Методика исследования сегнетоэлектрических материалов методом нелинейной диэлектрической спектроскопии
Одним из наиболее чувствительных методов исследования зависимости диэлектрической проницаемости от приложенного электрического поля является метод нелинейной диэлектрической спектроскопии, который позволяет определить температуру исчезновения Ps,и его удобно использовать для исследования как объемных, так и наноструктурированных сегнетоэлектриков.
Применение методов нелинейной диэлектрической спектроскопии и, в частности, генерации третьей гармоники, для изучения сегнетоэлектрических материалов обусловлено возрастанием нелинейности вследствие сегнетоэлектрического фазового перехода.Комплексный ток в цепи определяется соотношением
где Ir, Iq-активная и реактивная компоненты тока, соответственно, R - омическое сопротивление образца, U-напряжение на образце.
В случае нелинейных диэлектриков ёмкость образца является функцией напряжения и не может быть вынесена из под знака производной. Принимая это во внимание, емкостная компонента тока может быть представлена в виде [167]
где Со = C (U=Q).
В (2.3.2) предполагается слабая зависимость ёмкости от поля при малых напряжениях на образце, поэтому в ряде Тейлора ограничились двумя членами. Если к образцу приложено синусоидальное поле U (t) = U0sin (ωt),то соотношение (2.3.2) принимает вид

или
где χ - значение диэлектрической восприимчивости, Snh-площадь и толщина образца, соответственно. Последнее слагаемое отражает нелинейный вклад и проявляется в появлении гармоник.
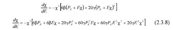
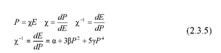
Согласно феноменологической теории Ландау-Гинзбурга, вклад в свободную энергию сегнетоэлектрика, обусловленный поляризацией Р, может быть представлен в виде (1.1.1). Минимизируя свободную энергию (1.1.1), легко найти уравнение состояния в электрическом поле
Чтобы получить нелинейный вклад, определяемый последним членом в (2.3.4), необходимо найти производную по полю от диэлектрической восприимчивости χ, которая определяется из (2.3.6) дифференцированием по поляризации.
Интересующая нас производная получается дифференцированием выражения, обратного к (2.3.5), то есть
Случай малых полей. В (2.3.6) поляризация зависит от поля в соответствии с уравнением состояния (2.3.4), однако при малых полях (ниже коэрцитивного) поляризацию удобно выразить в приближенном виде
60
где Ps- спонтанная поляризация, отличная от нуля только в сегнетоэлектрической фазе. Учитывая (2.3.7), соотношение (2.3.6) примет вид
Так как последнее слагаемое в (2.3.3) отражает нелинейный вклад, то необходимо определить
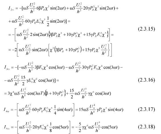
Для дальнейшего преобразования соотношения (2.3.10) применим известные тригонометрические формулы и
определим следующие выражения
Tогда соотношение (2.3.10) с учетом выражений (2.3.11) -(2.3.13) будет
Ul
Группируя слагаемые последнего выражения по sin(2ωf), sin(3ω∕), sin(4ω∕) и sin(5ω∕), получим нелинейные вклады до пятой гармоники, соответственно.
Таким образом, в сегнетоэлектрических материалах нелинейными членами нельзя пренебрегать даже в относительно низком электрическом поле.
Для случая больших полей (больше коэрцитивного) происходит переключение Psи использовать разложение (2.3.7) нельзя. Из теории гармонического анализа известно, что любой сигнал, выраженный функцией от времени, можно представить в виде суммы гармонических составляющих, отличающихся друг от друга амплитудой, частотой и начальной фазой.
62
В случае периодической функции u(f)с периодом T её спектр состоит из бесконечного числа гармонических составляющих, частоты которых рав-
Амплитуды спектральных составляющих являются в этом случае коэффициентами ряда Фурье [167]
где Uq - напряжение на нулевой частоте, Un- амплитуда гармоник.
Если переключение поляризации аппроксимируется прямоугольными импульсами, то амплитуда гармоник будет определяться формулой
где E - амплитуда импульсов, пропорциональная напряжению на образце,
Согласно соотношению (2.3.21), амплитуда гармоник Unбудет периодически меняться, и уменьшаться с увеличением порядка Un. Если положить, что длительность импульса
то из (2.3.21) следует, что максимум
амплитуды будет иметь третья гармоника.
При больших полях Un ~ Psи наблюдается переключение спонтанной поляризации с -Psна +Psи ток через резистор будет определяться как ток пе- реполяризации
где Ec- коэрцитивное поле.
UJ
Итак, анализируя поведение амплитуд гармоник высоких порядков можно получать дополнительную информацию о поведении диэлектрической проницаемости, спонтанной поляризации и характере фазового перехода.
Схема установки для температурных исследований нелинейных эффектов показана на рисунке 2.3.3.
Рис. 2.3.3 - Схема экспериментальной установки для НДС. Образец представлен в виде эквивалентной схемы с сопротивлением Rи ёмкостью С:
1 - исследуемый образец, 2 - термостат, 3 - термопара
Для проведения высоко- и низкотемпературных измерений использовали системы нагрева и охлаждения, описанные в первом параграфе текущей главы. Измерительная система (рис. 2.3.3) представляла собой генератор ГЗ- 117 с максимальным выходным напряжением 10 В. Сигнал кратных гармоник снимался с резистора, включенного последовательно с образцом, и подавался на цифровой анализатор спектра, в качестве которого служил компьютер с 24-разрядным АЦП ZET 230 и программным обеспечением ZetLab. Для проведения измерений была выбрана частота 2 кГц, что обусловлено временами переключения поляризации в сегнетоэлектриках и характеристиками измерительной системы.
ZET 230с 24-разрядным АЦП предназначен для измерений параметров сигналов с высокой точностью, большим динамическим и частотным диапа-
зоном, поступающих с различных первичных преобразователей. Модуль АЦП/ЦАП ZET 230 подключается к ПЭВМ по интерфейсу USB 2.0, Ethernet 10/100 или Wi-Fi. Основные технические характеристики АЦП ZET 230 [168]: количество входов - 4 синфазных / 4 дифференциальных, частота преобразования по каждому каналу - до 100 кГц, количество разрядов АЦП - 24, максимальное входное напряжение - ± 10 В, входное сопротивление - 100 кОм, динамический диапазон - 100 дБ, частотный диапазон - от 2 Гц до 20 кГц, входная ёмкость - 20 пФ.
Основные технические характеристики ЦАП ZET 210: количество выходов - 2 синфазных, частота преобразования по каждому каналу - до 100 кГц, максимальное выходное напряжение - ± 10 В, количество разрядов ЦДЛ - 24.Для автоматизации эксперимента и обработки полученных данных использовалось программное обеспечение, разработанное автором в рамках данной работы. Создана комплексная система, основанная на клиент-серверной архитектуре, позволяющая проводить измерения в автоматическом режиме. Измерительные приборы представляются серверами транслирующими данные регистраторам и обработчикам сигналов по внутреннему текстовому протоколу, основанному на формате JSON. Для приборов Е7-25 и ZET 230 были разработаны программы, реализующие API по получению данных и управлению устройством. Также был реализован экспорт измерительной информации в файлы с форматами, поддерживаемыми табличными процессорами, xlsx и ods.
Еще по теме Методика исследования сегнетоэлектрических материалов методом нелинейной диэлектрической спектроскопии:
- Метод нелинейной диэлектрической спектроскопии
- 3.1 Нелинейные диэлектрические свойства композитных сегнетоэлектрических материалов
- Экспериментальные результаты по исследованию нелинейных эффектов сегнетоэлектрических материалов
- 1.4 Нелинейная диэлектрическая проницаемость и методы её исследования
- Нелинейные эффекты в наноразмерных сегнетоэлектрических материалах
- 3.2 Влияние проводимости на нелинейные свойства сегнетоэлектрических композитов
- Структурная неустойчивость и нелинейные свойства сегнетоэлектрических кристаллов
- Диэлектрические свойства сегнетоэлектрических композитов (KH2PO4)1.x/(Pb095Ge005T e)x
- 4.4 Исследование поляризации методом петель диэлектрического гистерезиса.
- 3.1.1 Методика эксперимента по исследованию энергетического порога повреждения оптических материалов
- Линейные и нелинейные диэлектрические свойства пленочных гетероструктур BaTiO3∕Si
- 2.2. Материалы и методы исследования
- Влияние неоднородности и проводимости на свойства сегнетоэлектрических материалов
- Релаксорные свойства сегнетоэлектрических материалов
- Метод МР-спектроскопии
- Глава 3. Исследование морфологии рельефа, фрактальных свойств поверхности и электрических характеристик контакта зонд-образец для наноразмерных металлических пленок на диэлектрических подложках методом сканирующей туннельной микроскопии
- Методика диэлектрических измерений
- Тестирование. Типы тестов. Тест Томаса, тест на определение стиля управления, методика «Психологическое время личности» А. Кроника, методика исследования самооценки С.А Будасси, методика Т. Лири, методика «Личностная агрессивность и конфликтность» Е.П. Ильина и П.А. Ковалева, тест ценностных ориентаций М. Рокича.