<<
>>

4.4 Настройка нейроконтроллера системы управления вертикализацией

Для настройки нейроконтроллера используем вариационный ГА и гибридный Г и их програмное обеспечение, разработанные в разделе 3.

Задаем следующие значения для искусственной нейронной сети - это наличие lслоев, в каждом слое имеется матрица весовых коэффициентов размерностьюпри этом столбцы матрицы весов

первого слоя имеют равно размерность вектора состояний, k1= n, а количество строк матрицы последнего слоя будет равно размерности вектора управления kl= m.

В матрице весов искусственной нейронной сети нами используется три малые вариации выбранной строки матрицы:

a) вариация растяжения,

b) вариация сдвига

c) вариация разворота.

Рассматриваем подробнее малые вариации. Задаем, что

- является выбранной строкой pматрицы Q) на слое r. Операцию растяжения выполним по такому соотношению:

где- это вектор строки матрицы после вариации, а а - это числовой

параметр растяжения, а∈R1.

Операцию сдвига выполним по такому соотношению:

125

где значение β - является числовым параметром сдвига, β ∈R1

Операцию разворота выполним по соотношению:

где значение γ - это параметр разворота,

Считаем дополнительной малой вариацией и замену функции активации в выбранном слое rвыхода

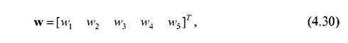
Целочисленный вектор из пяти компонент используем для описания малой вариации многослойной НС:

где показателем w1- является номер слоя НС, а w2- это номер вариации,

- вариация растяжения, w2 = 2 - это вариация сдвига, w2= 3 - является вариацией разворота, значение w2 = 4 - является изменением функции активации, а w- является номером строки в матрице выбранного слоя, значение w4- это номер функции активации или номер одной из компонент i1в вариации разворота, значение w5- это номер второй компоненты i2в вариации разворота.

Каждое из возможных решений в вариационном ГА определяется конечным упорядоченным множеством векторов вариаций

126

где показатель d- это максимальное количество малых вариаций, на которое может отличаться нейронная сеть любого возможного решения от базисной нейронной сети.

Одновременно с поиском оптимального возможного решения в виде множества (4.31) векторов вариаций при помощи классического генетического алгоритма находим оптимальные значения параметров

Их используем при выполнении вариаций.

Начальное множество возможных решений в Г описывается структурами, которые включают множество векторов вариаций (4.30) и вектор параметров (4.32)

Любое из возможных решение в виде матриц (Q',1,...,Q1,1) многослойной нейронной сети определяют при помощи вариаций базисного набора матриц

При этом значение- является базисной матрицей НС в слое r,

Вектор параметров (4.33) в ГА представляется как бинарный код Грея:

127

В нем- является числом бит под целую часть

параметра, а b- это число бит под дробную часть параметра.

Каждое из возможных решений (с учетом представления вектора параметров в коде Грея (4.35)) описывается парой кодов для вариационной и параметрической частей, так:

В Г выполняем операцию скрещивания отдельно для кодов параметрической (4.32) и вариационной частей (4.31) частей отобранных возможных решений

В результате получается два новых возможных решения

После выполнения операций скрещивания (4.37) - (4.40) начинаем выполнение с заданной вероятностью операции мутации для каждого нового возможного решения.

Для этого в вариационных и параметрических частях новых возможных решенийслучайно определяем

точки мутациии случайно

заменяем соответствующие компоненты новых решений:

Оценка решений осуществляется по значениям критерия качества управления (4.22) и точности достижения цели управления (4.23). В процессе обучения находим параметры.

В вычислительном эксперименте использовались следующие параметры генетического алгоритма:

a) число циклов (поколений) - 1000,

b) число возможных скрещиваний в поколении - 512,

c) число поколений между сменой базисного решения - 8,

d) число элитарных возможных решений - 8,

e) параметр для вычисления вероятности скрещивания - 0.4,

f) вероятность мутации - 0.7,

γ) минимальное значение параметра вариаций - -1.57.

В результате получили 5-слойную НС, имеющую следующие параметры:

При каждом вычислении функционала в процессе поиска нейронной сети модель объекта управления интегрировалась улучшенным методом Эйлера второго порядка с шагом интегрирования 0,001 с.

Графики, характеризующие движение системы при данных параметрах нейроконтроллера, представлены на рисунках 4.12, 4.13.

1,2,3 - зависимости .? (рисунок 4.17).

Рисунок 4.17 - Зависимость 12от p ; а) общий вид; б) приближение

В рассмотренном диапазоне параметров ?.• и qвеличину J2 минимизируют

= 3 и :■ = 8 . Построим графики, характеризующие движение системы при данных значениях параметра нейрокотроллера (см. рисунок 4.18).

Рисунок 4.18 - Траектория движения центра масс механизма, 1 - заданная уравнениями (4.14), 2 - полученная для системы с оптимизацией по критерию J2

Сравнивая полученную траекторию с показанными на рисунках 4.15 и 4.16 можно отметить, что оптимизация по J2 позволила устранить тремор и повысить точность отработки заданной траектории в сравнении с системой без

оптимизации. При этом максимальное отклонение центра масс от намеченной траектории по оси О- для системы с нейроконтроллером чем для системы с ПИ- регулятором.

4.5

<< | >>
Источник: Аль-Бареда Али Яхья Сенан. МОДЕЛИ И АЛГОРИТМЫ СИНТЕЗА ОПТИМАЛЬНОГО УПРАВЛЕНИЯ В БИОТЕХНИЧЕСКИХ СИСТЕМАХ РЕАБИЛИТАЦИОННОГО ТИПА НА ОСНОВЕ ТЕХНОЛОГИЙ НЕЙРОННЫХ СЕТЕЙ. Диссертация на соискание ученой степени кандидата технических наук. МОСКВА - 2018. 2018

Скачать оригинал источника

Еще по теме 4.4 Настройка нейроконтроллера системы управления вертикализацией:

  1. Синтез нейроконтроллера дляч системы управления вертикализацией экзоскилета
  2. Разработка методики формирования базы данных для настройки нейроконтроллера экзоскелета
  3. Синтез системы управления вертикализацией экзоскелета методом искусственных нейронных сетей
  4. Разработка генетических алгоритмов для синтеза систем управления вертикализацией экзоскелета посредством нейросетевых технологий
  5. Настройка параметров системы
  6. Математическая модель для синтеза управления вертикализацией экзоскелета
  7. Методы и средства нейросетевого управления для вертикализации экзоскелета
  8. CMS система - Content Menegment System - Система управления содержимым или, проще говоря, система управления сайтом. Это еще у нас в России иногда называют движком сайта. Вещь полезная :)
  9. Финансовый менеджмент как система управления. Субъекты и объекты управления.
  10. Финансовый менеджмент как система управления. Место и роль финансового менеджмента в общей системе управления предприятием
  11. Лекция № 1. Общие сведения о системах автоматического управления и регулирования. Основные принципы управления.
  12. 67. Система управления — совокупность взаимосвязанных элементов, способ реализации технологии управления, предполагающий воздействие на объект с целью изменения его состояния и процессных характеристик.
  13. 12. синтаксический уровень языковой системы. Трудные случаи именного и глагольного управления. Управленния при однородных членах предложения. Нанизованиия падежей
  14. Разработка системы управления экзоскелетом в динамическом режиме
  15. Генетический алгоритма для обучения нейронной сети для вертикализации экзоскелета с одним критерием оптимизации
  16. Разработка алгоритма настройки акселерометрических преобразователей
  17. 12. Социалистические преобразования и ликвидация системы нэпа. Утверждение административно-командной системы управления тоталитарного типа.
  18. Совершенствование системы управления и государственное регулирование транспортной системы в условиях рыночной экономики