<<
>>

Моделирование ошибок при вычислении местоположения поданным одометрии

Для моделирования случайных ошибок при вычислении местоположения по данным одометрии мы использовали метод [98,303], аналогичный методам, описанным в работах Кроули [240], Конолиджа [286] и Чонга [228].

В указан­ных работах неопределенность местоположения мобильного робота ξ описы­вается симметричной ковариационной матрицей следующего вида

289

Эта ковариационная матрица рекурсивно вычисляется (обновляется) при движении робота. Основными причинами, увеличивающими неопределенность местоположения, являются неточные движения робота и ошибка в задании на­чального местоположения. Даже если предположить, что движения робота аб­солютно точны, то неопределенность его местоположения все равно будет из-за второй причины — неопределенности в задании начальной ориентации робота.

Так как уравнения движения робота (4.5) являются неголономными и нели­нейными, то уравнение рекурсивного обновления для ковариационной матрицы может быть получено только для малого приращения вектора состояния

. Приращениеможно разделить на приращение пройденного расстояния δ sи приращение поворота

В настоящей работе мы предполагаем, что существуют три типа основных ошибок, вносящих вклад при интегрировании уравнений движения (4.5) по приращениям вектора

• Ошибка расстояния δs,вызванная разницей между расстоянием, вычис­ленным системой одометрии, и действительно пройденным роботом расстоянием.

• Ошибка дрейфа, вызванная разницей между расстояниями, пройденными каждым из ведущих колес. Эта ошибка ведет к изменению ориентации робота и, в конечном итоге, к отклонению робота от движения по прямой линии.

• Ошибка поворотавызванная разницей между вычисленным системой одометрии и действительным углом поворота робота.

Первые две ошибки возрастают по мере движения, а последняя ошибка воз­растает с количеством поворотов, сделанных роботом. В первом приближении, для малого приращенияошибки расстояния, дрейфа и поворота могут быть линейно представлены коэффициентамисоответственно. Поэтому

неопределенность позиции, возникающая при малом изменении положения ро­бота, может быть задана следующей ковариационной матрицей

Верхний индекс (г) показывает, что матрица задана в начальной системе координат робота до выполнения малого перемещенияДля приведения данной ковариацион­ной матрицы в глобальную систему координат следует использовать выражение

Данная матрица описывает неопределенность, возникающую от неточности движений робота. Для вычисления неопределенности, возникающей из-за второй причины — ошибки в задании начального местоположения робота, - запишем уравнения движения робота в приращениях (4.5) через рекурсивное выражение

В данном случае предполагается, что движения робота точны.

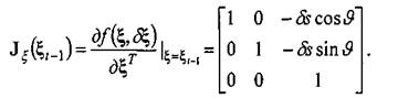
Выражение (6.9) может быть линеаризованно с помощью разложения в ряд Тэйлора

гдематрица Якоби, вычисляемая в виде

Из (6.10) изменение местоположения робота выражается как. Таким

же образом в линеаризованном уравнении изменится и начальная погрешность по­ложения робота. Обозначив начальную ошибку как, ошибку после перемеще­нияи учитывая, что ковариационная матрица для ошибки

вычисляется при помощи выражения, получим выражение

которое может быть использовано для рекурсивного обновления начальной ко­вариационной матрицы, описывающей общую неопределенность положе­ния робота перед совершением малого перемещенияВыражение (6.11) предполагает, что движения робота точны.

В конечном счете, мы объединим уравнения (6.8) и (6.11), чтобы получить общее рекурсивное уравнение, учитывающее обе причины увеличения неопре­деленности в положении робота при его движении

Данное выражение получено для малого приращения в позиции робота. Вы­ражение рекурсивно — здесь ковариационная матрицаявляется результа­том вычисления по выражению (6.12) для предыдущего малого приращения.

6.2.5.

<< | >>
Источник: ЛУКЬЯНОВ АНДРЕЙ АНАТОЛЬЕВИЧ. МАТЕМАТИЧЕСКОЕ МОДЕЛИРОВАНИЕ В ПРОБЛЕМЕ ОБЕСПЕЧЕНИЯ ТОЧНОСТИ ДВИЖЕНИЯ И ПОЗИЦИОНИРОВАНИЯ МОБИЛЬНЫХ МАНИПУЛЯЦИОННЫХ РОБОТОВ. ДИССЕРТАЦИЯ на соискание ученой степени доктора технических наук. Иркутск - 2005. 2005

Еще по теме Моделирование ошибок при вычислении местоположения поданным одометрии:

  1. Увеличение неопределенности местоположения робота при использовании вероятностной модели движения
  2. 1.10.3. Распространение ошибок в начальных данных при решении обыкновенных дифференциальных уравнений.
  3. 3.3.1 Исследование регуляризнрующих свойств алгоритма при отсутствии ошибок модели движения
  4. 1.4. Порядок действий при арифметических вычислениях
  5. Упражнение VII О том, что у Аристотеля встречается бесчисленное множество ошибок 1. Аристотелевские «Категории» полны ошибок, нечестия и лжи  
  6. 3.5.4 Численное моделирование при совместных ошибках модели поля Земли и ошибках баллистического коэффициента
  7. 3.2. Исследование влияния дополнительных погрешностей значений контролируемых параметров на величины ошибок первого и второго рода при косвенном контроле технического состояния ЛТС
  8. Обзор вычислительных методов, используемых при моделировании
  9. 3.3. Выявление и устранение прокурором ошибок в определении пределов доказывания при утверждении обвинительного заключения
  10. 3.5.1 Описание допущений, принимаемых при численном моделировании
  11. 3.3. Исследование влияния положения полей допусков значений контролируемых параметров, а также методической и эксплуатационной составляющих погрешности на величины ошибок первого и второго рода при использовании алгоритма диагностирования.
  12. 6.10. Вычисление теплоемкостей cv и cp, сравнение вычисленных значений с опытными
  13. 3.1. Исследование влияния дополнительных погрешностей значений контролируемых параметров на величины ошибок первого и второго рода при прямом контроле технического состояния АТС.
  14. 2.5. Определение математических зависимостей для расчета вероятностей ошибок первого и второго рода в условиях повторяемости, промежуточной прецизионности и воспроизводимости при реализации стандартного метода измерений.