акселерометрических измерений, который основан на непосредственном преобразовании сигналов с трехкомпонентных акселерометров в фазу синусоидального колебания, погрешность измерения определяется погрешностью измерения фазы [117,118].

Так как измерение фазы строится на измерении временных интервалов, возникает погрешность дискретизации [119-121]. При этом погрешность дискретизации определяется соотношением частоты опорного синусоидального колебания и частоты дискретизации сигнала акселерометра, а также применяемым алгоритмом аппроксимации полезного сигнала между отсчетами. На рисунке 38 показано формирование погрешности дискретизации сигнала.

Рисунок 38 - Погрешность дискретизации сигнала акселерометра

В применяемых алгоритмах цифровой обработки сигнала традиционно между отсчетамиприменяется линейная аппроксимация:

) описывающая реальный процесс на интервале соседних отсчетов:

98

где- частота опорного генератора, φ- измеряемая фаза.

Аппроксимационные коэффициенты определяются по следующим соотношениям:

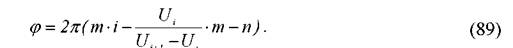
Фаза определяется на основании уравнения (85) через временной сдвиг τ, формируя при этом погрешность определения угла акселерометра через фазовую погрешность

Выражение для временного интервала, определяющего измеряемую фазу на n-периоде измерения, имеет вид:

где- частота дискретизации.

В предположении кратности частот, соотношение частоты генератора и частоты дискретизации:

Исходя из соотношений (87) и (88), выражение для фазы, полученное на основании алгоритма линейной аппроксимации:

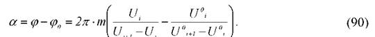
При этом угол поворота кинематической пары относительно двух соосных акселерометров, определяется разностью фаз измеряемого и опорного сигнала

Оценим погрешность определения угла в этом случае, для реального значения фаз на основании прямых вычислений:

99

В этом случае аналитическое выражение для оценки погрешности измерения угла посредством акселерометрического метода имеет вид:

Как видно из выражения (92), погрешность определения угла может быть уменьшена за счет увеличения частоты дискретизации по отношению к частоте генератора.

3.3.2

<< | >>
Источник: ГРЕЧЕНЕВА АНАСТАСИЯ ВЛАДИМИРОВНА. ФАЗОМЕТРИЧЕСКИЙ МЕТОД ГОНИОМЕТРИЧЕСКОГО КОНТРОЛЯ НА БАЗЕ АКСЕЛЕРОМЕТРИЧЕСКИХ ПРЕОБРАЗОВАТЕЛЕЙ. Диссертация на соискание ученой степени кандидата технических наук. Белгород - 2019. 2019

Еще по теме Погрешность дискретизации:

  1. 2.3. Разработка методики оценки характеристик достоверности прн использовании алгоритмов диагностирования с учетом методической составляющей погрешности, погрешности измерения н дополнительной погрешности.
  2. Глава 5Методы дискретизации задач математическойфизики
  3. 2.3.2 Оценка погрешности измерений
  4. 2.1.3 Классификация погрешностей измерения
  5. 2.5 Погрешности измерений, производимых при проведении эксперимента
  6. 7. Определение суммарной погрешности технологической системы.
  7. 1.1. Обработка результатов измерений и погрешности вычислений
  8. 2.5.2 Не исключенная систематическая погрешность измерений
  9. Тема 2 Структура погрешности численного решения задачи.
  10. Случайные систематические погрешности. Промахи
  11. Погрешность прибора
  12. Оценка погрешности измерения расхода.
  13. Оценка погрешностей
  14. Поправки. Случайные погрешности