<<
>>

Особенности сегнетоэлектрических свойств наноматериалов

В технике для создания устройств микро- и наноэлектроники исполь­зуются микрокристаллы, свойства которых зависят от их формы и размера. Изменения физических свойств, возникающие при ограничении размеров кристалла в одном (пленка), двух (нить) или трёх (малая частица) измерениях принято называть размерным (или геометрическим) эффектом.

Остановимся подробней на причинах изменения свойств сегнетоэлектриков в рамках су­ществующих теорий.

Размерные эффекты с точки зрения феноменологической теории. Р. Кретшмер и К. Биндер [79] на базе теории Ландау-Гинзбурга создали ос­нову для рассмотрения размерных эффектов с использованием двух харак­терных длин - корреляционной и экстраполяционной.

Идея размерного эффекта основывается на концепции корреляционного объёма, определяющего число упорядоченных диполей, необходимое для возникновения сегнетоэлектричества [80]. Фактически сильные дальнодейст- 24

вующие взаимодействия вдоль полярной оси и более слабое взаимодействие в направлении, перпендикулярном этой оси, приводят к анизотропии корре­ляционного объема. Уменьшение размера образца ниже критической длины, параллельной полярной оси, изменяет баланс между короткодействующими силами, которые способствуют образованию центросимметричной параэлек- трической фазы, и дальнодействующими взаимодействиями. Таким образом, для плёнок с толщиной ниже некоторого критического размера сегнетоэлек­трическое состояние может оказаться неустойчивым. Важным в этом подхо­де является вопрос о том, чему равна корреляционная длина ζ. Это зависит от того, как близко к температуре фазового перехода находится система, так как где- характеристики вещества. Вдали от температуры пере­

хода эта величина составляет всего несколько постоянных решётки.

Для изучения свойств сегнетоэлектрических тонких пленок рядом ав­торов (С. Хашимото, В. Шур, Г. Opnxapa, М. Аврами, О. Лозе и др.) были предложены несколько моделей, основанных на теории кинетики кристалли­зации Колмогорова-Аврами [81-89]. В этих моделях внимание авто­ров сосредоточено на статистике образования доменов. Другой подход осно­ван на разложении свободной энергии Ландау для неоднородной сегнето­электрической системы, рассматриваемой как совокупность дискретных ре­шеток электрических диполей [90]. Однако эти модели пренебрегают по­верхностным эффектом, который имеет влияние на фазовые переходы в сег­нетоэлектрических плёнках и малых частицах.

Впервые наличие влияния поверхности на поляризацию было изучено Р. Кретшмером и К. Биндером в 1979 году. Затем этот подход в 1984 году был расширен Д.Р. Тилли и Б. Жекшем [91], которые использовали феноме­нологический подход для описания изменения поляризации на поверхности плёнки. В разложение полной свободной энергии Ландау-Гинзбурга был до-

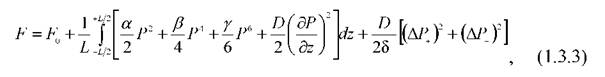
бавлен член, учитывающий поверхностный эффект, что привело к появле- ниюэкстраполяционной длины δ такой, что

Рассмотрим сегнетоэлектрическую пленку, спонтанная поляризация/3 в которой направлена перпендикулярно поверхности, с координатами

Для пленки поляризация Pявляется функцией расстояния от поверхности, поэтому свободная энергия (при E=Q)должна содержать члены, зависящие от градиента поляризации (V/3)2 и скачка поляризации на поверхности (Δ P)2.

где D - корреляционный фактор, δ - коэффициент, определяющий по­верхностную энергию,- значения спонтанной поляризации на границах пленки!при нахождении пленки в неполярной среде необходимо

положитьЧисленное решение (1.3.3) с учетом граничных условий

позволяет получить размерный эффект в виде P = P(L).

Учёт поверхностной энергии приводит к появлению в плёнке градиента поляризации.

Чем меньше абсолютные значенияб, тем более сильно проя в- ляется поверхностный эффект. Положительное значениё свидетельствует об уменьшении поляризации вблизи поверхности, тогда как отрицательное значение δ указывает на увеличение поляризации по сравнению со значением в объёмном образце.

Учет поля деполяризации, возникающего на границе (z = ±L), приводит к дополнительному слагаемому в разложении свободной энергии

А, следовательно, и к дополнительному вкладу в размерный эффект. Причем следует учитывать, что вклад поля деполяризации будет зависеть не только от размера частицы, но и от её формы [92].

26

Эта модель пользовалась большим успехом для объяснения фазовых переходов и диэлектрических свойств тонких сегнетоэлектрических пленок [93-96]. Л.Г. Онгом и М. Ахмадом были объяснены явления переключения поляризации второго порядка для сегнетоэлектрических пленок, в частности, характеристики петли гистерезиса от приложенного синусоидального поля [97, 98]. Показано, что при постоянной температуре размер петли гистерезиса возрастает с увеличением толщины пленки для δ > 0 и убывает для δ < 0. Для пленки заданной толщины размер петли гистерезиса уменьшается с ростом температуры в случаях δ > 0 и δ < 0.

Размерный эффект приводит к возникновению критического размера Lcr,при котором сегнетоэлектричество исчезает. Так, например, в [99] сооб­щалось о наблюдении Lcr= 1.2 нм (3 элементарные ячейки) в эпитаксиальных пленках РЬТіОз, выращенных на грани (001) SrT1O3. В перовските Pb(Zr02Ti0 8)Cb сегнетоэлектричество обнаружено до толщин порядка 4 нм [100], а для тонких полимерных пленок, полученных методом Ленгмюра- Блоджетт, критический размер отсутствует вовсе [101]. Размерный эффект может влиять и на изменение температур фазовых переходов. Ряд работ был посвящен исследованию свойств нитрита натрия, внедренного в силикатные нанопористые матрицы, фотонные кристаллы и пористые стекла (см.

[92] и ссылки в этой работе). В частности, было показано, что при внедрении NaNO2в поры малых размеров наблюдаются незначительные сдвиги сегне­тоэлектрического фазового перехода, рост диэлектрической проницаемости и проводимости. Проведенные диэлектрические и дилатометрические исследо­вания нитрата калия, внедренного в пористые стекла со средним размером пор 23 и 160 нм из расплава и из раствора, показали, что размер пор замет­ным образом влияет на температурный интервал стабильности сегнетоэлек­трической структуры [47]. Имеется несколько работ [102-104], посвященных исследованию свойств сегнетовой соли, для которой в условиях ограничен­ной геометрии (пористые матрицы Al2O3) не наблюдается верхней точки Кю­ри (297 К) вплоть до температуры разложения (343 - 353 К). Также размер­

ный эффект приводит к изменению Psπ её зависимости от температуры и по­ля. В 2005 году И. Кимом и др., исследовавшими петли гистерезиса в гетеро­структурах SrRuO-BaTiO3-SrRuO, эпитаксиально выращенных на подложке SrTiO3 (001), была оценена Lcrдля BaTiO3. Петли гистерезиса наблюдались вплоть до толщины 5 нм, причем время релаксации Psпри толщине L = 6,5 нм составляло ~ 10^3с.

<< | >>
Источник: Антонов Антон Анатольевич. ИССЛЕДОВАНИЕ КОМПОЗИТОВ C ЭЛЕКТРИЧЕСКИМ И МАГНИТНЫМ УПОРЯДОЧЕНИЕМ МЕТОДОМ НЕЛИНЕЙНОЙ ДИЭЛЕКТРИЧЕСКОЙ СПЕКТРОСКОПИИ. Диссертация на соискание ученой степени кандидата физико-математических наук. Благовещенск - 2017. 2017

Еще по теме Особенности сегнетоэлектрических свойств наноматериалов:

  1. Свойства неоднородных сегнетоэлектрических систем
  2. Влияние неоднородности и проводимости на свойства сегнетоэлектрических материалов
  3. Диэлектрические свойства сегнетоэлектрических композитов (KH2PO4)1.x/(Pb095Ge005T e)x
  4. Влияние носителей заряда на сегнетоэлектрические свойства кристаллов (обзор экспериментальных работ)
  5. Сегнетоэлектрические свойства керамики BTS.
  6. Сегнетоэлектрические свойства кристаллов SBN
  7. Релаксорные свойства сегнетоэлектрических материалов
  8. 3.1 Нелинейные диэлектрические свойства композитных сегнетоэлектрических материалов
  9. 3.2 Влияние проводимости на нелинейные свойства сегнетоэлектрических композитов
  10. Структурная неустойчивость и нелинейные свойства сегнетоэлектрических кристаллов
  11. Электрофизические свойства сегнетоэлектрических пленок PZT
  12. Особенности проводимости сегнетоэлектрических кристаллов
  13. Характеристика наноматериалов
  14. Канарейкин Алексей Геннадьевич. Сегнетоэлектрические свойства наноструктурированных систем на основе цирконата-титаната свинца. Диссертация на соискание ученой степени кандидата физико-математических наук. Санкт-Петербург - 2018, 2018
  15. Свойства и особенности бактериальных средств.
  16. Малая группа, ее свойства и особенности.
  17. 19. Проективные методики направлены на измерение свойств личности и особенностей интеллекта.
  18. 2.Понятие об ощущении и восприятии. Учет свойств, закономерностей и особенностей сенсорно-перцептивных процессов при организации учебной деятельности школьников.
  19. Лабораторная работа М 4 Определение свойств нервной системы с помощью опросника «Оценка индивидуально-типологических особенностей личности»