<<
>>

1.4 Нелинейная диэлектрическая проницаемость и методы её исследования

Нелинейной средой называется среда, свойства которой зависят от ин­тенсивности внешних воздействий. В такой среде не выполняется принцип суперпозиции и отклик на сумму возмущений не равен сумме откликов на отдельные возмущения.

В результате при влиянии на систему внешним элек­тромагнитным полем возбуждаются колебания, которые характеризуются другими частотами: кратными, суммарными, разностными, и т.д.

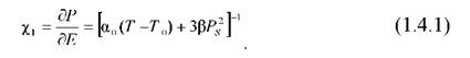
В рамках феноменологической теории Ландау-Гинзбурга для фазовых переходов второго рода при T= T0,в уравнении (1.1.1) можно опустить сла­гаемое cγ. Термодинамическое равновесие требует выполнения условия (1.1.3), тогда связь между EπP(1.1.3a) определяется уравнением

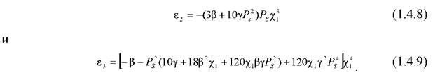
Дальнейшие дифференцирования с учетом условия ε = 1 + χ, где χ>> 1, приводят к выражениям для ε2или ε3, соответственно, как

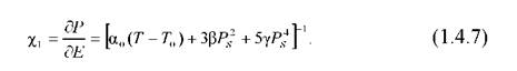
Диэлектрическая проницаемость второго порядка пропорциональна по­ляризации Ps,поэтому она меняет знак при изменении направления Ps.Кро­ме того ε2обращается в ноль при Ps = 0, поэтому ε2можно использовать для определения величины Psи температуры Кюри. В соотношении (1.4.3) ε3за­висят от квадрата поляризации, что делает их нечувствительными к ориента-

28

ции поляризации. Более того, ε3не исчезают при Ps = 0. Выше фазового пе­рехода уравнение (1.4.3) упрощается до

В связи с положительным β, ε3отрицательна выше точки фазового пе­рехода второго рода. В сегнетоэлектрической фазе P = Psи следовательно, в сегнетоэлектрической фазе ε3имеет положительный знак

Таким образом, теория Ландау-Гинзбурга предсказывает изменение знака ε3при фазовом переходе второго рода.

Для фазового перехода первого рода β < 0, γ > 0, что дает ε3> 0 при всех температурах, в частности, выше фазового перехода [105]. В этом слу­чае линейная восприимчивость задается соотношением

Дальнейшие дифференцирования приводят к выражениям для ε2или ε3, соответственно, как

Следовательно, знак ε3является чувствительным датчиком для разде­ления сегнетоэлектрических фазовых переходов первого и второго родов. На рисунке 1.4.1 приведена схема сравнения линейных и нелинейных откликов для классических сегнетоэлектриков (Tf - температура замерзания, Tm- температура пика χl).

Методы измерения нелинейности в сегнетоэлектриках. Нелинейный диэлектрический отклик может быть измерен с помощью двух различных 29

видов экспериментальных методов. Первый основан на исследовании на пе­ременном токе линейной диэлектрической восприимчивости при приложе­нии постоянного смещающего поля. Схематическое представление этого ме­тода показано на рисунке 1.4.2. На образец подается слабое переменное элек­трическое поле с фиксированной амплитудой для исследования линейного отклика и накладывается постоянное поле смещения Ев. Изменяя значение постоянного электрического поля в месте склона кривой поляризации, можно проводить измерения в разных точках петли гистерезиса. Амплитуда сме­щающего поля при таких исследованиях может достигать значений до 5.5 • IO7В/м [107].

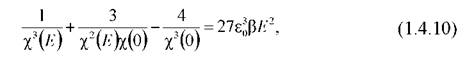
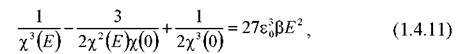
Зависимость линейной восприимчивости χ для сегнетоэлектриков с и е- прерывным фазовым переходом в параэлектрической фазе от напряженности электрического поля Eимеет следующий вид [108]:

и для сегнетоэлектрической фазы

где χ( Е) и χ(0) - восприимчивости в поле напряженностью Eи в нулевом электрическом поле соответственно^ - коэффициент в разложении (1.1.1). Используя формулы (1.4.10) и (1.4.11) можно вычислить температурную за­висимость коэффициента нелинейности βв сегнетоэлектрической и пара­электрической фазах.

Его знание позволяет вычислить температурную зави­симость нелинейной восприимчивости третьего порядка χ5.

К сожалению, описанный выше метод имеет ограничения при исследо­вании нелинейного диэлектрического отклика: в процессе нагре- ва/охлаждения при высоких полях смещения может появляться остаточная поляризация исследуемого образца. Кроме того, высокие смещающие поля 30

могут индуцировать фазовый переход в параэлектрическую фазу. Что на­блюдается, например, для титаната бария [109].

Рис. 1.4.1 Линейные и нелинейные отклики сегнетоэлектриков C фазовым переходом второго рода (а), первого рода (⅛) и релаксоров (с) [106].

Рис. 1.4.2 Представление метода измерения нелинейного диэлектрического отклика с ис­пользованием постоянного смещающего поля большой величины и слабого зондирующе­го переменного поля E [106]

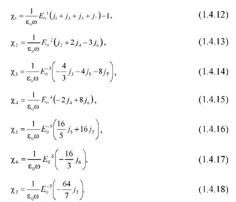
Второй способ измерения нелинейного диэлектрического отклика в сегнетоэлектриках освобожден от упомянутых выше ограничений. Схемати­ческое представление этого метода показано на рисунке 1.4.3. В ходе экспе­римента образец подвергается воздействию переменного зондирующего поля с достаточно большой амплитудой. В этом случае температурные зависимо­

сти линейной и нелинейной восприимчивости определяются при нулевом по­стоянном поле при нагреве и охлаждении. Именно поэтому обнаруженную нелинейную восприимчивость можно назвать динамической нелинейной восприимчивостью, связанную с нелинейностью переменного тока диэлек­трика. Обычно амплитуда этого поля намного меньше, чем величина сме­щающего поля, используемого в выше описанном методе. В результате нели­нейной зависимости P(E)форма сигнала исказится от идеального тем боль­ше, чем больше нелинейность исследуемого образца. Искаженный сигнал может быть подвергнут Фурье-анализу для выявления всех гармонических составляющих нелинейного сигнала.

Используя плотности тока jnна часто­тах wω, кратных частоте основного сигнала ω, можно рассчитать линейную χι и нелинейныеχw(и = 2, 3, 4,...) диэлектрические восприимчивости следую­щим образом [110]:

где E0- амплитуда приложенного электрического поля соответственно. В уравнениях (1.4.12) - (1.4.18) участвуют члены Jnдо седьмого порядка, сле­довательно, восприимчивости до пятого порядка можно рассматривать как надежные для сильно нелинейных материалов. Пренебрежение гармоник 32

высшего порядка может привести к искусственным эффектам. Необходимо отметить, что оборудование, применяемое в данном методе для определения нелинейных восприимчивостейу „, должно обладать высокой точностью [111].

Имея сдвиги фаз гармоник тока jn,как известно, можно рассчитать ре­альную χ'„ и мнимую/' „, части всех восприимчивостей и, следовательно, можно определять род фазового перехода по знаку диэлектрической прони­цаемости третьего порядкаεз в сегнето- и параэлектрической фазах. Это не­возможно, когда измерения производятся с электрическим полем постоянно­го смещения. Таким образом, метод с использованием зондирующего пере­менного поля большой величины (метод НДС) обладает целым рядом пре­имуществ по сравнению с методом, основанным на использовании постоян­ного смещающего поля большой величины.

Рис. 1.4.3 Представление метода измерения нелинейного диэлектрического отклика с ис­пользованием зондирующего переменного поля большой амплитуды [106]

1.5

<< | >>
Источник: Антонов Антон Анатольевич. ИССЛЕДОВАНИЕ КОМПОЗИТОВ C ЭЛЕКТРИЧЕСКИМ И МАГНИТНЫМ УПОРЯДОЧЕНИЕМ МЕТОДОМ НЕЛИНЕЙНОЙ ДИЭЛЕКТРИЧЕСКОЙ СПЕКТРОСКОПИИ. Диссертация на соискание ученой степени кандидата физико-математических наук. Благовещенск - 2017. 2017

Еще по теме 1.4 Нелинейная диэлектрическая проницаемость и методы её исследования:

  1. Методика исследования сегнетоэлектрических материалов методом нелинейной диэлектрической спектроскопии
  2. 24.2. Метод определения диэлектрической проницаемости
  3. Исследования диэлектрической проницаемости
  4. Метод нелинейной диэлектрической спектроскопии
  5. Измерение вольт-фарадных, частотных и температурных зависимостей диэлектрической проницаемости и диэлектрических потерь
  6. Температурные зависимости диэлектрической проницаемости и диэлектрических потерь
  7. Измерения диэлектрической проницаемости.
  8. Общий подход к описанию дисперсии диэлектрической проницаемости
  9. Температурные зависимости диэлектрической проницаемости
  10. 4.4 Исследование поляризации методом петель диэлектрического гистерезиса.
  11. Дисперсия диэлектрической проницаемости керамики на основе BTS со слоистой структурой
  12. 3.1 Нелинейные диэлектрические свойства композитных сегнетоэлектрических материалов
  13. Глава 3. Дисперсия диэлектрической проницаемости керамики на основе титаната висмута со слоистой структурой
  14. Измерение диэлектрической проницаемости с помощью измерителя иммитанса Е7-20 и фазочувствительного измерителя Вектор-175