<<
>>

Влияние неоднородности и проводимости на свойства сегнетоэлектрических материалов

Под неоднородными сегнетоэлектрическими материалами понимаются материалы с неоднородным распределением поляризации. К ним относятся кристаллы, в которых присутствуют включения различных фаз, поликри- 18

сталлы, сегнетоэлектрические твердые растворы, композиты на основе сегне­тоэлектриков и т.

д.

Сегнетоэлектрические неупорядоченные структуры, в частности ком­позиты, состоящие из различных по своим свойствам компонентов или фаз, часто являются более перспективными для практических применений, чем однородные материалы. Такие композиты могут иметь различную структуру: полярные частицы в слабо или сильно поляризуемых матрицах, полярные частицы в полярной матрице и т.д. Физические свойства композитов зависят от объемных соотношений компонент, размера и геометрии частиц. Сущест­венную в роль таких структурах могут играть взаимодействия частиц между собой или с матрицей и [60, 61].

C точки зрения электродинамики эффективная диэлектрическая прони­цаемость неоднородной среды zeffопределяется как коэффициент, связываю­щий средние значение индукции и среднее поле

где угловые скобки означают усреднение по объему.

В случае линейной электродинамики соотношение между индукцией и напряженностью поля удовлетворяет принципу причинности [62]

—OO

или, переходя к Фурье компонентам:

Из (1.2.3) следует, что для Фурье компонент материальные уравнения имеют привычный вид, используемый в электродинамике

Для вычисления эффективной диэлектрической проницаемости eff в неоднородных диэлектриках существует множество соотношений.

Для вы- 19

числения zeffмелкодисперсных смесей при близких концентрациях, входящих в нее компонентов, используется формула Лихтенекера. Для случая равно­мерного распределения включений по объему основного диэлектрика ис­пользуется формула Лоренц-Лорентца. Формулы Бруггемана - для случая сферических частиц и частиц в форме плоских дисков. Формула Оделевского - для хаотического распределения частиц [63-66]. Расчеты по этим формулам дают приближенные значения. Более точное решение данной задачи можно получить решая задачу для каждой конкретной периодической структуры [67, 68].

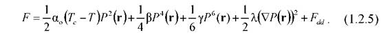
Теоретические подходы к описанию сегнетоэлектрических композитов пока находятся в стадии становления, и по данному вопросу имеются только единичные работы [69]. Композитные материалы являются термодинамиче­ски неравновесными открытыми системами с развитой сетью внутренних границ раздела. Для сегнетоэлектрических композитов свободная энергия системы частиц (в отсутствии внешнего электрического поля) записывается в виде суммы энергий частиц первого компонента, системы энергий частиц второго компонента и энергии их взаимодействия, где в качестве энергии взаимодействия чаще всего берется энергия диполь-дипольного взаимодей­ствия Fdd [70, 71]

Коэффициент λ учитывает вид неоднородности, а электрическое вза и- модействие компонент будет учитываться как энергия диполь-дипольного взаимодействия где- объемы и поляризация частиц матрицы и частиц включе­

ний соответственно; rd- экстраполяционная длина, которая определяется распределением частиц в образце.

При рассмотрении электрического взаимодействия дипольных частиц в поляризуемой среде необходимо учитывать отличие поля, действующего на диполь, от макроскопического поля.

Это отличие приводит к тому, что в энергии диполь-дипольного взаимодействия фигурируют эффективные ди­польные моментыи некоторое эффективное поледействующее на z-й диполь со стороны ближайших частиц [72,73]. В [73] показано, что в сильно поляризуемых матрицах появляются особенности, связанные с пространст­венной дисперсией диэлектрической проницаемости, которая существенна в средах с большой поляризуемостью. При этом локальное поле будет опреде­ляться соотношением

где- фурье-компоненты поляризации, L - фактор локального поля в месте нахождения диполя.

Первое слагаемое в соотношении (1.2.3) учитывает отличие действую­щего на диполь внутреннего поля от макроскопического. Второе слагаемое соответствует макроскопическому полю, усредненному по некоторому эле­ментарному объему. Символ Кронекераб qQучитывает, что при возникнове­нии однородной поляризации в образце макроскопическое поле равно нулю. Зависимость фактора Сот величины дипольного момента частиц в модели то­чечных диполей рассматривалось в [70].

В неоднородных сегнетоэлектрических системах, где хотя бы одна из компонент обладает электрической проводимостью, появляются дополни­тельные механизмы, приводящие к изменению диэлектрической проницае­мости и нелинейности. Это обусловлено тем, что в проводящих кристаллах уменьшение поля деполяризации происходит не за счет разбиения на доме­ны, а за счет экранирования свободными зарядами [74]. После ухода фазовой границы или доменной стенки в данном месте кристалла может оставаться след в виде объемного заряда.

Поляризация Максвелл-Вагнера возникающая на границе двух сред, отличающихся диэлектрическими проницаемостямии электропровод­

ностями σι, σ2, дает существенный вклад в эффективную проницаемость.

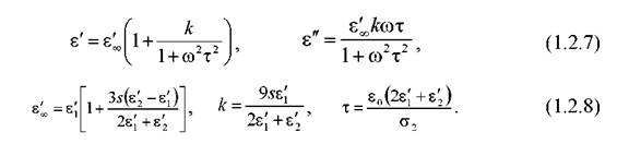
Так, в модели Вагнера примеси с диэлектрической проницаемостью 2и электропроводностью σ2существующие в виде сфер малого радиуса, разбро­санных в диэлектрической матрице с диэлектрической проницаемостьює'1и малой электропроводностью, формируют выражение диэлектрической про­ницаемости следующего вида [75]:

Для описания электрических свойств системы, состоящей из включений с полупроводниковыми свойствами (проводимость σ2и диэлектрическая проницаемость ε2), окруженных средой с проводимостью Gi « σ2и диэлек­трической проницаемостью ει в [76], было получено соотношение типа фор­мулы Дебая

- времена релаксации, X-отношение тол­щины граничного слоя к толщине зерна.

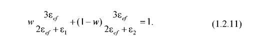
На нелинейные свойства сегнетоэлектрических материалов оказывает влияние как объемная неоднородность (в виде кристаллитов и доменов), так и неоднородность, связанная с поверхностными слоями. Диэлектрическая проницаемость неоднородных материалов может быть определена в рамках теории эффективной среды, где существенную роль играет перераспределе­ние поля при поляризации [77]. Для статистической смеси частиц двух сор­тов предполагается справедливым допущение, что для частицы /-го типа связь между локальным полем Eiи средним полем Eможет быть определена

по той же формуле, что и для сферической частицы с проницаемостьюε г, по­груженной в среду с некоторой эффективной диэлектрической проницаемо­стью zef

Если объёмная концентрация первой компоненты равна w, а второй - (1 - w),то в результате усреднения поля по образцу должна получиться вели­чина, равная Е.

Тогда с учетом (Е2.10) имеет место условие самосогласова­нна

откуда можно найти

Обобщая эту модель на нелинейный случай, диэлектрическую прони­цаемость каждой из фаз считают изотропной, а к диэлектрику прикладывают статическое поле смещенияи переменное полес частотой ω. Для м а- лых амплитуд поляприменимы соотношения линейной теории (Е2.10) и (E2.ll). Таким образом, величины ε, являются функциями статической поля­ризации частиц /-го сорта, которая зависит от среднего поля:

Для выявления свойств изолированных частиц в композитной структуре в работе [78] использовалась формула, предложенная Т. Фурукава, позволяю­щая вычислить среднее электрическое поле Ep,действующее на частицы:

где εraи Zfe- диэлектрические проницаемости матричного полимера и изоли­рованных частиц, соответственно, vz⅛ - объемная доля частиц в композите, Eapp - приложенное поле.

Уравнения (1.2.12) и (1.2.13) определяют функциональную зависимость εe∕ от поля Е(о). Итак, нелинейные свойства неоднородных сегнетоэлектриков могут существенно отличаться от соответствующих свойств объемных кри­сталлов, что определяется не только свойствами самого вещества, но и усло­виями на границе раздела зерен. Механизмы обусловленные накоплением носителей заряда на границах доменных стенок и на границах зерен могут приводить к образованию гетеропереходов, которые дают дополнительный вклад в нелинейность.

Влияние большого количества случайно распределенных в объеме за­ряженных дефектов рассматривалось в [77]. Как следствие наряду с поляри­зацией, индуцированной внешним полем, в них присутствуют дополнитель­ные локальные поля и статическая поляризация Р, обусловленная неравно­весным зарядом. В свою очередь эта поляризация индуцирует в нелинейном диэлектрике дополнительную неоднородность проницаемости.

1.2

<< | >>
Источник: Антонов Антон Анатольевич. ИССЛЕДОВАНИЕ КОМПОЗИТОВ C ЭЛЕКТРИЧЕСКИМ И МАГНИТНЫМ УПОРЯДОЧЕНИЕМ МЕТОДОМ НЕЛИНЕЙНОЙ ДИЭЛЕКТРИЧЕСКОЙ СПЕКТРОСКОПИИ. Диссертация на соискание ученой степени кандидата физико-математических наук. Благовещенск - 2017. 2017

Еще по теме Влияние неоднородности и проводимости на свойства сегнетоэлектрических материалов:

  1. 3.2 Влияние проводимости на нелинейные свойства сегнетоэлектрических композитов
  2. Свойства неоднородных сегнетоэлектрических систем
  3. Релаксорные свойства сегнетоэлектрических материалов
  4. 3.1 Нелинейные диэлектрические свойства композитных сегнетоэлектрических материалов
  5. Влияние носителей заряда на сегнетоэлектрические свойства кристаллов (обзор экспериментальных работ)
  6. Особенности проводимости сегнетоэлектрических кристаллов
  7. Нелинейные эффекты в наноразмерных сегнетоэлектрических материалах
  8. Экспериментальные результаты по исследованию нелинейных эффектов сегнетоэлектрических материалов
  9. Диэлектрические свойства сегнетоэлектрических композитов (KH2PO4)1.x/(Pb095Ge005T e)x
  10. Методика исследования сегнетоэлектрических материалов методом нелинейной диэлектрической спектроскопии