<<
>>

Вычисление параметров преобразования координат между базовым и текущим изображениями

Рассогласование между координатами соответствующих ориентиров на текущем и базовом изображениях задано комбинацией следующих преобра­зований координат: (а) аффинными — сдвиг, поворот, масштабирование; проективными — искажение геометрических соотношений между точками, при изменении точки обзора.

Оптические дисторсии, вносимые объективом камеры, считаются малыми (или исправленными) и не учитываются.

Для отображения координат ориентиров на базовом изображении в координа­ты ориентиров на текущем изображении принимается следующая функция [101] или

где- координаты точки в базовом изображении;

координаты соответствующей точки в текущем изображении; а - вектор ко­эффициентов преобразования. Выражения (5.22)-(5.23) учитывают как аф­финные, так и проективные преобразования. В случае аффинных преобразо­ваний коэффициенты a-1и а& в знаменателе приравниваются нулю и выра­жения (5.22)-(5.23) становятся линейными.

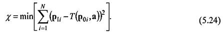
Коэффициенты преобразованияв (5.22)-(5.23) определяют

по координатам сопоставленных ориентиров, минимизируя сле­

дующую функцию

В общем случае, для нахождения минимума (5.24) можно использовать метод Левенберга-Марквардта. Однако предпочтительней линеаризовать вы­ражения (5.22), (5.23) относительно вектора параметров а, помножив левую часть выражений на знаменатель дроби из правой части. Полученную линей­ную систему можно решить классическим методом наименьших квадратов.

Для нахождения перспективного преобразования координат между двумя изображениями достаточно четырех пар сопоставленных ориентиров. Если ме­тод сопоставления не гарантирует 100% достоверности, то используя более че­тырех пар сопоставляемых ориентиров повышается вероятность того, что хотя

бы четыре пары из них будут сопоставлены корректно. В этом случае необходи­мо иметь метод, который позволит выбрать корректно сопоставленные пары.

5.4.1.

<< | >>
Источник: ЛУКЬЯНОВ АНДРЕЙ АНАТОЛЬЕВИЧ. МАТЕМАТИЧЕСКОЕ МОДЕЛИРОВАНИЕ В ПРОБЛЕМЕ ОБЕСПЕЧЕНИЯ ТОЧНОСТИ ДВИЖЕНИЯ И ПОЗИЦИОНИРОВАНИЯ МОБИЛЬНЫХ МАНИПУЛЯЦИОННЫХ РОБОТОВ. ДИССЕРТАЦИЯ на соискание ученой степени доктора технических наук. Иркутск - 2005. 2005

Еще по теме Вычисление параметров преобразования координат между базовым и текущим изображениями:

  1. Наведение путем сопоставления базового и текущего изображений, распознавание сложных образов и сцен
  2. Общий подход к решению задачи корректного сопоставления визуальных ориентиров на текущем и базовом изображениях
  3. Таблица соответствий между оригиналами и их изображениями для преобразований Лорана
  4. Однородные координаты и матрицы преобразований
  5. 12. Преобразование координат без тригонометрии
  6. Аналитическая геометрия без преобразования координат
  7. 5.5. Преобразование прямоугольных координат из зоны в зону
  8. Обнаружение естественных ориентиров па базовом изображении и автоматизация этой операции
  9. Определение взаимосвязи между конструктивными параметрами барабана смесителя и технологическими параметрами
  10. 4.3.1 Вейвлет-преобразование изображения
  11. Вычисление обратной матрицы с помощью элементарных преобразований.
  12. 2.1.2 Географічна система координат. Астрономічні координати. Геодезичні координати. Система прямокутних координат
  13. Приложение К Таблицы для преобразования координат в смежную зону
  14.   4.1.4. Вычисление параметров карты для различных наборов выборок
  15. монотонные преобразования параметров
  16. 5.3. Постулаты Эйнштейна. Анализ понятий длины и времени. Преобразования координат
  17. Разрыв между текущим обслуживанием и нуждами пользователей.
  18. 2.1.1 Поняття про координати і системи координат, що застосовуються в артилерії