<<
>>

Анализ граничных условий решения уравнения теплопроводности для слоистых структур

В связи с широким применением композиционных структур становится актуальным исследование пироотклика сегнетоэлектрических материалов, входящих в состав многослойных структур. Материалы, входящие в слоистые структуры имеют различные значения коэффициентов теплопроводности и температуропроводности, поэтому особый интерес представляет рассмотрение прохождения температурных волн через слоистую композиционную структуру, с различными термодинамическими свойствами.

В случае одномерной задачи уравнения теплопроводности для каждого слоя могут быть записаны в виде:

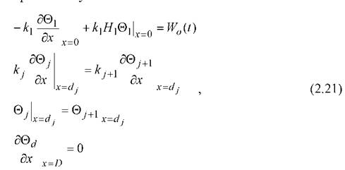
где aj- коэффициент температуропроводности /-того слоя, dj- координата начальной границы j-того слоя, dj+ι- координата конечной границы. Распределение температуры в слоях находится из решения системы уравнений с учетом следующих граничных условий:

где kj - коэффициент теплопроводности соответствующего слоя, H1 характеризует потери на излучение,Последнее граничное условие

означает, что температурная волна не выходит за последний слой. В эксперименте за такой слой можно принимать как подложку, на которой

находится образец, так и любой из слоев слоистой структуры. Поскольку температурная волна проникает в среду только на определенное расстояние, определяемое уравнением (2.10), то в случае многослойной структуры для анализа пироотклика достаточно рассмотреть слои лежащие до и сразу после сегнетоэлектрического слоя. При этом основным критерием соответствия эксперимента граничным условиям (2.21) есть совпадение расчетных (по формуле (2.3) с учетом (2.20) и (2.21)) и экспериментальных форм пироотклика. Оно имеет место, когда частота модуляции много больше обратного времени термической релаксации системы слоев, используемых для расчета. На практике это означает, что тепловая волна не должна проникать в последний слой больше чем на 1/3 его толщины.

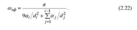
Глубина проникновения температурной волны в монослой определяется условием (2.15). Для системы из iслоев возникает необходимость введения эффективной частоты, рассчитываемой с учетом времени прохождения температурной волной каждого слоя:

2.6.

<< | >>
Источник: Калугина Ольга Николаевна. ИССЛЕДОВАНИЕ ТЕПЛОВЫХ ХАРАКТЕРИСТИК ДИЭЛЕКТРИЧЕСКИХ МАТЕРИАЛОВ МЕТОДОМ ТЕПЛОВОЙ ВОЛНЫ. Диссертация на соискание ученой степени кандидата физико-математических наук. Тверь - 2016. 2016

Еще по теме Анализ граничных условий решения уравнения теплопроводности для слоистых структур:

  1. Роль граничных условий при решении уравнения теплопроводности для расчета формы пироотклика
  2. 17) Метод Фурье решения начально-краевых задач для однородного волнового уравнения (уравнение теплопроводности) с однородными краевыми условиями.
  3. Решение уравнения теплопроводности для описываемого случая
  4. Граничные условия для 4-3-4-траекторий
  5. Уравнение теплопроводности.
  6. 4. Проекционные методыОбширный класс методов приближенного решения уравнений вида Аи = / использует следующий ПОДХОД: решение ищется В виде UN = = где коэффициенты а, определяются из условия равенства
  7. Система уравнений для численного решения
  8. Анализ численного решения системы дифференциальных уравнений
  9. Выработка решения в условиях определенности: оптимизационный анализ
  10. Уравнение теплопроводности
  11. Решение краевой задачи для линейного дифференциального уравнения второго порядка методом прогонки
  12. Титанаты висмута со структурой типа слоистого перовскита
  13. 15.Постановка задач математической физики. Начальные и граничные условия. Понятие о корректности задачи.
  14. 2.3. Математическая постановка задачи. Начальные и граничные условия. Описание расчетной области объекта
  15. 3.2.2 Титанаты висмута со структурой слоистого пирохлора
  16. 3.2.1 Титанаты висмута со структурой слоистого перовскита