<<
>>

АДАПТИВНЫЙ МЕТОД ОПТИМИЗАЦИИ ПАРАМЕТРИЧЕСКИХ РЯДОВ ИЗДЕЛИЙ 1

Параметрический ряд рассматривается как система, как множество элементов, соединенных между собой причинно-следственной зависимостью.

Из общей теории систем известны различные виды и типы систем.

Анализ существующих методов позволяет сделать вывод о том, что параметрический ряд представляет собой сложную, вероятностную, технико-экономическую систему. При этом процесс оптимизации параметрического ряда следует рассматривать как управляемый процесс.

Именно с этой точки зрения традиционные методы, основанные на переборе вариантов, уместно отнести к простейшим видам управления системой. Ведь оптимизация рядов по «Рекомендации

1 Разработан при участии канд. техн. наук В. С. Антипенко, канд. экон. наук А. П. Жернового и канд. экон. наук В. И. Розанова.

РЗ-63» [4.12] есть не что иное, как жесткое управление системой, т. е. управление без обратной связи.

Учитывая особенности системы «параметрический ряд», т. е. ее вероятностный характер и присущую ей неопределенность, применен более совершенный вид управления этой системой, а именно, управление с адаптацией.

Заимствованный из теории автоматического управления адаптивный подход [4.19, 4.20] имеет ряд преимуществ. Так, адаптивный метод не связан с необходимостью установления в явном виде функции распределения требований потребителей изделий (правда, в неявном виде функция распределения всегда присутствует, но она восстанавливается ЭВМ в процессе счета). Это особенно ценно при решении технико-экономических задач, когда при малом объеме исходной статистической информации необходимо получить экономически обоснованные рекомендации.При адаптивном подходе к задаче о параметрическом ряде возможно не только учесть, но и минимизировать потери из-за несоответствия предлагаемого варианта ряда требуемому.

Кроме того, при адаптивном методе оптимизации для восполнения недостающей априорной информации активно используется текущая информация, получаемая в процессе оптимизации ряда.

Этот метод исключает трудоемкую работу по определению кривых (гистограмм) распределения, их аппроксимации, что значительно сокращает предварительную статистическую обработку исходной информации.

Адаптивные алгоритмы оптимизации не претерпевают изменений при изменении с течением времени плотности распределения требований потребителей изделий. Достаточно располагать информацией об изменении плотности распределения, чтобы, используя разработанные алгоритмы, получить обоснованное оптимальное решение, соответствующее новым условиям. И, наконец, адаптивные алгоритмы удобны с точки зрения их реализации на ЭВМ.

Для формирования экономико-математической модели и последующего выполнения оптимизационных расчетов вводятся необходимые обозначения, условия и ограничения.

Обозначения следующие:

qt — фактическое значение главного силового или размерного параметра г-го изделия базового ряда;

Qk—оптимизируемое значение главного силового или размерного параметра 6-го члена искомого типоразмерного ряда; к — индекс порядкового номера оптимизируемого члена ряда (к = 1, 2, 3, ... N);

N — число членов оптимизируемого типоразмерного ряда;

п — номер шага вычислений оптимизируемого набора значений главного параметра и границ

интервалов применяемости для размерного параметра изделий ряда в адаптивных алгоритмах (л = 1, 2, 3, ...);

I — номер шага вычислений программы выпуска в адаптивном алгоритме (I = 1, 2, 3, ...); р — номер шага вычислений величины потерь в адаптивном алгоритме (р = 1, 2, 3, ...); т — число членов базового ряда изделий с фактическими значениями главного параметра (т = 1, 2, 3, ...);

В = В (qi) — фактическая программа выпуска t-ro изделия базового ряда с силовым или размерным параметром qc,

(Qk-i, Qk) и (Lk-ъ Lh) — интервалы значений соответственно главного силового и размерного параметра, характеризующие возможность замены членов базового ряда из указанных интервалов к-ми членами ряда; а, b — «нижняя» и «верхняя» границы диапазона изменения главного параметра;

Bk = Bk (Qk_u Qk), Bk = Bk {Lk-i, Lk) — программа выпуска k-то изделия оптимизируемого ряда, обслуживающего соответствующий интервал;

В% — суммарная программа выпуска изделий базового или оптимизируемого типоразмерного ряда;

5 = S (qh В {q,))t Sk = Sk {Qk, Bk) — функции, определяющие величину народнохозяйственных затрат соответственно на t-e базовое и к-е оптимизируемое изделие за срок службы;

— суммарные народнохозяйственные затраты на оптимизируемый ряд изделий;

R — величина потерь от несоответствия значений главных технических параметров базовых и оптимизируемых типоразмерных рядов изделий;

F — целевая функция;

Ф {qt) — функция плотности распределения вероятностей значений главного параметра базового ряда в диапазоне {а, Ь); q [п], В [л], —значения соответствующих величин на л-м Bk [«], 5 [л],              шаге вычисления в адаптивных алгоритмах

Sk [я].ф(lt;7 Ы),              (л = 0, 1, 2, 3, ...);

Qk [л], Lk [л]

Nfflax, Nm\n — максимально и минимально возможное число членов оптимизируемого ряда;

* — символы со звездочкой означают оптимальную величину значения типоразмерного ряда.

Условия и ограничения следующие. Оптимальное число членов ряда изделий N* находится в границах Nmlu lt; jV* lt; A7max, где A/mm, N max устанавливается на основе логического анализа применяемости базового ряда изделий. Величина Nmax принимается равной числу типов машин при условии, что на каждой машине используется оригинальное изделие.

Величина Nmin устанавливается с учетом ограничений по массе путем определения максимального отклонения главного параметра изделия ]ссы:

где d — максимально возможноеотклонение значения главного параметра изделия, допускаемое ограничением по массе (индивидуальное для каждого конкретного ряда изделий); G {qt), G (Qk) — функция, определяющая массу /-го базового или k-го оптимизируемого изделия ряда; AGmax — максимально допустимое увеличение массы изделия.

Данное ограничение учитывается при выборе минимального числа членов ряда:

а) для силового параметра (отклонение возможно только в меньшую сторону) N— накопится из условия

б) для размерного (отклонение возможно как в меньшую, так и в большую сторону) N^n находится из условия

При таком порядке выбора Nmin ограничения по массе алгоритмом учитываются автоматически. Диапазон изменения главного силового или размерного параметра изделий ряда имеет фиксированные границы — верхнюю и нижнюю (а и b), которые обеспечивают данными изделиями весь типаж машин.

Значения главных технических параметров изделий должны находиться внутри интервала:

Равенства Q0 — а и QN — b исключают возможность формального решения задачи, когда, напоимео.

Граница диапазона «а» выбирается из условия, что величина «а» будет меньше любого значения главного силового или размерного параметра базового ряда.

Так, для воздухоочистителей lt;7min = НО м3/ч, а величина «а» принята равной 8 м3/ч.

Граница диапазона «b» принимается равной максимальному или большему значению главного силового или размерного пара-

Рис. 4.1. Границы при-~              “

меняемости значений членов оптимизируемого ряда

метра базового ряда. Так, для воздухоочистителей qmax = 470м3/ч и значение «6» принято равным 470 м3/ч.

Левая граница первого интервала значений главного силового или размерного параметров (Q0 и L0) задается ЭВМ для того, чтобы указать интервал, обслуживаемый членом оптимизируемого ряда Qi, если в процессе вычислений окажется, что Qx = qm[n.

При каждом промежуточном значении N оптимизации подлежат следующие значения главного технического параметра:

а) в случае силового параметра

б) в случае размерного параметра

Суммарная фактическая и оптимизируемая программы выпуска изделий типоразмерного ряда по всем интервалам (Qk_і, Qk) или (L*_i, Lk) сохраняют постоянное значение, определяемое выражением:

Приведенная ниже целевая функция (4.5) вместе с ограничениями при выбранном R составляют экономико-математическую модель однопараметрического ряда, при оптимизации которого используется адаптивный метод.

Задача рассматривается применительно к параметрическим рядам изделий как с силовым, так и размерным параметрами.[X] Каждый к-й член оптимизируемого ряда с силовые параметром заменяет все фактические значения параметра, расположенные в промежутке от k — 1-го и до 6-го члена включительно Qk_x lt; lt; q lt; Qk- При этом значения членов оптимизируемого ряда определяют границы их применяемости (рис. 4.1, а).

Для изделий с размерным параметром оптимизируемый член ряда заменяет фактические значения, расположенные справа и слева от оптимизируемого, находящиеся в соответствующих границах Lk_і, Lk (рис. 4.1, б). При этом Ьк_х lt; q, Qk lt; Lk, Qk gt;¦ q или Qk lt; q. ¦

В отличие от ряда с силовым параметром (см. рис. 4.1, а) для ряда, построенного по размерному параметру (см. рис. 4.1, б), к каждому значению требуется указать границы интервала его применяемости (Ьк_ъ Ьк).

Решение задачи выбора и обоснования оптимальных параметрических рядов изделий выполняется в такой последовательности: сбор и обработка исходной информации по номенклатуре изделий, подлежащих унификации; установление корреляционной зависимости экономических показателей от главного параметра; формирование целевой функции; ввод исходной информации и количественных зависимостей в ЭВМ; оптимизационные расчеты на ЭВМ и оценка результатов; составление рекомендаций.

Исходная информация по базовым (существующим) серийно выпускаемым изделиям собирается за период 3—5 лет освоенного производства. Для формирования стоимостной функции (приведенных затрат) и последующего корреляционного анализа необходимы данные: из сферы производства — себестоимость единицы изделия, программа выпуска, стоимость производственных фондов, величина удельных капитальных вложений с учетом пред- производственных затрат; из сферы эксплуатации — текущие затраты на одно базовое изделие (ремонт и обслуживание, косвенные расходы и др.) за срок службы.

Целевая функция (критеций оптимальности) имеет общий вид

где lt;S2 — суммарные затраты на предлагаемый потребителю оптимальный параметрический ряд изделий; R — величина потерь от несоответствия предлагаемого оптимального варианта ряда требуемому (базовому).

Функция затрат в формуле (4.5) учитывает затраты на разработку, производство и эксплуатацию изделий предлагаемого ряда, вид этой функции зависит от конкретных условий задачи и в принципе ничем не отличается от подобных функций, применяемых в других методиках.

Суммарные затраты формируются на основе выявления корреляционных зависимостей между элементами затрат и главным параметром.

Общий вид удельных народнохозяйственных затрат для изделий базового ряда представляется в виде аналитических зависимостей между каждым слагаемым этих затрат и главным параметром

где S lqh В (qi)] — функция, определяющая величину народнохозяйственных затрат на і'-е базовое изделие за срок службы;

М (^ — стоимость материалов г-го изделия; С lqh В'г (qt)]— текущие затраты на производство г-го изделия (без стоимости материалов); г — показатель, характеризующий интенсивность изменения себестоимости изделия в зависимости от изменения программы выпуска; К (qt)—величина удельных капитальных вложений сферы производства с учетом предпроизводственных затрат в расчете на г'-е базовое изделие; И (qt) — величина эксплуатационных затрат на г'-е базовое изделие за срок службы.

Используя для оптимизируемого ряда закономерность изменения народнохозяйственных затрат от значений главного параметра, полученную для базового ряда по формуле (4.6), и заменив qt на Qk, а В (qt) на Вк, можно функцию удельных затрат для изделий оптимизиоуемого ояла записать в таком виле:

Функция удельных народнохозяйственных затрат конкретного» изделия оптимизируемого ряда в результате группировки подобных членов разбивается на два слагаемых для упрощения процедуры записи алгор,"г’‘"’-

Группировка вычисленных в аналитической форме слагаемых функции удельных народнохозяйственных затрат производится следующим образом: к слагаемому 52а относятся все члены, имеющие сомножителем В1\ остальные слагаемые включаются в Slk~

Величина потерь R — второе слагаемое критерия оптимальности по формуле (4.5) определяется из следующих соображений. В формуле (4.5) первое слагаемое lt;S2 содержит потери в неявной форме. При уменьшении Sx потери R могут и не уменьшаться * как это видно из приведенного ниже условного примера (см. рис. 4.1) для конкретного вида функции потерь. Для данного распределения потребности q и при фиксированных N, Qk, Lk численные значения функции S зависят от N, Qk, Lk, но не зависят от вида распределения требуемых значений qt внутри интервалов Qk_i, Qk или Lk_i, Ьк. Потери R должны учитывать степень близости предлагаемых значений Q* и требуемых значений qiy т. е. потери зависят именно от распределения требований q, в интервалах Qk_i, Qk или Ьк_ъ Lk.

Потери могут обратиться в ноль только при совпадении предложения Qk и спроса qh но такой ряд не соответствует техникоэкономическим показателям массового (серийного) производства и здесь не рассматривается. Потери необходимо выделять в явном виде с тем, чтобы их уменьшить в процессе поиска оптимального решения.

Аналитический вид функции потерь в ряде случаев установить, затруднительно. Ее можно представить с помощью . функции Sk по формуле (4.7).

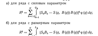
Величина потерь от несоответствия предлагаемого (оптимального) варианта ряда требуемому определяется как среднеквадратичное отклонение затрат на оптимизируемый ряд изделий от затрат на параметрический ряд, требуемый потребителям изделий. Функция потерь в общем случае имеет вид [4.3, 4 4 1-

К=1 х-/г_1

Рис. 4.2. Изменение значений R в двух вариантах ряда при одинаковых границах применяемости

где Qk_ъ Qk, Qn — значения главного (или нескольких основных) параметра предлагаемого варианта ряда; q,-_l9 qh ..., qM — то же, требуемого потребителям варианта ряда; Sk и S (q) — удельные затраты на предлагаемый и требуемый типоразмер ряда соответственно; Bk и В (q) — программа выпуска предлагаемого и требуемого типоразмера соответственно; ср (q) — функция плотности распределения вероятностей требований потребителей изделий, предполагается неизвестной, ср (q) обеспечивает адекватность модели реальным условиям. Адаптивный подход не требует установления этой функции в явном виде.

На рис. 4.2 изображены два варианта ряда Qx — Q3 и — фз при одинаковых границах применяемости Lk. Из рис. 4.2 видно, что Bk = Bk. Так как Sk при постоянных Bk уменьшается с уменьшением зна”римйг пlt; ™

Потери R возрастают с увеличением отклонения требуемых значений lt;7/ ОТ соответствую1”/Г)* ”пмр 4 9

Оценки, определяемые по формулам (4.8) и (4.9), показывают, что при минимизации Ss величина R может не только не уменьшаться, но и возрастать, как это и бывает при практических расчетах. Поэтому при формировании целевой функции (4.5) оказывается целесообразным, как указывалось, выделять потери R в явном виде отдельно. Следовательно, задача оптимизации параметрического ряда изделий сводится к определению набора чисел Qt и числа членов ряда N*, доставляющих минимальное значение целевой функции (4.5) при R ==¦!/Rjv [квадратный корень уравнивает размерность по степеням Sk в слагаемых формулы (4.5)].

При оптимизации параметрического ряда важное значение имеет правильное определение программы выпуска изделий. По-видимому, программа выпуска k-ro изделия с оптимизируемым параметром Qk равна сумме фактических значений программ заменяемых изделий с параметром q. Тогда величина программы выпуска k-то изделия оптимизируемого ряда составит:

а) для силового параметра

б) для размерного параметра

<< | >>
Источник: Кац Г. Б., Ковалев А. П.. Технико-экономический анализ и оптимизация конструкций машин. —М.: Машиностроение,1981. — 214 с., ил.. 1981

Еще по теме АДАПТИВНЫЙ МЕТОД ОПТИМИЗАЦИИ ПАРАМЕТРИЧЕСКИХ РЯДОВ ИЗДЕЛИЙ 1:

  1. Алгоритм оптимизации ряда изделий с размерным параметром.
  2. Алгоритмы оптимизации ряда для изделия с силовым параметром
  3. Модернизированный метод градиентного спуска параметрической идентификации R-C-NR ЯЭФП
  4. 4.1. Compare Means - простые параметрические методы сравнения средних
  5. 12.2. Аналитический метод решения задач параметрического программирования
  6. 2. Метод рядов Тейлора.
  7. Краткий обзор методов решения задачи векторной оптимизации
  8. 1.3. Методы и модели экспертного оценивания качества промышленных изделий  
  9. Ответы - Исследование операций и методы оптимизаций, 2016
  10. 4.1. СУЩЕСТВУЮЩИЕ МЕТОДЫ ОПТИМИЗАЦИИ ПАРАМЕТРИЧЕСКИХ РЯДОВ МАШИН И ИХ ЭЛЕМЕНТОВ
  11. 5.3. Параметрическое уравнение прямой.
  12. Параметрические и умножительные диоды
  13. Адаптивное управление по заданной модели
  14. Параметрические критерии
  15. Адаптивное управление с авторегрессивной моделью
  16. Адаптивное управление по возмущению
  17. Адаптивность родительства.
  18. Эндокринная система и адаптивные реакции организма
  19. 2.2). Параметрическое уравнение прямой.